Title BEFORE amended by BC Reg 67/2015, effective May 5, 2015.
National Instrument 45-106 Prospectus and Registration Exemptions
Section 1.1 definitions of "acquisition date", "financial statements", "issuer's GAAP", "private enterprise", "publicly accountable enterprise, "retrospective" and "retrospectively" were added by BC Reg 382/2010, effective January 1, 2011.
Section 1.1 definition "approved credit rating" BEFORE amended to "designated rating" by BC Reg 179/2013, effective May 31, 2013.
"approved credit rating" has the same meaning as in National Instrument 81-102 Mutual Funds;
Section 1.1 definition "approved credit rating organization" BEFORE amended to "designated rating organization" by BC Reg 179/2013, effective May 31, 2013.
"approved credit rating organization" has the same meaning as in National Instrument 81-102 Mutual Funds;
Section 1.1 definition "DRO affiliate" was added by BC Reg 179/2013, effective May 31, 2013.
Section 1.1 definitions of "designated rating" and "designated rating organization" BEFORE amended by BC Reg 176/2014, effective September 22, 2014.
"designated rating" has the same meaning as in National Instrument 81-102 Mutual Funds;
"designated rating organization" has the same meaning as in National Instrument 81-102 Mutual Funds;
Section 1.1, definitions of "asset pool", "asset transaction", "conduit", "credit enhancement", "liquidity provider", "securitized product" and "short-term securitized product" were added by BC Reg 66/2015, effective May 5, 2015.
Section 1.1, definition of "accredited investor", paragraphs (a) to (j), (q), (u) and (v) BEFORE amended by BC Reg 67/2015, effective May 5, 2015.
(a) a Canadian financial institution, or a Schedule III bank,
(b) the Business Development Bank of Canada incorporated under the Business Development Bank of Canada Act (Canada),
(c) a subsidiary of any person referred to in paragraphs (a) or (b), if the person owns all of the voting securities of the subsidiary, except the voting securities required by law to be owned by directors of that subsidiary,
(d) a person registered under the securities legislation of a jurisdiction of Canada as an adviser or dealer, other than a person registered solely as a limited market dealer under one or both of the Securities Act (Ontario) or the Securities Act (Newfoundland and Labrador),
(e) an individual registered or formerly registered under the securities legislation of a jurisdiction of Canada as a representative of a person referred to in paragraph (d),
(f) the Government of Canada or a jurisdiction of Canada, or any crown corporation, agency or wholly owned entity of the Government of Canada or a jurisdiction of Canada,
(g) a municipality, public board or commission in Canada and a metropolitan community, school board, the Comité de gestion de la taxe scolaire de l'île de Montréal or an intermunicipal management board in Québec,
(h) any national, federal, state, provincial, territorial or municipal government of or in any foreign jurisdiction, or any agency of that government,
(i) a pension fund that is regulated by the Office of the Superintendent of Financial Institutions (Canada), a pension commission or similar regulatory authority of a jurisdiction of Canada,
(j) an individual who, either alone or with a spouse, beneficially owns financial assets having an aggregate realizable value that before taxes, but net of any related liabilities, exceeds $1 000 000,
(q) a person acting on behalf of a fully managed account managed by that person, if that person
(i) is registered or authorized to carry on business as an adviser or the equivalent under the securities legislation of a jurisdiction of Canada or a foreign jurisdiction, and
(ii) in Ontario, is purchasing a security that is not a security of an investment fund,
(u) an investment fund that is advised by a person registered as an adviser or a person that is exempt from registration as an adviser, or
(v) a person that is recognized or designated by the securities regulatory authority or, except in Ontario and Québec, the regulator as an accredited investor;
Section 1.1, definition of "accredited investor", paragraphs (j.1) and (w) were added by BC Reg 67/2015, effective May 5, 2015.
Section 1.1, definitions of "designated rating" and "designated rating organization" BEFORE amended by BC Reg 111/2018, effective June 12, 2018.
"designated rating" has the same meaning as in National Instrument 81-102 Investment Funds;
"designated rating organization" has the same meaning as in National Instrument 81-102 Investment Funds;
Section 1.1, definition "successor credit rating organization" was added by BC Reg 111/2018, effective June 12, 2018.
Section 1.1, definitions of "professional association", "qualified appraiser" and "syndicated mortgage" were added by BC Reg 49/2021, effective March 1, 2021.
Section 1.1 definition of "designated rating" BEFORE amended by BC Reg 344/2021, effective January 5, 2022.
"designated rating" has the same meaning as in paragraph (b) of the definition of "designated rating" in National Instrument 81-102 Investment Funds;
Section 1.1 definitions of "market price" and "published market" were added by BC Reg 222/2022, effective November 21, 2022.
Section 1.1 definition of "eligible investor", paragraph (h) BEFORE amended by BC Reg 63/2023, effective March 2, 2023.
(h) a person that has obtained advice regarding the suitability of the investment and, if the person is resident in a jurisdiction of Canada, that advice has been obtained from an eligibility adviser;
Section 1.1 definition of "eligibility adviser", paragraph (b) (part) BEFORE amended by BC Reg 63/2023, effective March 2, 2023.
(b) in Saskatchewan or Manitoba, also means a lawyer who is a practicing member in good standing with a law society of a jurisdiction of Canada or a public accountant who is a member in good standing of an institute or association of chartered accountants, certified general accountants or certified management accountants in a jurisdiction of Canada provided that the lawyer or public accountant must not
Section 1.1 definition of "eligibility adviser", paragraph (b) (part) BEFORE amended by BC Reg 65/2023, effective March 8, 2023.
(b) in Manitoba, also means a lawyer who is a practicing member in good standing with a law society of a jurisdiction of Canada or a public accountant who is a member in good standing of an institute or association of chartered accountants, certified general accountants or certified management accountants in a jurisdiction of Canada provided that the lawyer or public accountant must not
Section 1.1 definitions "collective investment vehicle", "material contract", "real estate activities" and "related party" were added by BC Reg 65/2023, effective March 8, 2023.
Section 1.1 definition of "qualifying issuer", paragraph (a) BEFORE repealed by BC Reg 139/2023, effective June 9, 2023.
Section 1.1 definition of "SEDAR filer" BEFORE repealed by BC Reg 139/2023, effective June 9, 2023.
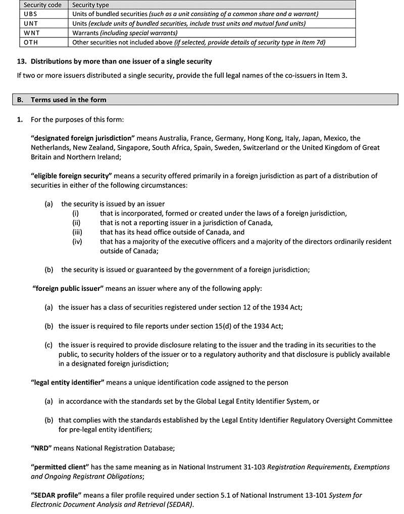
"SEDAR filer" means an issuer that is an electronic filer under National Instrument 13-101 System for Electronic Document Analysis and Retrieval (SEDAR);
Section 1.1 definitions of "bank" and "Canadian financial institution" BEFORE repealed by BC Reg 209/2023, effective September 13, 2023.
"bank" means a bank named in Schedule I or II of the Bank Act (Canada);
"Canadian financial institution" means
(a) an association governed by the Cooperative Credit Associations Act (Canada) or a central cooperative credit society for which an order has been made under section 473 (1) of that Act, or
(b) a bank, loan corporation, trust company, trust corporation, insurance company, treasury branch, credit union, caisse populaire, financial services cooperative, or league that, in each case, is authorized by an enactment of Canada or a jurisdiction of Canada to carry on business in Canada or a jurisdiction of Canada;
Section 1.5 (1) BEFORE amended by BC Reg 67/2015, effective May 5, 2015.
(1) An exemption in this Instrument from the dealer registration requirement, or from the prospectus requirement, that refers to a registered dealer is only available for a trade in a security if the dealer is registered in a category that permits the trade described in the exemption.
Section 1.5 (2) BEFORE repealed by BC Reg 67/2015, effective May 5, 2015.
(2) In this Instrument, an exemption from the dealer registration requirement is an exemption from the underwriter registration requirement.
Section 2.1 BEFORE re-enacted by BC Reg 230/2015, effective December 8, 2015.
Rights offering
2.1 The prospectus requirement does not apply to a distribution by an issuer of a right granted by the issuer to purchase a security of its own issue to a security holder of the issuer if
(a) the issuer has given the regulator or, in Québec, the securities regulatory authority, prior written notice stating the date, amount, nature and conditions of the distribution, including the approximate net proceeds to be derived by the issuer on the basis of the additional securities being fully taken up,
(b) the regulator or, in Québec, the securities regulatory authority, has not objected in writing to the distribution within 10 days of receipt of the notice referred to in paragraph (a) or, if the regulator or securities regulatory authority objects to the distribution, the issuer has delivered to the regulator or securities regulatory authority information relating to the securities that is satisfactory to and accepted by the regulator or securities regulatory authority, and
(c) the issuer has complied with the applicable requirements of National Instrument 45-101 Rights Offerings.
Section 2.1 (1) definitions of "market price" and "published market" BEFORE repealed by BC Reg 222/2022, effective November 21, 2022.
"market price" means, for securities of a class for which there is a published market,
(a) except as provided in paragraph (b),
(i) if the published market provides a closing price, the simple average of the closing price of securities of that class on the published market for each of the trading days on which there was a closing price falling not more than 20 trading days immediately before the day as of which the market price is being determined, or
(ii) if the published market does not provide a closing price, but provides only the highest and lowest prices of securities of the class traded, the average of the simple averages of the highest and lowest prices of securities of the class on the published market for each of the trading days on which there were highest and lowest prices falling not more than 20 trading days immediately before the day as of which the market price is being determined, or
(b) if trading of securities of the class on the published market has occurred on fewer than 10 of the immediately preceding 20 trading days, the average of the following amounts established for each of the 20 trading days immediately before the day as of which the market price is being determined:
(i) the average of the closing bid and closing ask prices for each day on which there was no trading;
(A) provides a closing price of securities of the class for each day that there was trading, the closing price, or
(B) provides only the highest and lowest prices, the average of the highest and lowest prices of securities of that class for each day that there was trading;
"published market" means, for a class of securities, a marketplace on which the securities are traded, if the prices at which they have been traded on that marketplace are regularly
(a) disseminated electronically, or
(b) published in a newspaper or business or financial publication of general and regular paid circulation;
Section 2.1 (2) BEFORE repealed by BC Reg 222/2022, effective November 21, 2022.
(2) For the purpose of the definition of "market price", if there is more than one published market for a security and
(a) only one of the published markets is in Canada, the market price is determined solely by reference to that market,
(b) more than one of the published markets is in Canada, the market price is determined solely by reference to the published market in Canada on which the greatest volume of trading in the particular class of securities occurred during the 20 trading days immediately before the date as of which the market price is being determined, and
(c) none of the published markets are in Canada, the market price is determined solely by reference to the published market on which the greatest volume of trading in the particular class of securities occurred during the 20 trading days immediately before the date as of which the market price is being determined.
Section 2.1 (3) (b) (ii) and (iii) BEFORE amended by BC Reg 222/2022, effective November 21, 2022.
(ii) an order issued by the regulator or, in Québec, the securities regulatory authority;
(iii) an undertaking to the regulator or, in Québec, the securities regulatory authority;
Section 2.2 (5) BEFORE amended by BC Reg 67/2015, effective May 5, 2015.
