| Copyright © King's Printer, Victoria, British Columbia, Canada | Licence Disclaimer |
| B.C. Reg. 18/2002 O.C. 84/2002 | Deposited February 5, 2002 |
[Last amended March 30, 2022 by B.C. Reg. 76/2022]
"Act" means the Environmental Management Act;
"agricultural land reserve" means land designated as agricultural land and established as an agricultural land reserve under section 11 of the Agricultural Land Commission Act;
"agricultural waste" means agricultural by-products within the meaning of the Code of Practice for Agricultural Environmental Management, except it does not include
(a) human or animal food waste that is diverted from residential, commercial or institutional sources,
(b) waste materials derived from non-agricultural operations, or
(c) wood waste derived from land clearing, construction or demolition;
"biosolids" means stabilized municipal sewage sludge resulting from a municipal waste water treatment process or septage treatment process which has been sufficiently treated to reduce pathogen densities and vector attraction to allow the sludge to be beneficially recycled in accordance with the requirements of this regulation;
"biosolids growing medium" means biosolids that meet the requirements of section 10;
"Class A biosolids" means biosolids that meet the requirements of section 6;
"Class B biosolids" means biosolids that meet the requirements of section 8;
"Class A compost" means compost that meets the requirements of section 12;
"Class B compost" means compost that meets the requirements of section 14;
"compost" means a product which is
(a) a stabilized earthy matter having the properties and structure of humus,
(b) beneficial to plant growth when used as a soil amendment,
(c) produced by composting, and
(d) only derived from organic matter;
"composting" means the controlled biological oxidation and decomposition of organic matter in accordance with the time and temperature requirements specified in Schedule 1;
"composting facility" means a facility that processes organic matter to produce compost;
"discharger" means any of the following responsible persons:
(a) an owner of a composting facility;
(b) an owner of a facility that produces managed organic matter for land application;
(c) a registered owner of the land where managed organic matter is applied;
"fertilizer" means an organic or inorganic material of natural or synthetic origin, other than liming material, that is added to a soil to supply one or more plant nutrients;
"foreign matter" means a contaminant that is not readily decomposed during the composting process, and includes demolition waste, metal, glass, plastic, rubber and leather, but does not include silt, sand, rocks or stones, or gravel less than 2.5 centimetres in diameter, or other similar mineral materials naturally found in soil;
"forest reserve land" means land designated as forest reserve land under section 10, 11 or 12 of the Forest Land Reserve Act;
"land application" means the application to land, after biosolids treatment or composting, of managed organic matter;
"land application plan" means a plan for the land application of managed organic matter, prepared in accordance with section 5;
"Land Reserve Commission" means the commission established under the Land Reserve Commission Act;
"leachate" means
(a) effluent originating from organic matter being received, processed, composted, cured or stored at a composting facility,
(b) effluent originating from managed organic matter being stored or applied to land, or
(c) precipitation, storm water, equipment wash water or other water which has come into contact with, or mixed with, organic matter or managed organic matter being received, processed, composted, cured or stored;
"managed organic matter" means Class A biosolids, Class B biosolids or Class B compost;
"organic matter" means those materials set out in Schedule 12 that are suitable for composting;
"pathogen" means an organism capable of causing disease in humans, animals or plants;
"qualified professional" means a person who
(a) is registered in British Columbia with the person's appropriate professional association, acts under that professional association's code of ethics, and is subject to disciplinary action by that professional association, and
(b) through suitable education, experience, accreditation and knowledge may be reasonably relied on to provide advice within the person's area of expertise as it relates to this regulation;
"retail-grade organic matter" means biosolids growing medium or Class A compost;
"soil conditioner" means
(a) managed organic matter that measurably improves specific chemical or physical characteristics of soil or chemical or physical processes for a given use, or
"vector" means a carrier organism that is capable of transmitting a pathogen from one facility, waste source, product or organism to another facility, waste source, product or organism;
"yard waste" means
(a) clean and untreated wood waste, or
(b) non-food vegetative matter resulting from gardening operations, landscaping and land clearing,
but does not include wood waste derived from construction or demolition.
(2) For greater certainty, neither
(a) human or animal food waste that is diverted from residential, commercial or institutional sources, nor
is yard waste.
[am. B.C. Regs. 321/2004, s. 19 (a) to (c); 7/2019, Sch. 4, s. 1; 76/2022, s. 4.]
Part 2 — Application and Exemption
2 (1) For the purposes of the Act, compostable materials and recyclable materials continue to be a waste until dealt with in accordance with this regulation.
(2) A person who produces or uses biosolids or compost is exempt from section 6 (2) and (3) of the Act if the person produces and uses the biosolids or compost only in accordance with this regulation.
(3) This regulation applies in British Columbia to
(a) the construction and operation of composting facilities, and
(b) the production, distribution, storage, sale and use or land application of biosolids and compost.
(4) The land application of retail-grade organic matter or managed organic matter, and the construction and operation of composting facilities, on an agricultural land reserve or on forest reserve land must
(a) be in compliance with all applicable legislation of British Columbia including, without limitation, the Agricultural Land Commission Act and the Forest Land Reserve Act, and all applicable regulations under those enactments, and
(b) be done in accordance with good agricultural practice.
(5) Any discharge of waste into the environment, not otherwise authorized by this regulation, must be in compliance with the Act.
[am. B.C. Reg. 321/2004, s. 19 (d) and (e).]
"agricultural composting processes" means the composting of agricultural by-products in accordance with the Code of Practice for Agricultural Environmental Management;
"backyard composting" means the composting of food waste or yard waste, or both, at a site where
(a) the food waste or yard waste is generated by the residents of a residential dwelling unit, and
(b) the annual production of compost does not exceed 20 cubic metres.
(2) This regulation does not apply to any of the following:
(i) authorized by a permit, approval or operational certificate, or
(ii) required by an order issued under the Act;
(b) the land application of managed organic matter
(i) authorized by a permit, approval or operational certificate, or
(ii) in accordance with an order issued under the Act;
(c) agricultural composting processes;
(e) demonstration gardens for the composting of yard waste in quantities not exceeding 100 cubic metres per year.
[am. B.C. Reg. 7/2019, Sch. 4, s. 2.]
3.1 (1) Section 2 (2) applies to a discharger in relation to a composting facility that processes food waste or biosolids and has a design production capacity of 5 000 tonnes or more of compost per year only if the discharger holds a permit for the composting facility, unless the discharger holds an approval or operational certificate for that composting facility.