(5) Subject to section 8.3.1, if the security distributed under a plan described in subsection (1) is of a different class or series than the class or series of the security to which the dividend or distribution is attributable, the issuer or the trustee, custodian or administrator must have provided to each participant that is eligible to receive a security under the plan either a description of the material attributes and characteristics of the security distributed under the plan or notice of a source from which the participant can obtain the information without charge.
Section 2.3 (0.1), and (6) to (8) were added by BC Reg 67/2015, effective May 5, 2015.
Section 2.3 (2), (4) and (5) BEFORE amended by BC Reg 67/2015, effective May 5, 2015.
(2) Subject to subsection (3), for the purpose of this section, a trust company or trust corporation described in paragraph (p) of the definition of "accredited investor" in section 1.1 [definitions] is deemed to be purchasing as principal.
(4) For the purpose of this section, a person described in paragraph (q) of the definition of "accredited investor" in section 1.1 [definitions] is deemed to be purchasing as principal.
(5) This section does not apply to a distribution of a security to a person if the person was created, or is used, solely to purchase or hold securities as an accredited investor described in paragraph (m) of the definition of "accredited investor" in section 1.1 [definitions].
Section 2.4 (2.1) and (5) were added by BC Reg 67/2015, effective May 5, 2015.
Section 2.4 (3) BEFORE amended by BC Reg 67/2015, effective May 5, 2015.
(3) Except for a distribution to an accredited investor, no commission or finder's fee may be paid to any director, officer, founder or control person of an issuer in connection with a distribution under subsection (2).
Section 2.4 (4) BEFORE amended by BC Reg 49/2021, effective March 1, 2021.
(4) Subsection (2) does not apply to a distribution of a short-term securitized product.
Section 2.4 (6) was added by BC Reg 49/2021, effective March 1, 2021.
Section 2.5 (3) BEFORE amended by BC Reg 49/2021, effective March 1, 2021.
(3) Subsection (1) does not apply to a distribution of a short-term securitized product or, in Ontario, a distribution under subsection 73.4 (2) of the Securities Act (Ontario).
Section 2.5 (1) (part) BEFORE amended by BC Reg 63/2023, effective March 2, 2023.
(1) Except in Ontario and subject to section 2.6 [family, friends and business associates — Saskatchewan], the prospectus requirement does not apply to a distribution of a security to a person who purchases the security as principal and is
Section 2.7 BEFORE re-enacted by BC Reg 66/2015, effective May 5, 2015.
Founder, control person and family — Ontario
2.7 In Ontario, the prospectus requirement does not apply to a distribution to a person who purchases the security as principal and is
(b) an affiliate of a founder of the issuer,
(c) a spouse, parent, brother, sister, grandparent, grandchild or child of an executive officer, director or founder of the issuer, or
Section 2.7 BEFORE repealed by BC Reg 63/2023, effective March 2, 2023.
Founder, control person and family — Ontario
2.7 (1) In Ontario, the prospectus requirement does not apply to a distribution to a person who purchases the security as principal and is one of the following:
(b) an affiliate of a founder of the issuer;
(c) a spouse, parent, grandparent, brother, sister, child or grandchild of an executive officer, director or founder of the issuer;
(d) a person that is a control person of the issuer.
(2) Subsection (1) does not apply to a distribution of a short-term securitized product.
[en. B.C. Reg. 66/2015, Sch. B, s. 6.]
Section 2.9 (18) BEFORE repealed by BC Reg 86/2011, effective June 30, 2011.
(18) If a qualifying issuer uses a form of offering memorandum that allows the qualifying issuer to incorporate previously filed information into the offering memorandum by reference, the qualifying issuer is exempt from the requirement under National Instrument 43-101 Standards of Disclosure for Mineral Projects to file a technical report to support scientific or technical information about the qualifying issuer's mineral project in the offering memorandum or incorporated by reference into the offering memorandum if the information about the mineral project is contained in a previously filed technical report under National Instrument 43-101 Standards of Disclosure for Mineral Projects.
Section 2.9 (19), (19.1), (19.2), (19.3) and (19.4) were added by BC Reg 49/2021, effective March 1, 2021.
Section 2.9 (1) (part), (2) (part) and (3), (3.1), (4) and (15) BEFORE amended by BC Reg 63/2023, effective March 2, 2023.
(1) In British Columbia, New Brunswick, Nova Scotia and Newfoundland and Labrador, the prospectus requirement does not apply to a distribution by an issuer of a security of its own issue to a purchaser if
(2) In Alberta, Manitoba, Northwest Territories, Nunavut, Prince Edward Island, Québec, Saskatchewan and Yukon, the prospectus requirement does not apply to a distribution by an issuer of a security of its own issue to a purchaser if
(3) In Alberta, Manitoba, Northwest Territories, Nunavut, Prince Edward Island, Québec, Saskatchewan and Yukon, this section does not apply to a distribution of a security to a person described in paragraph (a) of the definition of "eligible investor" in section 1.1 [definitions] if that person was created, or is used, solely to purchase or hold securities in reliance on the exemption from the prospectus requirement set out in subsection (2).
(3.1) Subsections (1) and (2) do not apply to a distribution of a short-term securitized product.
(4) No commission or finder's fee may be paid to any person, other than a registered dealer, in connection with a distribution to a purchaser in the Northwest Territories, Nunavut, Saskatchewan and Yukon under subsection (2).
(15) A risk acknowledgement under subsection (1) or (2) must be in the required form and an issuer relying on subsection (1) or (2) must retain the signed risk acknowledgment for 8 years after the distribution.
Section 2.9 (16) (a) BEFORE amended by BC Reg 63/2023, effective March 2, 2023.
(a) hold in trust all consideration received from the purchaser in connection with a distribution of a security under subsection (1) or (2) until midnight on the 2nd business day after the purchaser signs the agreement to purchase the security, and
Section 2.9 (2.1) to (2.3), (3.0.1), (5.1), (5.2) and (17.1) to (17.23) were added by BC Reg 63/2023, effective March 2, 2023.
Section 2.9 (1) (b) (i) BEFORE amended by BC Reg 65/2023, effective March 8, 2023.
(i) delivers an offering memorandum to the purchaser in compliance with subsections (5) to (13), and
Section 2.9 (2) (c) (i) BEFORE amended by BC Reg 65/2023, effective March 8, 2023.
(i) delivers an offering memorandum to the purchaser in compliance with subsections (5) to (13), and
Section 2.9 (2.1) (c) (i) BEFORE amended by BC Reg 65/2023, effective March 8, 2023.
(i) delivers an offering memorandum to the purchaser in compliance with subsections (5) to (13), and
Section 2.9 (2.2) (a) BEFORE amended by BC Reg 65/2023, effective March 8, 2023.
(a) in Alberta, Nova Scotia and Saskatchewan, to an issuer that is an investment fund, unless the issuer is a non-redeemable investment fund or a mutual fund that is a reporting issuer, or
Section 2.9 (5.2), (17) and (19) BEFORE amended by BC Reg 65/2023, effective March 8, 2023.
(5.2) A portfolio manager, investment dealer or exempt market dealer must not distribute OM marketing materials unless the OM marketing materials have been approved in writing by the issuer.
(17) The issuer must file a copy of an offering memorandum delivered under this section and any update of a previously filed offering memorandum with the securities regulatory authority on or before the 10th day after the distribution under the offering memorandum or update of the offering memorandum.
(19) For the purposes of subsections (19.1) and (19.3), a qualified appraiser is independent of an issuer of a syndicated mortgage if there is no circumstance that, in the opinion of a reasonable person aware of all the relevant facts, could interfere with the qualified appraiser's judgment regarding the preparation of an appraisal for a property.
Section 2.9 (13) and (14) BEFORE repealed by BC Reg 65/2023, effective March 8, 2023.
(13) A certificate under subsection (8) must be true
(a) at the date the certificate is signed, and
(b) at the date the offering memorandum is delivered to the purchaser.
(14) If a certificate under subsection (8) ceases to be true after it is delivered to the purchaser, the issuer cannot accept an agreement to purchase the security from the purchaser unless
(a) the purchaser receives an update of the offering memorandum,
(b) the update of the offering memorandum contains a newly dated certificate signed in compliance with subsection (9), (10), (10.1), (10.2), (10.3), (11) or (11.1) and
(c) the purchaser re-signs the agreement to purchase the security.
Section 2.9 (13.1) to (13.3), (14.1), (17.0.1) and (19.5) to (19.9) were added by BC Reg 65/2023, effective March 8, 2023.
Section 2.10 (1) BEFORE amended by BC Reg 67/2015, effective May 5, 2015.
(1) The prospectus requirement does not apply to a distribution of a security to a person if
(a) that person purchases as principal,
(b) the security has an acquisition cost to the purchaser of not less than $150 000 paid in cash at the time of the distribution, and
Section 2.22 definition of "listed issuer", paragraph (a) (ii.1) was added by BC Reg 208/2015, effective November 17, 2015.
Section 2.22 definition of "listed issuer", paragraph (a) (ii.1) BEFORE amended by BC Reg 150/2025, effective September 19, 2025.
(ii.1) Aequitas NEO Exchange Inc.,
Section 2.22 definition of "listed issuer", paragraph (a) (ii.2) was added by BC Reg 150/2025, effective September 19, 2025.
Section 2.34 (2) (b) BEFORE amended by BC Reg 179/2013, effective May 31, 2013.
(b) a debt security issued by or guaranteed by a government of a foreign jurisdiction if the debt security has an approved credit rating from an approved credit rating organization,
Section 2.35 (b) BEFORE amended by BC Reg 179/2013, effective May 31, 2013.
(b) has an approved credit rating from an approved credit rating organization.
Section 2.35 BEFORE re-enacted by BC Reg 66/2015, effective May 5, 2015.
Short-term debt
2.35 The prospectus requirement does not apply to a distribution of a negotiable promissory note or commercial paper maturing not more than one year from the date of issue, if the note or commercial paper distributed
(a) is not convertible or exchangeable into or accompanied by a right to purchase another security other than a security described in this section, and
(b) has a designated rating from a designated rating organization or its DRO affiliate.
[am. B.C. Reg. 179/2013, Sch. E, s. 4.]
Section 2.35 (1) (b) and (c) BEFORE amended by BC Reg 111/2018, effective June 12, 2018.
(b) the note or commercial paper has a credit rating from a designated rating organization, or its DRO affiliate, that is at or above one of the following rating categories or that is at or above a rating category that replaces one of the following rating categories:
(i) R-1(low) if issued by DBRS Limited;
(ii) F1 if issued by Fitch, Inc.;
(iii) P-1 if issued by Moody's Canada Inc.;
(iv) A-1(Low) (Canada national scale) if issued by Standard & Poor's Ratings Services (Canada);
(c) the note or commercial paper has no credit rating from a designated rating organization, or its DRO affiliate, that is below one of the following rating categories or that is below a rating category that replaces one of the following rating categories:
(i) R-1(low) if issued by DBRS Limited;
(ii) F2 if issued by Fitch, Inc.;
(iii) P-2 if issued by Moody's Canada Inc.;
(iv) A-1(Low) (Canada national scale) or A-2 (global scale) if issued by Standard & Poor's Ratings Services (Canada).
Section 2.35.2 (a) (i) and (ii) BEFORE amended by BC Reg 111/2018, effective June 12, 2018.
(i) it has a credit rating from not less than two designated rating organizations, or their respective DRO affiliate, and at least one of the credit ratings is at or above one of the following rating categories or is at or above a rating category that replaces one of the following rating categories:
(A) R-1(high)(sf) if issued by DBRS Limited;
(B) F1+sf if issued by Fitch, Inc.;
(C) P-1(sf) if issued by Moody's Canada Inc.;
(D) A-1(High)(sf) (Canada national scale) or A-1+(sf) (global scale) if issued by Standard & Poor's Ratings Services (Canada);
(ii) it has no credit rating from a designated rating organization, or its DRO affiliate, that is below one of the following rating categories or that is below a rating category that replaces one of the following rating categories:
(A) R-1(low)(sf) if issued by DBRS Limited;
(B) F2sf if issued by Fitch, Inc.;
(C) P-2(sf) if issued by Moody's Canada Inc.;
(D) A-1(Low)(sf) (Canada national scale) or A-2(sf) (global scale) if issued by Standard & Poor's Ratings Services (Canada);
Section 2.35.2 (a) (iv) (C) BEFORE amended by BC Reg 111/2018, effective June 12, 2018.
(C) the liquidity provider has a rating from each of the designated rating organizations providing a rating on the short-term securitized product under subparagraph 2.35.2 (a) (i), or their respective DRO affiliate, for its senior, unsecured short-term debt, none of which is dependent upon a guarantee by a third party, and each rating from such designated rating organizations, or their respective DRO affiliate, is at or above the following rating categories or is at or above a rating category that replaces one of the following rating categories:
1. R-1(low) if issued by DBRS Limited;
2. F2 if issued by Fitch, Inc.;
3. P-2 if issued by Moody's Canada Inc.;
4. A-1(Low) (Canada national scale) or A-2 (global scale) if issued by Standard & Poor's Ratings Services (Canada);
Section 2.36 (1) BEFORE repealed by BC Reg 49/2021, effective March 1, 2021.
(1) In this section, "syndicated mortgage" means a mortgage in which 2 or more persons participate, directly or indirectly, as a lender in a debt obligation that is secured by the mortgage.
Section 2.36 (2) and (3) BEFORE amended by BC Reg 49/2021, effective March 1, 2021.
(2) Except in Ontario, and subject to subsection (3), the prospectus requirement does not apply to a distribution of a mortgage on real property in a jurisdiction of Canada by a person who is registered or licensed, or exempted from registration or licensing, under mortgage brokerage or mortgage dealer legislation of that jurisdiction.
(3) In Alberta, British Columbia, Manitoba, Québec and Saskatchewan, subsection (2) does not apply to a distribution of a syndicated mortgage.
Part 3, sections 3.0 to 3.50 BEFORE self-repealed by BC Reg 227/2009, App. s. 2 (a) effective March 27, 2010.
Part 3 - Registration Exemptions
Removal of exemptions — market intermediaries
3.0 (1) Subject to subsection (2), in Ontario and Newfoundland and Labrador, the exemptions from the dealer registration requirement under the following sections are not available for a market intermediary except for a trade in a security with a registered dealer that is an affiliate of the market intermediary:
(a) section 3.1 [rights offering];
(b) section 3.3 [accredited investor];
(c) section 3.4 [private issuer];
(d) section 3.7 [founder, control person and family — Ontario];
(e) section 3.10 [minimum amount investment];
(f) section 3.11 [business combination and reorganization];
(g) section 3.12 [asset acquisition];
(h) section 3.14 [securities for debt];
(i) section 3.15 [issuer acquisition or redemption];
(j) section 3.16 [take-over bid and issuer bid];
(k) section 3.17 [offer to acquire to security holder outside local jurisdiction];
(l) section 3.19 [additional investment in investment funds];
(m) section 3.21 [private investment fund — loan and trust pools];
(n) section 3.29 [isolated trade];
(o) section 3.30 [isolated trade by issuer];
(p) section 3.31 [dividends and distributions];
(q) section 3.33 [acting as underwriter];
(r) section 3.34 [specified debt];
(s) section 3.35 [short-term debt];
(t) section 3.39 [variable insurance contract];
(u) section 3.42 [conversion, exchange, or exercise];
(v) section 3.44 [registered dealer].
(2) Subsection (1) does not apply in respect of a trade in a security by a lawyer or accountant if the trade is incidental to the principal business of that lawyer or accountant.
Division 1 - Capital Raising Exemptions
Rights offering
3.1 The dealer registration requirement does not apply in respect of a trade by an issuer in a right granted by the issuer to purchase a security of its own issue to a security holder of the issuer if
(a) the issuer has given the regulator or, in Québec, the securities regulatory authority, prior written notice stating the date, amount, nature and conditions of the trade, including the approximate net proceeds to be derived by the issuer on the basis of the additional securities being fully taken up,
(b) the regulator or, in Québec, the securities regulatory authority, has not objected in writing to the trade within 10 days of receipt of the notice referred to in paragraph (a) or, if the regulator or securities regulatory authority objects to the trade, the issuer has delivered to the regulator or securities regulatory authority information relating to the securities that is satisfactory to and accepted by the regulator or securities regulatory authority, and
(c) the issuer has complied with the applicable requirements of National Instrument 45-101 Rights Offerings.
Reinvestment plan
3.2 (1) Subject to subsections (3), (4) and (5), the dealer registration requirement does not apply in respect of the following trades by an issuer, or by a trustee, custodian or administrator acting for or on behalf of the issuer, to a security holder of the issuer if the trades are permitted by a plan of the issuer:
(a) a trade in a security of the issuer's own issue if a dividend or distribution out of earnings, surplus, capital or other sources payable in respect of the issuer's securities is applied to the purchase of the security, and
(b) subject to subsection (2), a trade in a security of the issuer's own issue if the security holder makes an optional cash payment to purchase the security of the issuer that trades on a marketplace.
(2) Subsection (1) does not apply unless the aggregate number of securities issued under the optional cash payment referred to in subsection (1) (b) does not exceed, in the financial year of the issuer during which the trade takes place, 2% of the issued and outstanding securities of the class to which the plan relates as at the beginning of the financial year.
(3) A plan that permits the trades described in subsection (1) (a) or (b) must be available to every security holder in Canada to which the dividend or distribution out of earnings, surplus, capital or other sources is available.
(4) Subsection (1) does not apply to a trade in a security of an investment fund.
(5) Subject to section 8.3.1, if the security traded under a plan described in subsection (1) is of a different class or series than the class or series of the security to which the dividend or distribution is attributable, the issuer or the trustee, custodian or administrator must have provided to each participant that is eligible to receive a security under the plan either a description of the material attributes and characteristics of the security traded under the plan or notice of a source from which the participant can obtain the information without charge.
Accredited investor
3.3 (1) The dealer registration requirement does not apply in respect of a trade in a security if the purchaser purchases the security as principal and is an accredited investor.
(2) Subject to subsection (3), for the purpose of this section, a trust company or trust corporation described in paragraph (p) of the definition of "accredited investor" in section 1.1 [definitions] is deemed to be purchasing as principal.
(3) Subsection (2) does not apply to a trust company or trust corporation registered under the laws of Prince Edward Island that is not registered or authorized under the Trust and Loan Companies Act (Canada) or under comparable legislation in another jurisdiction of Canada.
(4) For the purpose of this section, a person described in paragraph (q) of the definition of "accredited investor" in section 1.1 [definitions] is deemed to be purchasing as principal.
(5) This section does not apply to a trade in a security to a person if the person was created, or is used, solely to purchase or hold securities as an accredited investor as described in paragraph (m) of the definition of "accredited investor" in section 1.1 [definitions].
Private issuer
3.4 (1) In this section,
"private issuer" means an issuer
(a) that is not a reporting issuer or an investment fund,
(b) the securities of which, other than non-convertible debt securities,
(i) are subject to restrictions on transfer that are contained in the issuer's constating documents or security holders' agreements, and
(ii) are beneficially owned by not more than 50 persons, not including employees and former employees of the issuer or its affiliates, provided that each person is counted as one beneficial owner unless the person is created or used solely to purchase or hold securities of the issuer in which case each beneficial owner or each beneficiary of the person, as the case may be, must be counted as a separate beneficial owner, and
(c) that
(i) has distributed its securities only to persons described in subsection (2), or
(ii) has completed a transaction and immediately following the completion of the transaction, its securities were beneficially owned only by persons described in subsection (2) and since the completion of the transaction has distributed its securities only to persons described in subsection (2).
(2) The dealer registration requirement does not apply in respect of a trade in a security of a private issuer to a person who purchases the security as principal and is
(a) a director, officer, employee, founder or control person of the issuer,
(b) a director, officer or employee of an affiliate of the issuer,
(c) a spouse, parent, grandparent, brother, sister, child or grandchild of a director, executive officer, founder or control person of the issuer,
(d) a parent, grandparent, brother, sister, child or grandchild of the spouse of a director, executive officer, founder or control person of the issuer,
(e) a close personal friend of a director, executive officer, founder or control person of the issuer,
(f) a close business associate of a director, executive officer, founder or control person of the issuer,
(g) a spouse, parent, grandparent, brother, sister, child or grandchild of the selling security holder or of the selling security holder's spouse,
(h) a security holder of the issuer,
(i) an accredited investor,
(j) a person of which a majority of the voting securities are beneficially owned by, or a majority of the directors are, persons described in paragraphs (a) to (i),
(k) a trust or estate of which all of the beneficiaries or a majority of the trustees or executors are persons described in paragraphs (a) to (i), or
(l) a person that is not the public.
(3) Except for a trade to an accredited investor, no commission or finder's fee may be paid to any director, officer, founder or control person of an issuer in connection with a trade under subsection (2).
Family, friends and business associates
3.5 (1) Except in Ontario and subject to section 3.6 [family, friends and business associates — Saskatchewan], the dealer registration requirement does not apply in respect of a trade in a security to a person who purchases the security as principal and is
(a) a director, executive officer or control person of the issuer, or of an affiliate of the issuer,
(b) a spouse, parent, grandparent, brother, sister, child or grandchild of a director, executive officer or control person of the issuer, or of an affiliate of the issuer,
(c) a parent, grandparent, brother, sister, child or grandchild of the spouse of a director, executive officer or control person of the issuer or of an affiliate of the issuer,
(d) a close personal friend of a director, executive officer or control person of the issuer, or of an affiliate of the issuer,
(e) a close business associate of a director, executive officer or control person of the issuer, or of an affiliate of the issuer,
(f) a founder of the issuer or a spouse, parent, grandparent, brother, sister, child, grandchild, close personal friend or close business associate of a founder of the issuer,
(g) a parent, grandparent, brother, sister, child or grandchild of a spouse of a founder of the issuer,
(h) a person of which a majority of the voting securities are beneficially owned by, or a majority of the directors are, persons described in paragraphs (a) to (g), or
(i) a trust or estate of which all of the beneficiaries or a majority of the trustees or executors are persons described in paragraphs (a) to (g).
(2) No commission or finder's fee may be paid to any director, officer, founder, or control person of an issuer or an affiliate of the issuer in connection with a trade under subsection (1).
Family, friends and business associates — Saskatchewan
3.6 (1) In Saskatchewan, section 3.5 [family, friends and business associates] does not apply unless the person making the trade obtains a signed risk acknowledgement from the purchaser in the required form for a trade to
(a) a person described in section 3.5 (1) (d) or (e) [family, friends and business associates],
(b) a close personal friend or close business associate of a founder of the issuer, or
(c) a person described in section 3.5(1) (h) or (i) [family, friends and business associates] if the trade is based in whole or in part on a close personal friendship or close business association.
(2) The person making the trade must retain the required form referred to in subsection (1) for 8 years after the trade.
Founder, control person and family — Ontario
3.7 In Ontario, the dealer registration requirement does not apply in respect of a trade in a security to a person who purchases the security as principal and is
(a) a founder of the issuer,
(b) an affiliate of a founder of the issuer,
(c) a spouse, parent, brother, sister, grandparent, grandchild or child of an executive officer, director or founder of the issuer, or
(d) a person that is a control person of the issuer.