(2) Despite section 3 (2) (a) and (b), a discharger required under this section to hold a permit must comply with this regulation and the terms and conditions of the permit.
[en. B.C. Reg. 132/2016, Sch. s. 1.]
4 A site is not a contaminated site with respect to a substance in the soil if
(a) the site has been used in accordance with this regulation for the application of managed organic matter or retail-grade organic matter,
(b) the site has not been used for any commercial or industrial purpose or activity listed in Schedule 2 of the Contaminated Sites Regulation, B.C. Reg. 375/96, and
(c) the site, before application of managed organic matter or retail-grade organic matter, was not a contaminated site as defined in section 11 (1) to (4) of the Contaminated Sites Regulation, B.C. Reg. 375/96.
[am. B.C. Reg. 321/2004, s. 19 (f).]
Part 3 — Land Application and Distribution Requirements
Division 1 — Land Application Plan
5 (1) A discharger must have a qualified professional
(a) prepare a land application plan for
(i) each site where managed organic matter is land applied, and
(ii) each occurrence that managed organic matter is land applied, and
(b) sign the land application plan before its implementation.
(2) The land application plan required by subsection (1) must provide the information specified in Schedule 7.
(3) After land application of managed organic matter at any site, the discharger must obtain written certification from a qualified professional that the land application was done in accordance with the land application plan required by subsection (1).
(4) The land application plan must be provided to the registered owner of the land and be made available, upon request, both before and after its implementation, to
(b) an official designated under the Agricultural Land Commission Act.
[am. B.C. Reg. 321/2004, s. 19 (g) and (h).]
Division 2 — Class A Biosolids
6 Biosolids that meet the requirements of all of the following are Class A biosolids:
(a) Schedule 1, Pathogen Reduction Processes;
(b) Schedule 2, Vector Attraction Reduction;
(c) Schedule 3, Pathogen Reduction Limits;
(d) Section 3 of Schedule 4, Quality Criteria;
(e) Schedule 5, Sampling and Analyses — Protocols and Frequency;
7 (1) Class A biosolids may be applied to land in accordance with subsection (2) or distributed in accordance with subsection (4).
(2) When applied to land in quantities greater than 5 cubic metres per year per parcel of land, Class A biosolids must only be applied in accordance with
(a) a land application plan for Class A biosolids, and
(b) the soil substance concentrations specified in Schedule 10.1.
(3) The land application plan must, before land application of Class A biosolids, be made available to the registered owner of the land.
(4) Class A biosolids must only be distributed as follows:
(a) in volumes that do not exceed 5 cubic metres per vehicle per day;
(b) in sealed bags for retail purposes, each not to exceed 5 cubic metres, with no restrictions on the number of bags distributed per vehicle per day;
(c) in volumes greater than 5 cubic metres to composting facilities or biosolids growing medium facilities.
[am. B.C. Reg. 243/2016, App. 2, s. 1.]
Division 3 — Class B Biosolids
8 Biosolids that meet the requirements of all of the following are Class B biosolids:
(a) Schedule 1, Pathogen Reduction Processes;
(b) Schedule 2, Vector Attraction Reduction;
(c) Schedule 3, Pathogen Reduction Limits;
(d) Column 3 of Schedule 4, Quality Criteria;
(e) Schedule 5, Sampling and Analyses — Protocols and Frequency;
9 (1) Class B biosolids may be applied to land in accordance with subsection (2) or distributed in accordance with subsection (4).
(2) Class B biosolids must only be applied to land in accordance with
(a) a land application plan for Class B biosolids,
(b) the methodology specified in Schedule 8, and
(c) the soil substance concentrations specified in Schedule 10.1, or the site-specific criteria approved by a director.
(3) The land application plan must, before land application, be made available to the registered owner of the land.
(4) Class B biosolids may be distributed to composting facilities with no volume restriction.
(5) Class B biosolids that meet the pathogen reduction and vector attraction requirements for Class A biosolids specified in Schedules 1, 2 and 3 may be distributed to a biosolids growing medium facility with no volume restriction.
(6) Class B biosolids must not be land applied in a watershed used as a permitted water supply under the Drinking Water Protection Regulation, B.C. Reg. 200/2003.
[am. B.C. Regs. 321/2004, s. 19 (g) and (i); 243/2016, App. 2, s. 1.]
Division 4 — Biosolids Growing Medium
10 Biosolids that meet the requirements of all of the following are biosolids growing medium:
(a) Column 2 of Schedule 4, Quality Criteria;
(b) Schedule 5, Sampling and Analyses — Protocols and Frequency;
12 (1) In this section, "untreated and unprocessed wood residuals" means clean wood from lumber manufacturing, and includes shavings, sawdust, chips, hog fuel, ground mill ends and land clearing waste which has been ground with the majority of the greenery removed and no soil present.
(2) Compost that is produced solely from yard waste or untreated and unprocessed wood residuals, or from both, and that meets the requirements of all of the following, is Class A compost:
(a) Schedule 1, Pathogen Reduction Processes;
(b) Schedule 2, Vector Attraction Reduction;
(c) Column 1 of Schedule 4, Quality Criteria.
(3) Compost that is not solely produced from yard waste or from untreated and unprocessed wood residuals and that meets the requirements of all of the following is Class A compost:
(a) the requirements of subsection (2) (a) to (c);
(b) Schedule 3, Pathogen Reduction Limits;
(c) Schedule 5, Sampling and Analyses — Protocols and Frequency;
(d) Schedule 6, Record-keeping.
(4) Class A compost must be derived only from organic matter.
(5) Biosolids used as feedstock for the production of Class A compost must not exceed the standards for Class B biosolids set out in Column 3 of Schedule 4.
14 (1) Compost that meets the requirements of all of the following is Class B compost:
(a) Schedule 1, Pathogen Reduction Processes;
(b) Schedule 2, Vector Attraction Reduction;
(c) Schedule 3, Pathogen Reduction Limits;
(d) Column 3 of Schedule 4, Quality Criteria;
(e) Schedule 5, Sampling and Analyses — Protocols and Frequency;
(f) Schedule 6, Record-keeping.
(2) Class B compost must be derived only from organic matter.
15 (1) Class B compost must only be applied to land in accordance with
(a) a land application plan for Class B compost,
(b) the methodology specified in Schedule 8, and
(c) the soil substance concentrations specified in Schedule 10.1, or the site-specific numeric soil standards approved by a director.
(2) The land application plan must, before land application, be made available to the registered owner of the land.