Affiliates
3.8 The dealer registration requirement does not apply in respect of a trade by an issuer in a security of its own issue to an affiliate of the issuer that is purchasing as principal.
Offering memorandum
3.9 (1) In British Columbia, New Brunswick, Nova Scotia and Newfoundland and Labrador, the dealer registration requirement does not apply in respect of a trade by an issuer in a security of its own issue to a purchaser if
(a) the purchaser purchases the security as principal, and
(b) at the same time or before the purchaser signs the agreement to purchase the security, the issuer
(i) delivers an offering memorandum to the purchaser in compliance with subsections (5) to (13), and
(ii) obtains a signed risk acknowledgement from the purchaser in compliance with subsection (15).
(2) In Alberta, Manitoba, Northwest Territories, Nunavut, Prince Edward Island, Québec, Saskatchewan and Yukon, the dealer registration requirement does not apply in respect of a trade by an issuer in a security of its own issue to a purchaser if
(a) the purchaser purchases the security as principal,
(b) the purchaser is an eligible investor or the acquisition cost to the purchaser does not exceed $10 000,
(c) at the same time or before the purchaser signs the agreement to purchase the security, the issuer
(i) delivers an offering memorandum to the purchaser in compliance with subsections (5) to (13), and
(ii) obtains a signed risk acknowledgement from the purchaser in compliance with subsection (15), and
(d) if the issuer is an investment fund, the investment fund is
(i) a non-redeemable investment fund, or
(ii) a mutual fund that is a reporting issuer.
(3) In Alberta, Manitoba, Northwest Territories, Nunavut, Prince Edward Island, Québec, Saskatchewan and Yukon, this section does not apply to a trade in a security to a person described in paragraph (a) of the definition of "eligible investor" in section 1.1 [definitions] if that person was created, or is used, solely to purchase or hold securities in reliance on an exemption from the dealer registration requirement set out in subsection (2).
(4) No commission or finder's fee may be paid to any person, other than a registered dealer, in connection with a trade to a purchaser in Northwest Territories, Nunavut, Saskatchewan and Yukon under subsection (2).
(5) An offering memorandum delivered under this section must be in the required form.
(6) If the securities legislation where the purchaser is resident does not provide a comparable right, an offering memorandum delivered under this section must provide the purchaser with a contractual right to cancel the agreement to purchase the security by delivering a notice to the issuer not later than midnight on the 2nd business day after the purchaser signs the agreement to purchase the security.
(7) If the securities legislation where the purchaser is resident does not provide statutory rights of action in the event of a misrepresentation in an offering memorandum delivered under this section, the offering memorandum must contain a contractual right of action against the issuer for rescission or damages that
(a) is available to the purchaser if the offering memorandum, or any information or documents incorporated or deemed to be incorporated by reference into the offering memorandum, contains a misrepresentation, without regard to whether the purchaser relied on the misrepresentation,
(b) is enforceable by the purchaser delivering a notice to the issuer
(i) in the case of an action for rescission, within 180 days after the purchaser signs the agreement to purchase the security, or
(ii) in the case of an action for damages, before the earlier of
(A) 180 days after the purchaser first has knowledge of the facts giving rise to the cause of action, or
(B) 3 years after the date the purchaser signs the agreement to purchase the security,
(c) is subject to the defence that the purchaser had knowledge of the misrepresentation,
(d) in the case of an action for damages, provides that the amount recoverable
(i) must not exceed the price at which the security was offered, and
(ii) does not include all or any part of the damages that the issuer proves does not represent the depreciation in value of the security resulting from the misrepresentation, and
(e) is in addition to, and does not detract from, any other right of the purchaser.
(8) An offering memorandum delivered under this section must contain a certificate that states the following:
"This offering memorandum does not contain a misrepresentation."
(9) If the issuer is a company, a certificate under subsection (8) must be signed
(a) by the issuer's chief executive officer and chief financial officer or, if the issuer does not have a chief executive officer or chief financial officer, an individual acting in that capacity,
(b) on behalf of the directors of the issuer by,
(i) any 2 directors who are authorized to sign, other than the persons referred to in paragraph (a), or
(ii) all the directors of the issuer, and
(c) by each promoter of the issuer.
(10) If the issuer is a trust, a certificate under subsection (8) must be signed by
(a) the individuals who perform functions for the issuer similar to those performed by the chief executive officer and the chief financial officer of a company, and
(b) each trustee and the manager of the issuer.
(10.1) If a trustee or the manager that is signing the certificate of the issuer is
(a) an individual, the individual must sign the certificate,
(b) a company, the certificate must be signed
(i) by the chief executive officer and the chief financial officer of the trustee or the manager, and
(ii) on behalf of the board of directors of the trustee or the manager, by
(A) any two directors of the trustee or the manager, other than the persons referred to in subparagraph (i), or
(B) all of the directors of the trustee or the manager,
(c) a limited partnership, the certificate must be signed by each general partner of the limited partnership as described in subsection (11.1) in relation to an issuer that is a limited partnership, or
(d) not referred to in paragraphs (a), (b) or (c), the certificate may be signed by any person or company with authority to act on behalf of the trustee or the manager.
(10.2) Despite subsections (10) and (10.1), if the issuer is an investment fund and the declaration of trust, trust indenture or trust agreement establishing the investment fund delegates the authority to do so, or otherwise authorizes an individual or company to do so, the certificate may be signed by the individual or company to whom the authority is delegated or that is authorized to sign the certificate.
(10.3) Despite subsections (10) and (10.1), if the trustees of an issuer, other than an investment fund, do not perform functions for the issuer similar to those performed by the directors of a company, the trustees are not required to sign the certificate of the issuer provided that at least two individuals who do perform functions for the issuer similar to those performed by the directors of a company sign the certificate.
(11) If the issuer is a limited partnership, a certificate under subsection (8) must be signed by
(a) each individual who performs a function for the issuer similar to any of those performed by the chief executive officer or the chief financial officer of a company, and
(b) each general partner of the issuer.
(11.1) If a general partner of the issuer is
(a) an individual, the individual must sign the certificate,
(b) a company, the certificate must be signed
(i) by the chief executive officer and the chief financial officer of the general partner, and
(ii) on behalf of the board of directors of the general partner, by
(A) any two directors of the general partner, other than the persons referred to in subparagraph (i), or
(B) all of the directors of the general partner,
(c) a limited partnership, the certificate must be signed by each general partner of the limited partnership and, for greater certainty, this subsection applies to each general partner required to sign,
(d) a trust, the certificate must be signed by the trustees of the general partner as described in subsection (10) in relation to an issuer that is a trust, or
(e) not referred to in paragraphs (a) to (d), the certificate may be signed by any person or company with authority to act on behalf of the general partner.
(12) If an issuer is not a company, trust or limited partnership, a certificate under subsection (8) must be signed by the persons that, in relation to the issuer, are in a similar position or perform a similar function to any of the persons referred to in subsections (9), (10), (10.1), (10.2), (10.3), (11) and (11.1).
(13) A certificate under subsection (8) must be true
(a) at the date the certificate is signed, and
(b) at the date the offering memorandum is delivered to the purchaser.
(14) If a certificate under subsection (8) ceases to be true after it is delivered to the purchaser, the issuer cannot accept an agreement to purchase the security from the purchaser unless
(a) the purchaser receives an update of the offering memorandum,
(b) the update of the offering memorandum contains a newly dated certificate signed in compliance with subsection (9), (10), (10.1), (10.2), (10.3), (11) or (11.1), and
(c) the purchaser re-signs the agreement to purchase the security.
(15) A risk acknowledgement under subsection (1) or (2) must be in the required form and an issuer relying on subsection (1) or (2) must retain the signed risk acknowledgment for 8 years after the trade.
(16) The issuer must
(a) hold in trust all consideration received from the purchaser in connection with a trade in a security under subsection (1) or (2) until midnight on the 2nd business day after the purchaser signs the agreement to purchase the security, and
(b) return all consideration to the purchaser promptly if the purchaser exercises the right to cancel the agreement to purchase the security described under subsection (6).
(17) The issuer must file a copy of an offering memorandum delivered under this section and any update of a previously filed offering memorandum with the securities regulatory authority on or before the 10th day after the distribution under the offering memorandum or update of the offering memorandum.
(18) If a qualifying issuer uses a form of offering memorandum that allows the qualifying issuer to incorporate previously filed information into the offering memorandum by reference, the qualifying issuer is exempt from the requirement under National Instrument 43-101 Standards of Disclosure for Mineral Projects to file a technical report to support scientific or technical information about the qualifying issuer's mineral project in the offering memorandum or incorporated by reference into the offering memorandum if the information about the mineral project is contained in a previously filed technical report under National Instrument 43-101 Standards of Disclosure for Mineral Projects.
Minimum amount investment
3.10 (1) The dealer registration requirement does not apply in respect of a trade in a security to a person if
(a) that person purchases as principal,
(b) the security has an acquisition cost to the purchaser of not less than $150 000 paid in cash at the time of the trade, and
(c) the trade is in a security of a single issuer.
(2) Subsection (1) does not apply to a trade in a security to a person if the person was created, or is used, solely to purchase or hold securities in reliance on the exemption from the dealer registration requirement set out in subsection (1).
Division 2 - Transaction Exemptions
Business combination and reorganization
3.11 The dealer registration requirement does not apply in respect of a trade in a security in connection with
(a) an amalgamation, merger, reorganization or arrangement that is under a statutory procedure,
(b) an amalgamation, merger, reorganization or arrangement that
(i) is described in an information circular made pursuant to National Instrument 51-102 Continuous Disclosure Obligations or in a similar disclosure record and the information circular or similar disclosure record is delivered to each security holder whose approval of the amalgamation, merger, reorganization or arrangement is required before it can proceed, and
(ii) is approved by the security holders referred to in subparagraph (i), or
(c) a dissolution or winding-up of the issuer.
Asset acquisition
3.12 The dealer registration requirement does not apply in respect of a trade by an issuer in a security of its own issue to a person as consideration for the acquisition, directly or indirectly, of the assets of the person, if those assets have a fair value of not less than $150 000.
Petroleum, natural gas and mining properties
3.13 The dealer registration requirement does not apply in respect of a trade by an issuer in a security of its own issue as consideration for the acquisition, directly or indirectly, of petroleum, natural gas or mining properties or any interest in them.
Securities for debt
3.14 The dealer registration requirement does not apply in respect of a trade by a reporting issuer in a security of its own issue to a creditor to settle a bona fide debt of that reporting issuer.
Issuer acquisition or redemption
3.15 The dealer registration requirement does not apply in respect of a trade in a security to the issuer of the security.
Take-over bid and issuer bid
3.16 The dealer registration requirement does not apply in respect of a trade in a security in connection with a take-over bid in a jurisdiction of Canada or an issuer bid in a jurisdiction of Canada.
Offer to acquire to security holder outside local jurisdiction
3.17 The dealer registration requirement does not apply in respect of a trade by a security holder outside the local jurisdiction to a person in the local jurisdiction if the trade would have been in connection with a take-over bid or issuer bid made by that person were it not for the fact that the security holder is outside the local jurisdiction.
Division 3 - Investment Fund Exemptions
Investment fund reinvestment
3.18 (1) Subject to subsections (3), (4), (5) and (6), the dealer registration requirement does not apply in respect of the following trades by an investment fund, and the investment fund manager of the fund, to a security holder of the investment fund if the trades are permitted by a plan of the investment fund:
(a) a trade in a security of the investment fund's own issue if a dividend or distribution out of earnings, surplus, capital or other sources payable in respect of the investment fund's securities is applied to the purchase of the security that is of the same class or series as the securities to which the dividend or distribution out of earnings, surplus, capital or other sources is attributable, and
(b) subject to subsection (2), a trade in a security of the investment fund's own issue if the security holder makes an optional cash payment to purchase the security of the investment fund that is of the same class or series of securities described in paragraph (a) that trade on a marketplace.
(2) The aggregate number of securities issued under the optional cash payment referred to in subsection (1) (b) must not exceed, in any financial year of the investment fund during which the trade takes place, 2% of the issued and outstanding securities of the class to which the plan relates as at the beginning of the financial year.
(3) A plan that permits the trades described in subsection (1) must be available to every security holder in Canada to which the dividend or distribution out of earnings, surplus, capital or other sources is available.
(4) A person must not charge a fee for a trade described in subsection (1).
(5) An investment fund that is a reporting issuer and in continuous distribution must set out in its current prospectus:
(a) details of any deferred or contingent sales charge or redemption fee that is payable at the time of the redemption of the security,
(b) any right that the security holder has to make an election to receive cash instead of securities on the payment of a dividend or making of a distribution by the investment fund, and
(c) instructions on how the right referred to in paragraph (b) can be exercised.
(6) An investment fund that is a reporting issuer and is not in continuous distribution must provide the information required by subsection (5) in its prospectus, annual information form or a material change report.
Additional investment in investment funds
3.19 The dealer registration requirement does not apply in respect of a trade by an investment fund, or the investment fund manager of the fund, in a security of the investment fund's own issue with a security holder of the investment fund if
(a) the security holder initially acquired securities of the investment fund as principal for an acquisition cost of not less than $150 000 paid in cash at the time of the trade,
(b) the trade is in respect of a security of the same class or series as the securities initially acquired, as described in paragraph (a), and
(c) the security holder, as at the date of the trade, holds securities of the investment fund that have
(i) an acquisition cost of not less than $150 000, or
(ii) a net asset value of not less than $150 000.
Private investment club
3.20 The dealer registration requirement does not apply in respect of a trade in a security of an investment fund if the investment fund
(a) has no more than 50 beneficial security holders,
(b) does not seek and has never sought to borrow money from the public,
(c) does not distribute and has never distributed its securities to the public,
(d) does not pay or give any remuneration for investment management or administration advice in respect of trades in securities, except normal brokerage fees, and
(e) for the purpose of financing the operations of the investment fund, requires security holders to make contributions in proportion to the value of the securities held by them.
Private investment fund — loan and trust pools
3.21 (1) Subject to subsection (2), the dealer registration requirement does not apply in respect of a trade in a security of an investment fund if the investment fund
(a) is administered by a trust company or trust corporation that is registered or authorized by an enactment of Canada or a jurisdiction of Canada to carry on business in Canada or a jurisdiction of Canada,
(b) has no promoter or investment fund manager other than the trust company or trust corporation referred to in paragraph (a), and
(c) commingles the money of different estates and trusts for the purpose of facilitating investment.
(2) A trust company or trust corporation registered under the laws of Prince Edward Island that is not registered under the Trust and Loan Companies Act (Canada) or under comparable legislation in another jurisdiction of Canada is not a trust company or trust corporation for the purpose of paragraph (1) (a).
(3) The investment fund manager registration requirement does not apply to a trust company or trust corporation that administers an investment fund referred to in subsection (1).
Division 4 - Employee, Executive Officer, Director and Consultant Exemptions
Definitions
3.22 The definitions in Division 4 of Part 2 of this Instrument have the same meaning in this Division.
Interpretation
3.23 (1) In this Division, a person (first person) is considered to control another person (second person) if the first person, directly or indirectly, has the power to direct the management and policies of the second person by virtue of
(a) ownership of or direction over voting securities in the second person,
(b) a written agreement or indenture,
(c) being the general partner or controlling the general partner of the second person, or
(d) being a trustee of the second person.
(2) In this Division, participation in a trade is considered voluntary if
(a) in the case of an employee or the employee's permitted assign, the employee or the employee's permitted assign is not induced to participate in the trade by expectation of employment or continued employment of the employee with the issuer or a related entity of the issuer,
(b) in the case of an executive officer or the executive officer's permitted assign, the executive officer or the executive officer's permitted assign is not induced to participate in the trade by expectation of appointment, employment, continued appointment or continued employment of the executive officer with the issuer or a related entity of the issuer,
(c) in the case of a consultant or the consultant's permitted assign, the consultant or the consultant's permitted assign is not induced to participate in the trade by expectation of engagement of the consultant to provide services or continued engagement of the consultant to provide services to the issuer or a related entity of the issuer, and
(d) in the case of an employee of a consultant, the individual is not induced by the issuer, a related entity of the issuer, or the consultant to participate in the trade by expectation of employment or continued employment with the consultant.
Employee, executive officer, director and consultant
3.24 (1) Subject to section 3.25 [unlisted reporting issuer exception], the dealer registration requirement does not apply in respect of
(a) a trade by an issuer in a security of its own issue, or
(b) a trade by a control person of an issuer in a security of the issuer or in an option to acquire a security of the issuer,
with
(c) an employee, executive officer, director or consultant of the issuer,
(d) an employee, executive officer, director or consultant of a related entity of the issuer, or
(e) a permitted assign of a person referred to in paragraphs (c) or (d)
if participation in the trade is voluntary.
(2) For the purposes of subsection (1), a person referred to in paragraph (c), (d) or (e) includes a trustee, custodian or administrator acting as agent for that person for the purpose of facilitating a trade.
(3) The dealer registration requirement does not apply in respect of an act by a related entity of an issuer in furtherance of a trade referred to in subsection (1).
Unlisted reporting issuer exception
3.25 (1) For the purpose of this section, "unlisted reporting issuer" means a reporting issuer in a jurisdiction of Canada that is not a listed issuer.
(2) Subject to subsection (3), section 3.24 [employee, executive officer, director and consultant] does not apply to a trade to an employee or consultant of the unlisted reporting issuer who is an investor relations person of the issuer, an associated consultant of the issuer, an executive officer of the issuer, a director of the issuer, or a permitted assign of those persons if, after the trade,
(a) the number of securities, calculated on a fully diluted basis, reserved for issuance under options granted to
(i) related persons, exceeds 10% of the outstanding securities of the issuer, or
(ii) a related person, exceeds 5% of the outstanding securities of the issuer, or
(b) the number of securities, calculated on a fully diluted basis, issued within 12 months to
(i) related persons, exceeds 10% of the outstanding securities of the issuer, or
(ii) a related person and the associates of the related person, exceeds 5% of the outstanding securities of the issuer.
(3) Subsection (2) does not apply to a trade if the unlisted reporting issuer
(a) obtains security holder approval, and
(b) before obtaining security holder approval, provides security holders with the following information in sufficient detail to permit security holders to form a reasoned judgment concerning the matter:
(i) the eligibility of employees, executive officers, directors, and consultants to be issued or granted securities as compensation or under a plan;
(ii) the maximum number of securities that may be issued, or in the case of options, the number of securities that may be issued on exercise of the options, as compensation or under a plan;
(iii) particulars relating to any financial assistance or support agreement to be provided to participants by the issuer or any related entity of the issuer to facilitate the purchase of securities as compensation or under a plan, including whether the assistance or support is to be provided on a full-, part-, or non-recourse basis;
(iv) in the case of options, the maximum term and the basis for the determination of the exercise price;
(v) particulars relating to the options or other entitlements to be granted as compensation or under a plan, including transferability;
(vi) the number of votes attaching to securities that, to the issuer's knowledge at the time the information is provided, will not be included for the purpose of determining whether security holder approval has been obtained.
Trades among current or former employees, executive officers, directors, or consultants of non-reporting issuer
3.26 (1) Subject to subsection (2), the dealer registration requirement does not apply in respect of a trade in a security of an issuer by
(a) a current or former employee, executive officer, director, or consultant of the issuer or related entity of the issuer, or
(b) a permitted assign of a person referred to in paragraph (a),
to
(c) an employee, executive officer, director, or consultant of the issuer or a related entity of the issuer, or
(d) a permitted assign of the employee, executive officer, director, or consultant.
(2) The exemption in subsection (1) is only available if
(a) participation in the trade is voluntary,
(b) the issuer of the security is not a reporting issuer in any jurisdiction of Canada, and
(c) the price of the security being traded is established by a generally applicable formula contained in a written agreement among some or all of the security holders of the issuer to which the transferee is or will become a party.
Permitted transferees
3.27 (1) The dealer registration requirement does not apply in respect of a trade in a security of an issuer acquired by a person described in section 3.24 (1) [employee, executive officer, director and consultant] under a plan of the issuer if the trade
(a) is between
(i) a person who is an employee, executive officer, director or consultant of the issuer or a related entity of the issuer, and
(ii) the permitted assign of that person,
or
(b) is between permitted assigns of that person.
(2) The dealer registration requirement does not apply in respect of a trade in a security of an issuer by a trustee, custodian or administrator acting on behalf, or for the benefit, of employees, executive officers, directors or consultants of the issuer or a related entity of the issuer, to
(a) an employee, executive officer, director or consultant of the issuer or a related entity of the issuer, or
(b) a permitted assign of a person referred to in paragraph (a),
if the security was acquired from
(c) an employee, executive officer, director or consultant of the issuer or a related entity of the issuer, or
(d) the permitted assign of a person referred to in paragraph (c).
(3) For the purposes of the exemptions in subsection (1) and paragraphs (2) (c) and (d), all references to employee, executive officer, director, or consultant include a former employee, executive officer, director, or consultant.
Resale — non-reporting issuer
3.28 The dealer registration requirement does not apply in respect of the resale of a security that was acquired under this Division or by a person described in section 3.24 (1) [employee, executive officer, director, and consultant] if the conditions in section 2.14 of National Instrument 45-102 Resale of Securities are satisfied.
Division 5 - Miscellaneous Exemptions
Isolated trade
3.29 The dealer registration requirement does not apply in respect of a trade in a security by a person if the trade is an isolated trade and is not made
(a) by the issuer of the security,
(b) in the course of continued and successive transactions of a like nature, and
(c) by a person whose usual business is trading in securities.
Isolated trade by issuer
3.30 The dealer registration requirement does not apply in respect of a trade by an issuer in a security of its own issue if the trade is an isolated trade and is not made
(a) in the course of continued and successive transactions of a like nature, and
(b) by a person whose usual business is trading in securities.
Dividends and distributions
3.31 (1) The dealer registration requirement does not apply in respect of a trade by an issuer in a security of its own issue to a security holder of the issuer as a dividend or distribution out of earnings, surplus, capital or other sources.
(2) The dealer registration requirement does not apply in respect of a trade by an issuer to a security holder of the issuer in a security of a reporting issuer as an in specie dividend or distribution out of earnings or surplus.
Trade to lender by control person for collateral
3.32 The dealer registration requirement does not apply in respect of a trade in a security of an issuer to a lender, pledgee, mortgagee or other encumbrancer from the holdings of a control person of the issuer for the purpose of giving collateral for a bona fide debt of the control person.
Acting as underwriter
3.33 The dealer registration requirement does not apply in respect of a trade in a security between a person and a purchaser acting as an underwriter or between or among persons acting as underwriters.