(3) Class B compost must not be land applied in a watershed used as a permitted water supply under the Drinking Water Protection Regulation, B.C. Reg. 200/2003.
[am. B.C. Regs. 321/2004, s. 19 (g) and (i); 243/2016, App. 2, s. 1.]
Part 4 — Storage and Land Application Requirements
Division 1 — Storage at a Land Application Site
16 In this Division:
"precipitation" means precipitation as determined by the Canadian Atmospheric Environmental Service Reports of Environment Canada;
"storage facility" means a structure for containing managed organic matter before its use under a land application plan, and includes a reservoir, lagoon, cistern, gutter, tank or bermed area but does not include a vehicle or any mobile equipment used for the transportation of managed organic matter;
"storage site" means a site for storing a temporary stock of managed organic matter which is ready to be drawn upon for use as a fertilizer or soil conditioner under a land application plan.
17 (1) If managed organic matter, which is to be applied to land under a land application plan, is stored on a farm or at some other site, it must be stored
(a) in a storage facility in accordance with the requirements of section 18, or
(b) at a storage site in accordance with the requirements of section 19.
(2) Managed organic matter must only be stored on a farm if all of the managed organic matter is used on that farm.
18 A storage facility must
(a) be of sufficient capacity to store all the managed organic matter to be used on the land application site for the period of time needed for its application as a fertilizer or soil conditioner,
(b) be located at least 15 metres from any watercourse and 30 metres from any source of water for domestic purposes, and
(c) be maintained in such a manner as to prevent the escape of managed organic matter.
19 (1) Managed organic matter may only be stored at a storage site as follows:
(a) for not more than 2 weeks if it is
(ii) stored in a manner that prevents the escape of managed organic matter;
(b) for more than 2 weeks if it is
(i) stored for no longer than 9 months,
(ii) located at least 30 metres from any watercourse or any source of water used for domestic purposes, and
(iii) stored in a manner that prevents the escape of managed organic matter.
(2) Berms or other works must be constructed around the storage site if necessary to prevent the escape of managed organic matter.
20 (1) This section applies to
(c) any other area of British Columbia that receives a total average precipitation greater than 600 mm (24 inches) during the months of October to March inclusive.
(2) Managed organic matter that
(a) is to be applied to land under a land application plan,
(b) is stored at the land application site, and
(c) is not stored in a storage facility,
must be covered from October 1 to March 31 of the next year to prevent the escape of managed organic matter.
Division 2 — Notification of Land Application of Managed Organic Matter
21 In this Division:
"medical health officer" means a medical health officer within the meaning of the Public Health Act who has jurisdiction within the geographic area in which managed organic matter is proposed to be applied;
"watershed" means a watershed used as a permitted water supply under the Drinking Water Protection Regulation, B.C. Reg. 200/2003.
[am. B.C. Regs. 321/2004, s. 19 (j); 167/2018, Sch. 1, s. 1.]
22 (1) A discharger must, using the standardized form provided in Schedule 13, give notification of any proposed land application of managed organic matter in volumes greater than 5 cubic metres, as follows:
(a) to a director at least 30 calendar days before the land application of managed organic matter;
(b) to a medical health officer at least 30 calendar days before the land application of managed organic matter to agricultural land or in a watershed;
(c) to the Land Reserve Commission at least 30 calendar days before the land application of managed organic matter within an agricultural land reserve or forest reserve land.
(2) The director may, within 30 days after receipt of the information required by subsection (1) (a), request additional information.
(3) If the information required by subsection (1) (a) or (2) indicates the need for site-specific standards or management practices respecting the land application of managed organic matter in order to protect human health and the environment, the director may, within 30 days after receipt of the information, require the discharger to meet the site-specific standards or management practices specified by the director.
(4) A medical health officer may, within 30 days after receipt of the information required by subsection (1) (b), provide written directions to the discharger that the application of managed organic matter
(b) may only proceed subject to conditions specified by the medical health officer.
(5) If there is agreement between the discharger and the director and, in the case of land application to agricultural land or in a watershed, a medical health officer, the parties may agree to amend the time limit under subsection (3) or (4).
[am. B.C. Regs. 321/2004, s. 19 (g) and (k); 167/2018, Sch. 1, s. 2.]
Part 5 — Composting Facility Requirements
Division 1 — Requirements for Composting Facilities
23 (1) This section applies, on and after the coming into force of this regulation, to a composting facility proposed to be
(a) constructed with an existing or proposed annual production capacity of 20 000 tonnes or more,
(b) expanded beyond an existing annual production capacity of 20 000 tonnes or more resulting in an increase in production capacity of more than 10 percent, or
(c) expanded beyond an existing annual production capacity of less than 20 000 tonnes resulting in an annual production capacity of more than 20 000 tonnes.
(2) A discharger must ensure that no organic matter is collected at, and no compost is distributed from, a composting facility unless a qualified professional conducts and completes an environmental impact study and produces an environmental impact study report acceptable to a director which includes, but is not limited to,
(a) design of the composting facilities including buildings, works and other appurtances,
(b) odour and leachate collection and treatment systems, and
(c) site preparation for the composting facilities, buffer zones and plans to minimize the impact on adjacent lands.
(3) A copy of the environmental impact study report required by subsection (2) must be submitted to the director at least 90 days before commencement of construction of a new composting facility or the modification of an existing composting facility.
(4) The discharger must retain a copy of the completed environmental impact study report for inspection.
(5) The director may request additional information with respect to the environmental impact study that the director considers necessary for the protection of human health and the environment, and may specify particular concerns or questions that the impact study must address.
[am. B.C. Regs. 321/2004, s. 19 (g), (k) and (l); 76/2022, s. 3.]
Division 2 — Construction and Operation of Composting Facilities
24 (1) A discharger must have a qualified professional prepare plans and specifications for
(a) the construction and operation of a new composting facility, or
(b) any modification of an existing composting facility that results in an increase in the annual production capacity of more than 10 percent or more than 20 000 cubic metres.
(2) The plans and specifications required by subsection (1) must include, but are not limited to, all of the following:
(a) all works to be constructed on the site;
(b) design capacity of the composting facility;
(c) a leachate management plan which stipulates how leachate generated from any and all stages of the composting process will be minimized, managed, treated or disposed;
(d) an odour management plan which stipulates how air contaminants from the composting facility will be discharged in a manner that does not cause pollution;
(e) an operating and closure plan for the composting facility.