Specified debt
3.34 (1) In this section, "permitted supranational agency" means
(a) the African Development Bank, established by the Agreement Establishing the African Development Bank which came into force on September 10, 1964, that Canada became a member of on December 30, 1982;
(b) the Asian Development Bank, established under a resolution adopted by the United Nations Economic and Social Commission for Asia and the Pacific in 1965;
(c) the Caribbean Development Bank, established by the Agreement Establishing the Caribbean Development Bank which came into force on January 26, 1970, as amended, that Canada is a founding member of;
(d) the European Bank for Reconstruction and Development, established by the Agreement Establishing the European Bank for Reconstruction and Development and approved by the European Bank for Reconstruction and Development Agreement Act (Canada), that Canada is a founding member of;
(e) the Inter-American Development Bank, established by the Agreement establishing the Inter-American Development Bank which became effective December 30, 1959, as amended from time to time, that Canada is a member of;
(f) the International Bank for Reconstruction and Development, established by the Agreement for an International Bank for Reconstruction and Development approved by the Bretton Woods and Related Agreements Act (Canada); and
(g) the International Finance Corporation, established by Articles of Agreement approved by the Bretton Woods and Related Agreements Act (Canada).
(2) The dealer registration requirement does not apply in respect of a trade in
(a) a debt security issued by or guaranteed by the Government of Canada or the government of a jurisdiction of Canada,
(b) a debt security issued by or guaranteed by a government of a foreign jurisdiction if the debt security has an approved credit rating from an approved credit rating organization,
(c) a debt security issued by or guaranteed by a municipal corporation in Canada, or secured by or payable out of rates or taxes levied under the law of a jurisdiction of Canada on property in the jurisdiction and collectable by or through the municipality in which the property is situated,
(d) a debt security issued by or guaranteed by a Canadian financial institution or a Schedule III bank, other than debt securities that are subordinate in right of payment to deposits held by the issuer or guarantor of those debt securities,
(e) a debt security issued by the Comité de gestion de la taxe scolaire de l'île de Montréal, or
(f) a debt security issued by or guaranteed by a permitted supranational agency if the debt securities are payable in the currency of Canada or the United States of America.
(3) Paragraphs (2) (a) and (c) do not apply in Ontario.
Short-term debt
3.35 The dealer registration requirement does not apply in respect of a trade in a negotiable promissory note or commercial paper maturing not more than one year from the date of issue, if the note or commercial paper traded
(a) is not convertible or exchangeable into or accompanied by a right to purchase another security other than a security described in this section, and
(b) has an approved credit rating from an approved credit rating organization.
Mortgages
3.36 (1) In this section, "syndicated mortgage" means a mortgage in which 2 or more persons participate, directly or indirectly, as a lender in a debt obligation that is secured by the mortgage.
(2) Except in Ontario, and subject to subsection (3), the dealer registration requirement does not apply in respect of a trade in a mortgage on real property in a jurisdiction of Canada by a person who is registered or licensed, or exempted from registration or licensing, under mortgage brokerage or mortgage dealer legislation of that jurisdiction.
(3) In Alberta, British Columbia, Manitoba, Québec and Saskatchewan, subsection (2) does not apply in respect of a trade in a syndicated mortgage.
Personal property security legislation
3.37 Except in Ontario, the dealer registration requirement does not apply in respect of a trade to a person, other than an individual, in a security evidencing indebtedness secured by or under a security agreement, secured in accordance with personal property security legislation of a jurisdiction of Canada that provides for the granting of security in personal property.
Not for profit issuer
3.38 The dealer registration requirement does not apply in respect of a trade by an issuer that is organized exclusively for educational, benevolent, fraternal, charitable, religious or recreational purposes and not for profit in a security of its own issue if
(a) no part of the net earnings benefit any security holder of the issuer, and
(b) no commission or other remuneration is paid in connection with the sale of the security.
Variable insurance contract
3.39 (1) In this section,
(a) "contract", "group insurance", "insurance company", "life insurance" and "policy" have the respective meanings assigned to them in the legislation for a jurisdiction referenced in Appendix A.
(b) "variable insurance contract" means a contract of life insurance under which the interest of the purchaser is valued for purposes of conversion or surrender by reference to the value of a proportionate interest in a specified portfolio of assets.
(2) The dealer registration requirement does not apply in respect of a trade in a variable insurance contract by an insurance company if the variable insurance contract is
(a) a contract of group insurance,
(b) a whole life insurance contract providing for the payment at maturity of an amount not less than 75% of the premium paid up to age 75 years for a benefit payable at maturity,
(c) an arrangement for the investment of policy dividends and policy proceeds in a separate and distinct fund to which contributions are made only from policy dividends and policy proceeds, or
(d) a variable life annuity.
RRSP/RRIF/TFSA
3.40 The dealer registration requirement does not apply in respect of a trade in a security between
(a) an individual or an associate of the individual, and
(b) a RRSP, RRIF, or TFSA
(i) established for or by the individual, or
(ii) under which the individual is a beneficiary.
Schedule III banks and cooperative associations — evidence of deposit
3.41 Except in Ontario, the dealer registration requirement does not apply in respect of a trade in an evidence of deposit issued by a Schedule III bank or an association governed by the Cooperative Credit Associations Act (Canada).
Conversion, exchange, or exercise
3.42 (1) The dealer registration requirement does not apply in respect of a trade by an issuer if
(a) the issuer trades a security of its own issue to a security holder of the issuer in accordance with the terms and conditions of a security previously issued by that issuer, or
(b) subject to subsection (2), the issuer trades a security of a reporting issuer held by it to a security holder of the issuer in accordance with the terms and conditions of a security previously issued by that issuer.
(2) Subsection (1) (b) does not apply unless
(a) the issuer has given the regulator or, in Québec, the securities regulatory authority, prior written notice stating the date, amount, nature and conditions of the trade, and
(b) the regulator or, in Québec, the securities regulatory authority, has not objected in writing to the trade within 10 days of receipt of the notice referred to in paragraph (a) or, if the regulator or securities regulatory authority objects to the trade, the issuer must deliver to the regulator or securities regulatory authority information relating to the securities that is satisfactory to and accepted by the regulator or securities regulatory authority.
Self-directed registered educational savings plans
3.43 The dealer registration requirement does not apply to a trade in a self-directed RESP to a subscriber if
(a) the trade is made by
(i) a dealing representative of a mutual fund dealer who is acting on behalf of the mutual fund dealer,
(ii) a Canadian financial institution, or,
(iii) in Ontario, a financial intermediary, and
(b) the self-directed RESP restricts its investments in securities to securities in which the person who trades the self-directed RESP is permitted to trade.
Registered dealer
3.44 The dealer registration requirement does not apply in respect of a trade by a person acting solely through an agent who is a registered dealer.
Exchange contract
3.45 (1) In Alberta, British Columbia, Québec and Saskatchewan, the dealer registration requirement does not apply in respect of the following trades in exchange contracts:
(a) a trade by a person acting solely through a registered dealer;
(b) subject to subsection (2) and (3), a trade resulting from an unsolicited order placed with an individual who is not a resident of and does not carry on business in the jurisdiction;
(c) a trade that may occasionally be transacted by employees of a registered dealer if the employees
(i) do not usually trade in exchange contracts, and
(ii) have been designated by the regulator or, in Québec, the securities regulatory authority, as "non-trading" employees, either individually or as a class.
(2) An individual referred to in subsection (1) (b) must not
(a) advertise or engage in promotional activity that is directed to persons in the jurisdiction during the 6 months preceding the trade, and
(b) pay any commission or finder's fee to any person in the jurisdiction in connection with the trade.
(3) Subsection (1) (b) does not apply in Saskatchewan.
Estates, bankruptcies, and liquidations
3.46 The dealer registration requirement does not apply in respect of a trade by a person acting under the authority of
(a) a direction, order or judgment of a court,
(b) a will, or
(c) any law of a jurisdiction
in the course of enforcing legal obligations or administering the affairs of another person.
Employees of registered dealer
3.47 The dealer registration requirement does not apply in respect of a trade by an employee of a registered dealer in a security if the employee does not usually trade in securities and has been designated or accepted by the regulator or, in Québec, the securities regulatory authority, as a "non-trading" employee, either individually or as a class.
Small security holder selling and purchase arrangements
3.48 (1) For the purposes of this section
"exchange" means
(a) TSX Inc.,
(b) the TSX Venture Exchange Inc., or
(c) an exchange that
(i) has a policy that is substantially similar to the policy of the TSX Inc., and
(ii) is designated by the securities regulatory authority for the purpose of this section;
"policy" means
(a) in the case of the TSX Inc., sections 638 and 639 [odd lot selling and purchase arrangements] of the TSX Company Manual as amended from time to time,
(b) in the case of the TSX Venture Exchange Inc., Policy 5.7 Small Shareholder Selling and Purchase Arrangements as amended from time to time, or
(c) in the case of an exchange referred to in paragraph (c) of the definition of "exchange", the rule, policy or other similar instrument of the exchange on small shareholder selling and purchase arrangements.
(2) The dealer registration requirement does not apply in respect of a trade by an issuer or its agent, in securities of the issuer that are listed on an exchange if
(a) the trade is an act in furtherance of participation by the holders of the securities in an arrangement that is in accordance with the policy of that exchange,
(b) the issuer and its agent do not provide advice to a security holder about the security holder's participation in the arrangement referred to in paragraph (a), other than a description of the arrangement's operation, procedures for participation in the arrangement, or both,
(c) the trade is made in accordance with the policy of that exchange, without resort to an exemption from, or variation of, the significant subject matter of the policy, and
(d) at the time of the trade, after giving effect to a purchase under the arrangement, the market value of the maximum number of securities that a security holder is permitted to hold in order to be eligible to participate in the arrangement is not more than $25 000.
(3) For the purposes of subsection (2) (c), an exemption from, or variation of, the maximum number of securities that a security holder is permitted to hold under a policy in order to be eligible to participate in the arrangement provided for in the policy is not an exemption from, or variation of, the significant subject matter of the policy.
Adviser
3.49 The adviser registration requirement does not apply to
(a) the following persons if performance of services as an adviser are incidental to their principal business or occupation:
(i) a Canadian financial institution and a Schedule III bank;
(ii) the Business Development Bank of Canada continued under the Business Development Bank of Canada Act (Canada);
(iii) a société d'entraide économique or the Fédération des sociétés d'entraide économique du Québec governed by the Act respecting the sociétés d'entraide économique (Québec);
(iv) a lawyer, accountant, engineer or teacher, or, in Québec, a notary, if that individual
(A) does not recommend securities of an issuer in which that individual has an interest, and
(B) does not receive remuneration for the performance of services as an adviser separate from remuneration received by that individual for practicing in their professions;
(v) a registered dealer or any partner, officer or employee of a registered dealer,
or
(b) a publisher or a writer for a newspaper, news magazine or business or financial journal or periodical, however delivered, that is of general and regular paid circulation, and only available to subscribers for value, or purchasers of it, if the publisher or writer
(i) gives advice only through the written publication,
(ii) has no interest either directly or indirectly in any of the securities on which that individual gives advice, and
(iii) receives no commission or other consideration for giving the advice other than for acting in that person's capacity as a publisher or writer.
Investment dealer acting as portfolio manager
3.50 (1) Subject to subsection (2), the adviser registration requirement does not apply to a registered investment dealer who manages the investment portfolios of its clients through discretionary authority granted by the clients if the investment dealer is a member of the Investment Industry Regulatory Organization of Canada and the advising activities are conducted in accordance with the rules of the Investment Industry Regulatory Organization of Canada.
(2) Any partner, director, officer or employee of a registered investment dealer referred to in subsection (1) who manages an investment portfolio for the registered investment dealer must be registered under the securities legislation of the jurisdiction to trade in securities.
Section 5.2 (e) (i) (C) BEFORE amended by BC Reg 382/2010, effective January 1, 2011.