(3) The discharger must ensure that
(a) the qualified professional
(i) affixes the qualified professional's professional seal or signature, or both, to the plans and specifications for the composting facility, and
(ii) makes a signed statement certifying that the composting facility has been constructed in accordance with the plans and specifications,
(b) a copy of the plans and specifications for the composting facility are kept at the composting facility at all times, and are available for inspection at any time,
(c) the plans and specifications are submitted to a director upon request, and
(d) the composting facility is operated in compliance with the plans and specifications required by subsection (1).
(4) The director may request additional information with respect to the plans and specifications that the director considers necessary for the protection of human health and the environment, and may specify particular concerns or questions that the plans and specifications must address.
[am. B.C. Regs. 321/2004, s. 19 (g), (k) and (m); 76/2022, ss. 3 and 4.]
25 (1) The discharger must, at least 90 days before beginning the operation of a composting facility, give notice in writing to
(b) the Land Reserve Commission if the composting facility is in an agricultural land reserve or forest reserve land.
(2) The notification required by subsection (1) must include
(a) the composting facility location and design capacity, name of a contact person, type of waste received, and intended distribution of compost, and
(b) a copy of a personnel training program plan that addresses the specific training needed to operate the composting facility in compliance with this regulation.
[am. B.C. Reg. 321/2004, s. 19 (g).]
Division 3 — Leachate Management for Composting Facilities
26 (1) In this section, "curing area" means an area where organic matter which has undergone the rapid initial stage of composting is further matured into a humus-like material.
(2) The receiving, storage, processing and curing areas of a composting facility must comply with all of the following:
(a) be located on asphalt, concrete or another similar impermeable surface that is capable of withstanding wear and tear from normal operations and that will prevent the release of leachate into the environment;
(b) have a roof or cover, or a prepared surface, designed to prevent
(i) the surface collection of water around the base of organic matter and compost, and
(ii) run-off water from entering the receiving, storage, processing and curing areas;
(c) have a leachate collection system designed, constructed, maintained and operated to reuse leachate, or to remove leachate, from the receiving, storage, processing and curing areas.
(3) Leachate that is not collected and reused in the composting process must not be discharged into the environment unless authorized under the Act.
(4) Despite subsections (2) and (3), an impermeable surface, roof, cover, prepared surface or leachate collection system is not necessary if a qualified professional can demonstrate through an environmental impact assessment that the environment will be protected and appropriate water quality criteria satisfied through the use of alternative leachate management processes.
(5) A director may request additional information with respect to the environmental impact assessment that the director considers necessary for the protection of human health and the environment, and may specify particular concerns, questions, standards or monitoring that the assessment must address.
[am. B.C. Regs. 321/2004, s. 19 (n); 76/2022, s. 3.]
Division 4 — Capacity of Composting Facilities
27 The amount of organic matter in a composting facility must not at any time exceed the total design capacity of the facility.
28 At least half of the compost stored at a composting facility must be removed annually from the facility beginning in the third year after facility start-up.
29 (1) Residuals from the composting process must
(a) be stored so as to prevent vector attraction, and
(b) be disposed of on a regular basis in accordance with the Act.
(2) Residuals that are stored at a composting facility must not at any time exceed 15 cubic metres in total.
30 Before the closure of a composting facility,
(a) all compost must be applied or distributed in accordance with this regulation, and
(b) all unprocessed organic matter must be removed from the facility and dealt with in accordance with the Act.
31 (1) A person who contravenes a provision of this regulation, other than as set out in subsection (2), commits an offence and is liable on conviction to a fine not exceeding $10 000.
(2) A person who contravenes section 5 (1), 7 (2) or (4), 9 (2), 12 (4), or (5), 14 (2), 15 (1), 17 (1) or (2), 20 (2), 22 (1), 23 (2) or (3), 24 (1), 25 (1), 26 (2) or (3), 27, 28, 29 (1) or (2) or 30 commits an offence and is liable on conviction to a fine not exceeding $200 000.
33 (1) A discharger that is required under section 3.1 (1) to hold a permit in relation to a composting facility that is operating on the date this section comes into force must apply to a director for a permit within 60 days after that date.
(2) If a discharger described in subsection (1) fails to apply for a permit within the 60 day period referred to in that subsection, section 2 (2) does not apply to the discharger until the application is submitted to the director.
(3) The director may specify a time by which a discharger that submits an application under subsection (1) must,
(a) under section 3 of the Public Notification Regulation, provide information respecting the application,
(b) under section 4 (1), (2) or (3) of the Public Notification Regulation, give notice of the application,
(c) under section 5 (4) of the Public Notification Regulation, post the application on a billboard,
(d) under section 6 (3) of the Public Notification Regulation, publish the application, or
(e) under section 6 (5) of the Public Notification Regulation, post the application in a post office.
(4) Section 2 (2) does not apply to a discharger described in subsection (1) until the requirement is met if the discharger fails to
(a) meet a requirement referred to in subsection (3) by the time specified by the director, or
(b) meet a requirement under the Public Notification Regulation by the time specified in that regulation.
(5) A discharger to which subsection (1) applies is exempt from section 3.1 (1) until the date the director makes a decision in relation to the discharger's application under subsection (1) of this section.
[en. B.C. Reg. 132/2016, Sch. s. 1; am. B.C. Reg. 179/2016, App. 2.]
34 In respect of matters subject to approval or other consideration by a director under this regulation, if a person has submitted the required documentation in substantial compliance with this regulation before November 1, 2017, the director may apply to those matters the numeric soil standards that were in effect immediately before that date.
[en. B.C. Reg. 243/2016, App. 2, s. 2.]
Pathogen Reduction Processes
1 The pathogen reduction requirements listed in section 2 (a) to (g) of this Schedule must be met before or at the same time as the vector attraction reduction requirements set out in sections 1 to 3 of Schedule 2.