(C) all unaudited interim financial statements and the MD&A relating to those financial statements, filed after the date of the AIF but before or on the date of the TSX Venture exchange offering document;
Section 5A.2 (k) (i) (B) BEFORE amended by BC Reg 139/2023, effective June 9.
(B) includes the following statement:
"There is an offering document related to this offering that can be accessed under the issuer's profile at www.sedar.com and at [include website address and provide link, if the issuer has a website]. Prospective investors should read this offering document before making an investment decision.";
Section 6.1 (1) (part) BEFORE amended by BC Reg 161/2016, effective June 30, 2016.
(1) Subject to subsection (2) and section 6.2 [when report not required], issuers that distribute their own securities and underwriters that distribute securities they acquired under section 2.33 must file a report if they make the distribution under one or more of the following exemptions:
Section 6.1 (1) (c) BEFORE amended by BC Reg 63/2023, effective March 2, 2023.
(c) subsection 2.9 (1) or (2) [offering memorandum for Alberta, British Columbia, Manitoba, New Brunswick, Nova Scotia, Newfoundland and Labrador, Northwest Territories, Nunavut, Prince Edward Island, Québec, Saskatchewan and Yukon];
Section 6.2 (2) BEFORE amended by BC Reg 67/2015, effective May 5, 2015.
(2) An investment fund is not required to file a report under section 6.1 [report of exempt distribution] for a distribution under section 2.3 [Accredited investor], section 2.10 [minimum amount] or section 2.19 [additional investment in investment funds] if the investment fund files the report not later than 30 days after the financial year-end of the investment fund.
Section 6.2 (2) BEFORE amended by BC Reg 161/2016, effective June 30, 2016.
(2) An investment fund is not required to file a report under section 6.1 [report of exempt distribution] for a distribution under section 2.3 [accredited investor], section 2.10 [minimum amount investment] or section 2.19 [additional investment in investment funds], or section 73.3 of the Securities Act (Ontario) [accredited investor], if the investment fund files the report not later than 30 days after the financial year-end of the investment fund.
Section 6.3 BEFORE amended by BC Reg 170/2011, effective October 3, 2011.
Required form of report of exempt distribution
6.3 (1) The required form of report under section 6.1 [report of exempt distribution] is Form 45-106F1.
(2) Except in Manitoba, an issuer that makes a distribution under an exemption from a prospectus requirement not provided for in this Instrument is exempt from the requirements in securities legislation to file a report of exempt trade or exempt distribution in the required form if the issuer files a report of exempt distribution in accordance with Form 45-106F1.
Section 6.3 BEFORE amended by BC Reg 161/2016, effective June 30, 2016.
Required form of report of exempt distribution
6.3 (1) The required form of report under section 6.1 [report of exempt distribution] is:
(a) Form 45-106F1 in all jurisdictions except British Columbia; and
(b) Form 45-106F6 in British Columbia.
(2) Except in Manitoba, an issuer that makes a distribution under an exemption from a prospectus requirement not provided for in this Instrument is exempt from the requirements in securities legislation to file a report of exempt trade or exempt distribution in the required form if the issuer files a report of exempt distribution in accordance with Form 45-106F1 or, in British Columbia, Form 45-106F6.
[am. B.C. Reg. 170/2011, s. 1.]
Section 6.4 (1) BEFORE amended by BC Reg 67/2015, effective May 5, 2015.
(1) The required form of offering memorandum under section 2.9 or section 3.9 [offering memorandum] is Form 45-106F2.
Section 6.5 (1) BEFORE amended by BC Reg 382/2010, effective January 1, 2011.
(1) The required form of risk acknowledgement under subsection 2.9 (15) or subsection 3.9 (15) [offering memorandum] is Form 45-106F4.
Section 6.5 (0.1) was added by BC Reg 67/2015, effective May 5, 2015.
Section 6.5 (2) BEFORE amended by BC Reg 67/2015, effective May 5, 2015.
(2) In Saskatchewan, the required form of risk acknowledgement under section 2.6 or section 3.6 [family, friends and business associates] is Form 45-106F5.
Section 6.6 BEFORE repealed by BC Reg 161/2016, effective June 30, 2016.
Use of information in Form 45-106F6 Schedule I — British Columbia
6.6 A person must not, directly or indirectly, use the information in Schedule I of a completed Form 45-106F6, in whole or in part, for any purpose other than research concerning the issuer for the person's own investment purpose.
[en. B.C. Reg. 170/2011, s. 2; am. B.C. Reg. 67/2015, Sch. A, s. 14.]
Section 7.1 (3) BEFORE amended by BC Reg 198/2018, effective October 5, 2018.
(3) Except in Ontario, an exemption referred to in subsection (1) is granted under the statute referred to in Appendix B of National Instrument 14-101 Definitions opposite the name of the local jurisdiction.
Section 8.1.1 BEFORE self-repealed by BC Reg 227/2009, App. s. 2 (a), effective March 27, 2010.
Additional investment — investment funds —
exemption from registration requirement
8.1.1 (1) After March 27, 2010, this section 8.1.1 does not apply in any jurisdiction.
(2) The dealer registration requirement does not apply in respect of a trade by an investment fund in a security of its own issue to a purchaser that initially acquired the security as principal before this Instrument came into force if
(a) the security was initially acquired under any of the following provisions:
(i) in Alberta, sections 86 (e) and 131 (1) (d) of the Securities Act (Alberta) as they existed prior to their repeal by sections 9 (a) and 13 of the Securities Amendment Act (Alberta), 2003 SA c. 32 and sections 66.2 and 122.2 of the Alberta Securities Commission Rules (General);
(ii) in British Columbia, sections 45 (2) (5) and (22), and 74 (2) (4) and (19) of the Securities Act (British Columbia);
(iii) in Manitoba, sections 19 (3) and 58 (1) (a) of the Securities Act (Manitoba) and section 90 of the Securities Regulation MR 491/88R;
(iv) in New Brunswick, section 2.8 of Local Rule 45-501 Prospectus and Registration Exemptions;
(v) in Newfoundland and Labrador, sections 36 (1) (e) and 73 (1) (d) of the Securities Act (Newfoundland and Labrador);
(vi) in Nova Scotia, sections 41 (1) (e) and 77 (1) (d) of the Securities Act (Nova Scotia);
(vii) in Northwest Territories, section 3 (c) and (z) of Blanket Order No. 1;
(viii) in Nunavut, section 3 (c) and (z) of Blanket Order No. 1;
(ix) in Ontario, sections 35 (1) 5 and 72 (1) (d) of the Securities Act (Ontario) and section 2.12 of Ontario Securities Commission Rule 45-501 Exempt Distributions that came into force on January 12, 2004;
(x) in Prince Edward Island, section 2 (3) (d) of the Securities Act (Prince Edward Island) and Prince Edward Island Local Rule 45-512 -Exempt Distributions - Exemption for Purchase of Mutual Fund Securities;
(xi) in Québec, section 51 and 155.1 (2) of the Securities Act (Québec);
(xii) in Saskatchewan, sections 39 (1) (e) and 81 (1) (d) of the The Securities Act, 1988 (Saskatchewan),
(b) the trade is for a security of the same class or series as the initial trade, and
(c) the security holder, as at the date of the trade, holds securities of the investment fund that have
(i) an acquisition cost of not less than the minimum amount prescribed by securities legislation referred to in paragraph (a) under which the initial trade was conducted, or
(ii) a net asset value of not less than the minimum amount prescribed by securities legislation referred to in paragraph (a) under which the initial trade was conducted.
Section 8.3.1 BEFORE self-repealed by BC Reg 227/2009, App. s. 2 (a) effective March 27, 2010.
Transition — Closely-held issuer — exemption from registration requirement
8.3.1 (1) After March 27, 2010, this section 8.3.1 does not apply in any jurisdiction.
(2) In this section,
"2001 OSC Rule 45-501" means the Ontario Securities Commission Rule 45-501 Exempt Distributions that came into force on November 30, 2001;
"2004 OSC Rule 45-501" means the Ontario Securities Commission Rule 45-501 Exempt Distributions that came into force on January 12, 2004;
"closely-held issuer" has the same meaning as in 2004 OSC Rule 45-501.
(3) The dealer registration requirement does not apply in respect of a trade in a security that was previously distributed by a closely-held issuer under section 2.1 of 2001 OSC Rule 45-501 or under section 2.1 of 2004 OSC Rule 45-501 to a person who purchases the security as principal and is
(a) a director, officer, employee, founder or control person of the issuer,
(b) a spouse, parent, grandparent, brother, sister or child of a director, executive officer, founder or control person of the issuer,
(c) a parent, grandparent, brother, sister or child of the spouse of a director, executive officer, founder or control person of the issuer,
(d) a close personal friend of a director, executive officer, founder or control person of the issuer,
(e) a close business associate of a director, executive officer, founder or control person of the issuer,
(f) a spouse, parent, grandparent, brother, sister or child of the selling security holder or of the selling security holder's spouse,
(g) a security holder of the issuer,
(h) an accredited investor,
(i) a person of which a majority of the voting securities are beneficially owned by, or a majority of the directors are, persons described in paragraphs (a) to (h),
(j) a trust or estate of which all of the beneficiaries or a majority of the trustees or executors are persons described in paragraphs (a) to (h), or
(k) a person that is not the public.
Section 8.4 BEFORE amended by BC Reg 67/2015, effective May 5, 2015.
Transition — reinvestment plan
8.4 Despite subsection 2.2(5) or 3.2(5), if an issuer's reinvestment plan was established before September 28, 2009, and provides for the distribution of a security that is of a different class or series than the class or series of the security to which the dividend or distribution is attributable, the issuer or the trustee, custodian or administrator of the plan must provide to each person who is already a participant the description of the material attributes and characteristics of the securities traded under the plan or notice of a source from which the participant can obtain the information not later than 140 days after the next financial year end of the issuer ending on or after September 28, 2009.
Form 45-106F1, paragraph 1 BEFORE amended by BC Reg 170/2011, effective October 3, 2011.
This is the form required under section 6.1 of National Instrument 45-106 for a report of exempt distribution.
Form 45-106F1, Instruction 2 BEFORE amended by BC Reg 170/2011, effective October 3, 2011.
2. File this report and the applicable fee in each jurisdiction in which a distribution is made at the addresses listed at the end of this report. If the distribution is made in more than one jurisdiction, the issuer/underwriter must complete a single report identifying all purchasers and file that report in each of the jurisdictions in which the distribution is made. Filing fees associated with the filing of the report are not affected by identifying all purchasers in a single report.
Form 45-106F1, Instruction 2.1 was added by BC Reg 170/2011, effective October 3, 2011.
Form 45-106F1, under Securities Regulatory Authorities and Regulators information for BC BEFORE deleted by BC Reg 170/2011, effective October 3, 2011.
British Columbia Securities Commission
P.O. Box 10142, Pacific Centre
701 West Georgia Street
Vancouver, British Columbia V7Y 1L2
Telephone: (604) 899-6500
Toll free in British Columbia and Alberta 1-800-373-6393
Facsimile: (604) 899-6506
Form 45-106F1, item 3 BEFORE amended by BC Reg 66/2015, effective May 5, 2015.
Item 3:
Indicate the industry of the issuer by checking the appropriate box next to one of the industries listed below.
| [ ] Bio-tech | Mining | |
| Financial Services | [ ] exploration/development | |
| [ ] investment companies and funds | [ ] production | |
| [ ] mortgage investment companies | [ ] Oil and gas | |
| [ ] Forestry | [ ] Real estate | |
| [ ] Hi-tech | [ ] Utilities | |
| [ ] Industrial | [ ] Other (describe) .................................. |
Form 45-106F1 BEFORE amended by BC Reg 161/2016, effective June 30, 2016.