2 One of the following pathogen reduction methods is required for Class A biosolids or biosolids used to produce biosolids growing medium:
(a) the thermophilic aerobic digestion method consisting of an aerobic process whereby liquid biosolids are agitated with air or oxygen under a temperature of not less than 55° Celsius for 30 minutes or longer, and the temperature and time period are determined using the equation in paragraph (f). The process is to be configured (batch, plug flow, staged) to maintain sufficient retention time to ensure that pathogen and volatile solids destruction is reliably achieved;
(b) the thermophilic anaerobic digestion method consisting of a process whereby liquid biosolids are agitated in the absence of free oxygen (under negative Redox potential) at a temperature of not less than 50° Celsius for at least 10 consecutive days. The process must be configured (batch, plug flow, staged) to maintain sufficient retention time to ensure that pathogen and volatile solids destruction is reliably achieved;
(c) the heat treatment method such that when the percent solids of the biosolids is 7 percent or higher,
(i) the temperature of the biosolids must be 50° Celsius or higher,
(ii) the time period must be 20 minutes or longer, and
(iii) the minimum required time period must be determined using the following equation, except when small particles of biosolids are heated by either warmed gases or an immiscible liquid:
| D = 131 700 000/ 100.1400t |
| where | ||
| D | = | time in days |
| t | = | temperatures in ° Celsius; |
(d) the heat treatment method such that when the percent solids of the biosolids is 7 percent or higher and small particles of biosolids are heated by either warmed gases or an immiscible liquid,
(i) the temperature of the biosolids must be 50° Celsius or higher,
(ii) the time period must be 15 seconds or longer, and
(iii) the minimum required time period must be determined using the equation in paragraph (c);
(e) the heat treatment method such that when the percent solids of the biosolids is less than 7 percent,
(i) the time period must be at least 15 seconds but less than 30 minutes, and
(ii) the minimum required time period must be determined using the equation in paragraph (c);
(f) the heat treatment method such that when the percent solids of the biosolids is less than 7 percent,
(i) the temperature of the biosolids must be 50° Celsius or higher, and
(ii) the time period must be 30 minutes or longer, and
(iii) the minimum required time period must be determined using the following equation:
| D = 50 070 000/100.1400t |
| where | ||
| D | = | time in days |
| t | = | temperatures in ° Celsius; |
(g) the alkaline stabilization method consisting of maintaining the pH within the biosolids at above 12 for 72 hours with a temperature during the 72 hour period greater than 52° Celsius for 12 hours. After 72 hours at pH above 12, the biosolids must be air-dried to greater than 50 percent total solids.
3 The pathogen reduction requirements for Class A compost listed in section 4 (a) to (c) of this Schedule must be met before the vector attraction reduction requirements listed in section 2 (a) and (b) of Schedule 2.
4 One of the following pathogen reduction processes specified in paragraphs (a) to (c) is required to produce Class A compost:
(a) the windrow composting method whereby organic matter is processed in a windrow involving periodic aeration and mixing of the windrow, with a temperature of not less than 55° Celsius maintained for at least 15 days and not fewer than 5 turnings of the windrow made during the high temperature period to promote uniform exposure of the compost to thermophilic temperatures;
(b) the static aerated pile composting method consisting of a compost process involving mechanical aeration of the compost pile, with the compost pile insulated and a temperature of not less than 55° Celsius maintained throughout the compost pile for at least 3 consecutive days;
(c) the enclosed vessel method consisting of a confined compost process involving mechanical aeration of compost under controlled environmental conditions, with a temperature of not less than 55° Celsius maintained for at least 3 days during the composting process.
5 To produce Class A compost from yard waste alone, a turning process can be used whereby the pile is turned on a periodic basis to aerate the yard waste, maintain optimum temperatures, and reduce pathogens.
6 The director may provide approval for an alternative process on a specific basis if the director is satisfied that the alternative process in that case will provide a Class A compost equivalent in quality as that produced by the process described by section 4 (a) to (c).
7 For Class B biosolids and Class B compost a biosolids treatment or composting process must be used whereby fecal coliform are reduced to levels < 2 000 000 MPN per gram of total solids (dry weight basis), or one of the following processes must be used:
(a) the aerobic digestion process whereby Class B biosolids are agitated with air or oxygen to maintain aerobic conditions for a specific mean cell residence time at a specific temperature. Values for the mean cell residence time and temperature must be between 40 days at 20° Celsius and 60 days at 15° Celsius;
(b) the air-drying process whereby Class B biosolids are dried on sand beds or on paved or unpaved basins. The biosolids must dry for a minimum of 3 months. During 2 of the 3 months, the ambient average daily temperature must be above 0° Celsius;
(c) the anaerobic digestion process whereby Class B biosolids are treated in the absence of air for a specific mean cell residence time at a specific temperature. Values for the mean cell time and temperature must be between 15 days at 35° Celsius to 55° Celsius and 60 days at 20° Celsius;
(d) the compost process using either within-vessel, static aerated pile or windrow-composting methods whereby the temperature of the Class B compost is raised to 40° Celsius or higher and maintained for 5 days. For 4 hours during the 5-day period, the temperature in the compost pile must exceed 55° Celsius;
(e) the lime stabilization process whereby sufficient lime is added to the Class B biosolids to raise the pH of the biosolids to 12 after 2 hours of contact.
Vector Attraction Reduction
1 One of the following vector attraction reduction processes is required for Class A biosolids or Class B biosolids used to produce biosolids growing medium:
(a) a digestion process (aerobic or anaerobic) resulting in the mass of volatile solids of the biosolids being reduced by more than 38 percent;
(b) when the 38 percent volatile solids reduction requirement in paragraph (a) cannot be met for an aerobically digested biosolids, vector attraction reduction can be demonstrated by digesting a portion of the previously digested biosolids that has a percent solids of two percent or less aerobically in the laboratory in a bench-scale unit for 30 additional days at 20° Celsius. When, at the end of the 30 days, the volatile solids in the biosolids at the beginning of that period is reduced by less than 15 percent, vector attraction reduction is achieved;
(c) when the 38 percent volatile solids reduction requirement in paragraph (a) cannot be met for an anaerobically digested biosolids, vector attraction reduction can be demonstrated by digesting a portion of the previously digested biosolids anaerobically in the laboratory in a bench-scale unit for 40 additional days at a temperature between 30° and 37° Celsius. When, at the end of the 40 days, the volatile solids in the biosolids at the beginning of that period is reduced by less than 17 percent, vector attraction reduction is achieved;
(d) the specific oxygen uptake rate (SOUR) for biosolids treated in an aerobic process shall be less than or equal to 1.5 milligrams of oxygen per hour per gram of total solids (dry weight basis) at a temperature of 20° Celsius;
(e) the pH of biosolids shall be raised to 12 or higher by alkali addition and, without the addition of more alkali, shall remain at 12 or higher for two hours and then at 11.5 or higher for an additional 22 hours;
(f) the percent solids of biosolids generated in a wastewater treatment process must be equal to or greater than 90 percent based on the moisture content and total solids prior to mixing with other materials. The biosolids must thereafter be managed in such a way that the moisture content of the biosolids does not increase such that compliance with the 90 percent solids requirement is maintained until such time as the biosolids is land applied in accordance with section 7 (2) or distributed in accordance with 7 (4) of this regulation.
2 One of the following vector attraction reduction processes are required for Class A compost:
(a) Class A compost must be treated in an aerobic process for 14 days or longer. During that time, the temperature of the compost must be higher than 40° Celsius and the average temperature of the compost must be higher than 45° Celsius. After the vector attraction reduction process is completed the carbon to nitrogen ratio of the compost must be greater than or equal to 15:1 and less than or equal to 35:1;
(b) Class A compost must be retained in curing piles for at least 21 days. After the 21 day period, the carbon to nitrogen ratio of the Class A compost must be greater than or equal to 15:1 and less than or equal to 35:1 and must not re-heat, upon standing, under the following conditions:
(i) compost is aerated and formed into a pile no smaller than 3 metres in diameter and 2 metres high with compost having a moisture content between 35 percent and 60 percent;
(ii) the pile must be formed in a location where the ambient temperature remains in the range of 5° to 30° Celsius;
(iii) 3 days after the pile has been formed, the temperature of the compost is measured at a depth of 60 cm into the pile from the outside surface of the pile;
(iv) the compost must not re-heat upon standing to greater than 20° Celsius above ambient temperature.
3 If one of the above vector attraction reduction methods cannot be met, then a test method or treatment process specified in protocols approved by the director, may be used as an alternative means of showing that vector attraction reduction has been achieved.
4 Class B biosolids must meet the vector attraction reduction processes specified in section 1 of this Schedule or meet one of the following alternatives:
(a) if Class B biosolids, with fecal coliform levels determined to be < 2 000 000 MPN per gram of total solids, are injected into the soil, then the biosolids must be injected below the land surface within 8 hours after being discharged from the pathogen treatment process and no significant amount of biosolids must remain on the soil surface 1 hour after application;
(b) if Class B biosolids, with fecal coliform levels determined to be < 2 000 000 MPN per gram of total solids, are incorporated by tillage, then the biosolids must be incorporated within 8 hours after being discharged from the pathogen treatment process and no significant amount of biosolids must remain on the soil surface 6 hours after application.
5 If Class B compost does not meet the vector attraction reduction processes specified in section 1 of this Schedule, and Class B compost is incorporated by tillage, then no significant amount of Class B compost must remain on the soil surface 6 hours after application.
6 If Class B biosolids or Class B compost is applied to soil using other technologies, practices or methods, Class B biosolids or Class B compost must be applied in accordance with best management practices described in the most recent edition of the organic matter recycling guidelines approved by the director.
Pathogen Reduction Limits
1 Fecal coliform levels must be determined to be < 1 000 MPN per gram of total solids (dry weight basis) for
2 Determination of fecal coliform levels is not required for Class A compost produced from yard waste alone.
3 For Class A biosolids or Class A compost (not produced from yard waste alone), 7 representative samples must be taken
(a) from every 1 000 tonnes dry weight, or
whichever occurs first.
5 Fecal coliform levels for Class A biosolids and Class A compost (not produced from yard waste alone) must be met either before, or at the same time as, the vector attraction reduction requirements are met.
6 Fecal coliform levels must be met and vector attraction reduction methods must be complete before
(a) Class A biosolids are used for land application,
(b) Class A biosolids in quantities less than 5 cubic metres and Class A compost are prepared for distribution, and
(c) Class A biosolids and Class B biosolids are used to prepare biosolids growing medium.
7 For Class B biosolids and Class B compost,
(a) the biosolids or compost must be treated through one of the process options listed in section 7 (a) to (e) of Schedule 1,
(b) fecal coliform levels must be determined to be < 2 000 000 MPN per gram of total solids (dry weight basis), and
(c) fecal coliform levels must be determined to be < 1 000 MPN per gram of total solids (dry weight basis) if the land application methods stated in section 2 of Schedule 8 apply.
8 The required fecal coliform levels for Class B biosolids and Class B compost must be met for the geometric mean of 7 discrete samples analyzed at intervals of
(a) at least every 1 000 tonnes dry weight, or
whichever comes first.
Quality Criteria
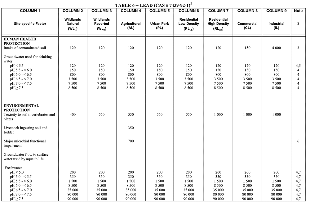
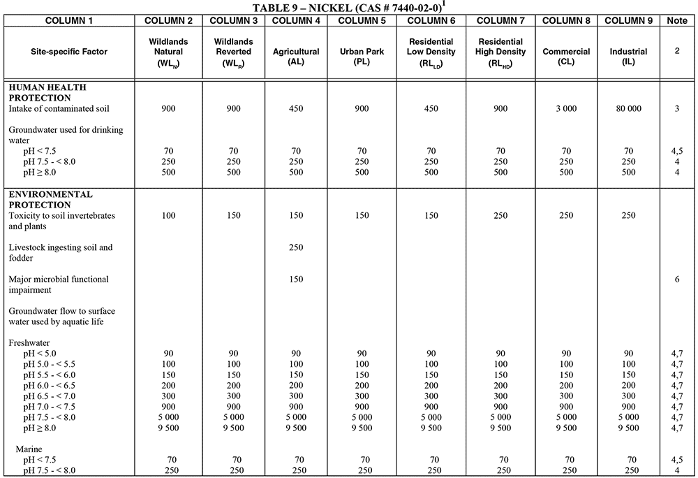
1 Substance concentrations, expressed in µg/g dry weight must not exceed the limits set out in the following table:
| Column 1 | Column 2 | Column 3 | |
| Substance | Class A compost | Biosolids growing medium | Class B biosolids Class B compost |
| Arsenic | 13 | 13 | 75 |
| Cadmium | 3 | 1.5 | 20 |
| Chromium | 100 | 100 | 1 060 |
| Cobalt | 34 | 34 | 150 |
| Copper | 400 | 150 | 2 200 |
| Lead | 150 | 150 | 500 |
| Mercury | 2 | 0.8 | 15 |
| Molybdenum | 5 | 5 | 20 |
| Nickel | 62 | 62 | 180 |
| Selenium | 2 | 2 | 14 |
| Zinc | 500 | 150 | 1 850 |
2 Retail-grade organic matter and managed organic matter must have
(a) foreign matter content less than or equal to 1 percent dry weight, and
(b) no sharp foreign matter, such as glass or metal shards, in a size and shape that can cause injury.
3 Class A biosolids must not contain elements at concentrations above those specified in Trade Memorandum T-4-93 (September 1997), Standards for Metals in Fertilizers and Supplements, as amended from time to time, as adopted by Agriculture and Agri-Food Canada under the Fertilizers Act (Canada) and regulations.
[am. B.C. Reg. 321/2004, s. 19 (n) and (o).]
Sampling and Analyses — Protocols and Frequency
1 All required analyses for
(a) Class A biosolids and Class B biosolids,
(c) Class A compost that is not solely produced from yard waste, and
must be carried out at intervals of
(e) at least every 1 000 tonnes dry weight of organic matter, or
whichever occurs first.
2 A director may increase the frequency of sampling required based on provincial organic matter sampling guidelines.
3 Analyses must be in accordance with the procedures described in "British Columbia Laboratory Methods Manual: 2003 — for the Analysis of Water, Wastewater, Sediment, Biological Materials and Discrete Ambient Air Samples", (2003, Ministry of Water, Land and Air Protection), or by suitable alternate procedures authorized by a director.
[am. B.C. Reg. 321/2004, s. 19 (g) and (n).]
Record-keeping
1 Temperatures and retention times must be monitored and recorded each working day during the production of
(b) Class A compost (not produced from yard waste alone) and Class B compost.
2 Temperature and retention time records must be kept at the facility for at least 36 months and must be made available for inspection by an officer, or sent to a director or an inspector or officer authorized under the Agricultural Land Reserve Act, the Soil Conservation Act or the Forest Land Reserve Act, upon request.
3 The results of analysis required by this regulation must be kept at the facility for at least 36 months after the production of
(a) Class A biosolids and Class B biosolids,
(c) Class A compost (not solely produced from yard waste), and
4 The results of analysis must be made available for inspection by an officer or sent to a director or an inspector or officer authorized under the Agricultural Land Reserve Act, the Soil Conservation Act or the Forest Land Reserve Act, upon request.
5 The land application plan signed by a qualified professional as required by Division 1 of Part 3 of the regulation must be kept at the facility, or kept by the registered owner of the land application site, for at least 36 months after application and must be made available for inspection by an officer, or sent to a director or an inspector or officer authorized under the Agricultural Land Reserve Act, the Soil Conservation Act or the Forest Land Reserve Act, upon request.
6 A director may request a sampling report from the facility operators or the registered owner of the land for at least 36 months after application of managed organic matter.
[am. B.C. Regs. 321/2004, s. 19 (g); 76/2022, s. 4.]
Land Application Plan for Managed Organic Matter
1 The land application plan for managed organic matter must provide all of the following:
(a) the full legal name and address of the facilities where the managed organic matter is produced;
(b) the name of the local contact, local address, and telephone number for the discharger of managed organic matter;
(c) the name and address of the qualified professional producing the land application plan;
(d) the name of the registered owner of the land upon which the land application of managed organic matter will take place;
(e) the street address and legal description of the land application site;
(f) the location and boundaries of the land application site, and provide map or plan;
(g) written authorization of registered owner(s) or the registered owner('s/s') agent(s) for the land application of managed organic matter;
(h) the intended commencement date and subsequent dates for land application;
(i) storage and leachate management requirements for managed organic matter at the application site;
(j) a physical description of the constituents, including foreign matter, of the managed organic matter to be applied.
2 In addition to the requirements of section 1, the land application plan for managed organic matter must provide the following:
(b) vector attraction reduction process or management method;
(c) the moisture content of the managed organic matter;
(d) Total Kjeldahl Nitrogen (TKN) (µg/g) dry weight basis;
(e) ammonia plus ammonium and nitrate nitrogen (µg/g) dry weight basis;
(f) plant available phosphorus and potassium (µg/g) dry weight basis;
(g) calculation of soil conditioner and/or crop nutrient requirements;
(h) soil concentrations (µg/g) of substances set out in Schedule 4 before application under the plan;
(i) pH and electrical conductivity in the soil where the managed organic matter is to be applied;
(j) substance concentrations set out in Schedule 4 in the managed organic matter to be applied;
(k) pH and electrical conductivity in the managed organic matter to be applied.
3 In addition to the requirements of section 1, the land application plan must provide the following:
(a) projected concentrations in soil of substances set out in Schedule 4 at the location of land application for each year after application;
(b) methods to measure soil concentrations of substances set out in Schedule 4 after each year's application;
(c) management methods for specific conditions for each site described within the plan or as specified by a director;
(d) special procedures if the plan is to land apply Class B biosolids with fecal coliform levels greater than or equal to 1 000 MPN per gram of total solids;
(e) special procedures if the plan is to land apply Class B biosolids that do not meet the vector attraction reduction process requirements specified in this regulation;
(f) special procedures if the plan is to land apply Class B compost that does not meet the maturity requirements specified in this regulation;
(g) application rate in dry tonnes per hectare for each year of the plan that provides the desired fertilizer nutrient levels and/or soil conditioner levels required to establish and/or sustain the vegetation or crops on the land application site, while at the same time minimizing the potential for adverse environmental impacts;
(h) a post-application monitoring plan if the proposed application rates exceed the annual crop nutrient requirement, including potential changes in soil and vegetation quality.
Land Application Methods for Managed Organic Matter
1 Class B biosolids and Class B compost with fecal coliform levels greater than or equal to 1 000 MPN per gram of total solids, or that have not been processed to reduce vector attraction, must comply with all of the following:
(a) be applied only to land application sites with restricted public access or use;
(b) not be applied to land where the groundwater table at the time of application is within one metre of the surface;
(i) domestic animal grazing is restricted for 60 days and food crops for human consumption with harvested parts above the surface of the land are not to be grown for 18 months, and
(ii) food crops for human consumption with harvested parts below the surface of the land are not to be grown for 38 months;
(d) be applied with the following minimum distances:
(i) 30 metres to potable water sources and irrigation wells, lakes, rivers, streams, farm dwellings and off-property occupied dwellings or boundaries of property zoned for residences or recreation;
(ii) 20 metres to major arterial roads or highways;
(iii) 10 metres to minor public roads excluding logging roads;
(e) have visible signage, for 38 months after the most recent application each road or path to the land application site and for 38 months after the most recent application;
(f) have signage that clearly indicates:
(i) that the biosolids derived from a wastewater treatment plant have been applied to the land application site;
(ii) that the public should avoid ingesting plant material from the site with harvested parts above the surface until the end of the 18 month moratorium;
(iii) that the public should avoid ingesting plant material from the site with harvested parts below the surface until the end of the 38 month moratorium;
(iv) the domestic animal restrictions specified in paragraph (c) of this section;
2 Class B biosolids and Class B compost with fecal coliform levels less than 1 000 MPN per gram of total solids that meet the requirements for vector attraction reduction for Class B biosolids and Class B compost specified in Schedule 2 must
(a) be applied with the following minimum distances:
(i) 30 metres to potable water sources and irrigation wells, lakes, rivers, streams, farm dwellings and off-property occupied dwellings or boundaries of property zoned for residences or recreation;
(ii) 20 metres to major arterial roads or highways;
(iii) 10 metres to minor public roads excluding logging roads, and
(b) not be applied to land where the groundwater table at the time of application is within one metre of the surface.
Repealed. [B.C. Reg. 243/2016, App. 2, s. 3.]
[en. B.C. Reg. 243/2016, App. 2, s. 3, as am. by B.C. Reg. 195/2017.]















Requirements for Biosolids Growing Medium
1 Biosolids growing medium must be derived from either Class A biosolids or Class B biosolids that meet the pathogen and vector attraction reduction requirements for Class A biosolids specified in Schedules 1, 2, and 3.
2 The following standards for biosolids growing medium must be met:
(a) substance concentrations, listed in Schedule 4, Column 2;
(b) Total Kjeldahl Nitrogen (TKN) < 0.6 percent by weight;
(c) carbon to nitrogen ratio, (C:N) ratio must be > 15:1;
(d) organic matter content must not exceed 15 percent dry weight.
[am. B.C. Regs. 198/2007, s. (a); 7/2019, Sch. 4, s. 3.]
Organic Matter Suitable for Composting
1 Only the organic matter in the following table may be composted into Class A compost or Class B compost:
Table — Organic Matter Used for Composting
| Column 1 — Organic Matter | Column 2 — Constituents of Organic Matter |
| animal bedding | animal bedding derived from straw, paper, hog fuel, wood chips, bark, shavings or sawdust. |
| biosolids | stabilized municipal sewage sludge resulting from a municipal waste water treatment process or septage treatment process which has been sufficiently treated to reduce pathogen densities and vector attraction to allow the sludge to be beneficially recycled in accordance with the requirements of this regulation. |
| brewery waste/winery waste | used or diverted grain, malt, hop flowers, berries, fruit, leaves and twigs and yeast resulting from brewing or wine making process. |
| domestic septic tank sludge | sludge removed from a septic tank used for receiving, treating and settling domestic sewage. |
| fish wastes | fish carcasses and parts from harvested wild stocks, commercial aquaculture operations and fish processing facilities. This would include offal, viscera and mortalities from fish and shellfish. It would also include faeces captured from commercial aquaculture net pens. |
| food waste | recyclable food for humans that has been diverted from residential, commercial or institutional sources. |
| hatchery waste | broken or unhatched eggs, unhatched chicks, membranes, embryonic fluids and eggshell. |
| manure | animal excreta from pets, animals in zoological facilities, fish held in commercial aquaculture or aquarium facilities, livestock, farmed game or poultry. This does not include the management of animal excreta (manure) to which the Code of Practice for Agricultural Environmental Management applies on agricultural land bases, but does include animal excreta (manure) to which that code does not apply. |
| milk processing waste | sludge or biomass from treatment of milk or fluid milk which has been diverted from human food consumption. |
| plant matter derived from processing plants | fruit, vegetable and vegetative material derived from fruit and vegetable processing plants that have been removed from an agricultural land base but are no longer agricultural by-products within the meaning of the Code of Practice for Agricultural Environmental Management. |
| poultry carcasses | carcasses of domestic fowls, such as chickens, turkeys, ducks or geese, raised for meat or eggs. This would include offal and viscera as well as mortalities from fowl which died from reported "Federally Reported Diseases". |
| red-meat waste | carcasses of red-meat animals such as cattle, swine, sheep, fallow deer, farmed game and farmed bison. |
| untreated and unprocessed wood residuals | clean (non-contaminated and untreated) wood from lumber manufacture, e.g. shavings, sawdust, chips, hog fuel, ground mill ends and land clearing waste which has been ground with the majority of the greenery removed and no soil present but does not include construction and demolition debris. |
| whey | the serum or watery part of milk that remains after the manufacture of cheese. |
| yard waste | clean and untreated wood waste or non-food vegetative matter resulting from gardening operations, landscaping, and land clearing; yard waste does not include wood waste derived from construction or demolition. Neither human or animal food waste that is diverted from residential, commercial or institutional sources, nor manure, is yard waste. |
[am. B.C. Reg. 321/2004, s. 19 (g).]
Notification
1 The discharger must submit the following information to a director at least 30 calendar days before the intended land application:
(a) full legal name and address of the discharger..............................................................................................................
(b) name of the local contact and local address for the discharger of managed organic matter................................................
(c) street address and legal description of the land application...........................................................................................
(d) registered owner of the land upon which the land application of managed organic matter will take place.............................
(e) land upon which the land application of managed organic matter will take place is
(i) in the Agricultural Land Reserve (ALR)? Yes ......... No .........
(ii) Forest Land Reserve (FLR)? Yes ......... No .........
(iii) a watershed used for a permitted water supply under B.C. Reg. 230/92, the Safe Drinking Water Regulation? Yes ............ No .............
(iv) Agricultural land? Yes ............ No .............
(f) If ALR or agricultural land, will it be used
(i) to grow edible crops with harvested parts above ground? Yes ............ No .............
(ii) to grow edible crops with harvested parts below ground? Yes ............ No .............
(iii) for tree crops? Yes ............ No .............
(iv) for livestock grazing? Yes ............ No .............
(v) for forage crops? Yes ............ No .............
(g) any previous waste management permit number, if known.............................................................................................
(h) description of the managed organic matter to be applied...............................................................................................
(i) intended date(s) for land application for that year.........................................................................................................
(j) application rate(s)....................................................................................................................................................
(k) cumulative additions for that year of substances listed in Schedule 4...............................................................................
(l) pre-approved, site-specific numeric soil standards, if applicable......................................................................................
(m) attached map and/or plan identifying the bounds of the land application site.
(n) written authorization by registered owner or lessee for the land application of managed organic matter attached.
[Provisions relevant to the enactment of this regulation: Environmental Management Act, S.B.C. 2003, c. 53, ss. 21 and 138, and the Public Health Act, S.B.C. 2008, c. 28, s. 115.]
Copyright © King's Printer, Victoria, British Columbia, Canada