[am. B.C. Regs. 170/2011, ss. 3 to 5; 66/2015, Sch. B, s. 10.]
Report of Exempt Distribution
Except in British Columbia, this is the form required under section 6.1 of National Instrument 45-106 for a report of exempt distribution. In British Columbia, the required form is Form 45-106F6.
Issuer/underwriter information
Item 1:
State the full name of the issuer of the security distributed and the address and telephone number of its head office. If the issuer of the security distributed is an investment fund, state the name of the fund as the issuer, and provide the full name of the manager of the investment fund and the address and telephone number of the head office of the manager. Include the former name of the issuer if its name has changed since last report. If an underwriter is completing this form, also state the full name of the underwriter and the address and telephone number of the head office of the underwriter.
Item 2:
State whether the issuer is or is not a reporting issuer and, if reporting, each of the jurisdictions in which it is reporting.
Item 3:
Indicate the industry of the issuer by checking the appropriate box next to one of the industries listed below.
| [ ] Bio-tech | Mining | |
| Financial Services | [ ] exploration/development | |
| [ ] investment companies and funds | [ ] production | |
| [ ] mortgage investment companies | [ ] Oil and gas | |
| [ ] securitized products issuers | [ ] Real estate | |
| [ ] Forestry | [ ] Utilities | |
| [ ] Hi-tech | [ ] Other (describe) | |
| [ ] Industrial | ........................................... |
Details of distribution
Item 4:
Complete Schedule I to this report. Schedule I is designed to assist in completing the remainder of this report.
Item 5:
State the distribution date. If the report is being filed for securities distributed on more than one distribution date, state all distribution dates.
Item 6:
For each security distributed:
(a) describe the type of security;
(b) state the total number of securities distributed. If the security is convertible or exchangeable, describe the type of underlying security, the terms of exercise or conversion and any expiry date; and
(c) state the exemption(s) relied on.
Item 7:
Complete the following table for each Canadian and foreign jurisdiction where purchasers of the securities reside. Do not include in this table, securities issued as payment for commissions or finder's fees disclosed under item 8, below.
| Each jurisdiction where purchasers reside | Number of purchasers | Price per security (Canadian $)1 | Total dollar value raised from purchasers in the jurisdiction (Canadian $) |
| Total number of purchasers | |||
| Total dollar value of distribution in all jurisdictions (Canadian $) | |||
Note 1: If securities are issued at different prices list the highest and lowest price the securities were sold for.
Commissions and finder's fees
Item 8:
Complete the following table by providing information for each person who has received or will receive compensation in connection with the distribution(s). Compensation includes commissions, discounts or other fees or payments of a similar nature. Do not include payments for services incidental to the distribution, such as clerical, printing, legal or accounting services.
If the securities being issued as compensation are or include convertible securities, such as warrants or options, please add a footnote describing the terms of the convertible securities, including the term and exercise price. Do not include the exercise price of any convertible security in the total dollar value of the compensation unless the securities have been converted.
| Compensation paid or to be paid (cash and/or securities) | |||||
| Securities | |||||
| Full name and address of the person being compensated | Cash (Canadian $) | Number and type of securities issued | Price per security | Exemption relied on and date of distribution | Total dollar value of compensation (Canadian $) |
Item 9:
If a distribution is made in Ontario, please include the attached "Authorization of Indirect Collection of Personal Information for Distributions in Ontario". The "Authorization of Indirect Collection of Personal Information for Distributions in Ontario" is only required to be filed with the Ontario Securities Commission.
Certificate
On behalf of the [issuer/underwriter], I certify that the statements made in this report are true.
Date: ............................................................................................
.....................................................................................................
Name of [issuer/underwriter] (please print)
....................................................................................................
Print name, title and telephone number of person signing
....................................................................................................
Signature
Instruction
The person filing the form must complete the bracketed information by deleting the inappropriate word.
Item 10:
State the name, title and telephone number of the person who may be contacted with respect to any questions regarding the contents of this report, if different than the person signing the certificate.
IT IS AN OFFENCE TO MAKE A MISREPRESENTATION IN THIS REPORT.
Notice — Collection and use of personal information
The personal information required under this form is collected on behalf of and used by the securities regulatory authorities or, where applicable, the regulators under the authority granted in securities legislation for the purposes of the administration and enforcement of the securities legislation.
If you have any questions about the collection and use of this information, contact the securities regulatory authority or, where applicable, the regulator in the jurisdiction(s) where the form is filed, at the address(es) listed at the end of this report.
Authorization of indirect collection of personal information for distributions in Ontario
The attached Schedule I contains personal information of purchasers and details of the distribution(s). The issuer/underwriter hereby confirms that each purchaser listed in Schedule I of this report who is resident in Ontario
(a) has been notified by the issuer/underwriter
(i) of the delivery to the Ontario Securities Commission of the information pertaining to the person as set out in Schedule I,
(ii) that this information is being collected indirectly by the Ontario Securities Commission under the authority granted to it in securities legislation,
(iii) that this information is being collected for the purposes of the administration and enforcement of the securities legislation of Ontario, and
(iv) of the title, business address and business telephone number of the public official in Ontario, as set out in this report, who can answer questions about the Ontario Securities Commission's indirect collection of the information, and
(b) has authorized the indirect collection of the information by the Ontario Securities Commission.
Schedule I
Complete the following table.
For reports filed under subsection 6.1(1) (j) (TSX Venture Exchange offering) of National Instrument 45-106 the following table only needs to list the total number of purchasers by jurisdiction instead of including the name, residential address and telephone number of each purchaser.
Do not include in this table, securities issued as payment of commissions or finder's fees disclosed under item 8 of this report.
The information in this schedule will not be placed on the public file of any securities regulatory authority or, where applicable, regulator. However, freedom of information legislation in certain jurisdictions may require the securities regulatory authority or, where applicable, regulator to make this information available if requested.
| Full name, residential address and telephone number of purchaser | Number and type of securities purchased | Total purchase price (Canadian $) | Exemption relied on | Date of distribution |
Instructions:
1. References to a purchaser in this report are to the beneficial owner of the securities.
2. Except in British Columbia, file this report and the applicable fee in each jurisdiction in which a distribution is made at the addresses listed at the end of this report. If the distribution is made in more than one jurisdiction, the issuer/underwriter must complete a single report identifying all purchasers and file that report in each of the jurisdictions in which the distribution is made. Filing fees associated with the filing of the report are not affected by identifying all purchasers in a single report.
2.1 In British Columbia, file Form 45-106F6 and pay the applicable fee. If the distribution is made in British Columbia and one or more other jurisdictions, file Form 45-106F6 in British Columbia and file this form, following instruction 2, in the other applicable jurisdictions.
3. If the space provided for any answer is insufficient, additional sheets may be used and must be cross-referenced to the relevant part and properly identified and signed by the person whose signature appears on the report.
4. One report may be used for multiple distributions occurring within 10 days of each other provided that the report is filed on or before the 10th day following the first of such distributions.
5. The information in items 5, 6, and 7 must reconcile with the information in Schedule I of Form 45-106F1. All dollar amounts must be in Canadian dollars.
6. In order to determine the applicable fee, consult the securities legislation of each jurisdiction in which a distribution is made.
7. This report must be filed in English or in French. In Québec, the issuer/underwriter must comply with linguistic obligations and rights prescribed by Québec law.
Securities Regulatory Authorities and Regulators
Alberta Securities Commission
4th Floor, 300 — 5th Avenue SW
Calgary, Alberta T2P 3C4
Telephone: (403) 297-6454
Facsimile: (403) 297-6156
Saskatchewan Financial Services Commission
Suite 601 — 1919 Saskatchewan Drive
Regina, Saskatchewan S4P 4H2
Telephone: (306) 787-5879
Facsimile: (306) 787-5899
The Manitoba Securities Commission
500 — 400 St Mary Avenue
Winnipeg, Manitoba R3C 4K5
Telephone: (204) 945-2548
Toll free in Manitoba: 1-800-655-5244
Facsimile: (204) 945-0330
Ontario Securities Commission
Suite 1903, Box 55
20 Queen Street West
Toronto, Ontario M5H 3S8
Telephone: (416) 593- 8314
Toll free in Canada: 1-877-785-1555
Facsimile: (416) 593-8122
Public official contact regarding indirect collection of information:
Administrative Support Clerk
Telephone: (416) 593-3684
Autorité des marchés financiers
800, Square Victoria, 22e étage
C.P. 246, Tour de la Bourse
Montréal, Québec H4Z 1G3
Telephone: (514) 395-0337
Or 1-877-525-0337
Facsimile: (514) 873-6155 (For filing purposes only)
Facsimile: (514) 864-6381 (For privacy requests only)
New Brunswick Securities Commission
85 Charlotte Street, Suite 300
Saint John, New Brunswick E2L 2J2
Telephone: (506) 658-3060
Toll free in New Brunswick: 1-866-933-2222
Facsimile: (506) 658-3059
Nova Scotia Securities Commission
2nd Floor, Joseph Howe Building
1690 Hollis Street
Halifax, Nova Scotia B3J 3J9
Telephone: (902) 424-7768
Facsimile: (902) 424-4625
Prince Edward Island Securities Office
95 Rochford Street, 4th Floor Shaw Building
P.O. Box 2000
Charlottetown, Prince Edward Island C1A 7N8
Telephone: (902) 368-4569
Facsimile: (902) 368-5283
Government of Newfoundland and Labrador
Financial Services Regulation Division
P.O. Box 8700
Confederation Building
2nd Floor, West Block
Prince Philip Drive
St. John's, NFLD A1B 4J6
Attention: Director of Securities
Telephone: (709) 729-4189
Facsimile: (709) 729-6187
Government of Yukon
Department of Community Services
Law Centre, 3rd Floor
2130 Second Avenue
Whitehorse, YT Y1A 5H6
Telephone: (867) 667-5314
Facsimile: (867) 393-6251
Government of Northwest Territories
Government of the Northwest Territories
Office of the Superintendent of Securities
P.O. Box 1320
Yellowknife, NT X1A 2L9
Attention: Deputy Superintendent, Legal & Enforcement
Telephone: (867) 920-8984
Facsimile: (867) 873-0243
Government of Nunavut
Department of Justice
Legal Registries Division
P.O. Box 1000, Station 570
1st Floor, Brown Building
Iqaluit, Nunavut X0A 0H0
Telephone: (867) 975-6590
Facsimile: (867) 975-6594
Form 45-106F1 BEFORE re-enacted by BC Reg 198/2018, effective October 5, 2018.
[en. B.C. Reg. 161/2016, s. 8.]
Report of Exempt Distribution
| A. General Instructions |
1. Filing instructions
An issuer or underwriter that is required to file a report of exempt distribution and pay the applicable fee must file the report and pay the fee as follows:
• In British Columbia — through BCSC eServices at http://www.bcsc.bc.ca.
• In Ontario — through the online e-form available at http://www.osc.gov.on.ca.
• In all other jurisdictions — through the System for Electronic Document Analysis and Retrieval (SEDAR) in accordance with National Instrument 13-101 System for Electronic Document Analysis and Retrieval (SEDAR) if required, or otherwise with the securities regulatory authority or regulator, as applicable, in the applicable jurisdictions at the addresses listed at the end of this form.
The issuer or underwriter must file the report in a jurisdiction of Canada if the distribution occurs in the jurisdiction. If a distribution is made in more than one jurisdiction of Canada, the issuer or underwriter may satisfy its obligation to file the report by completing a single report identifying all purchasers, and file the report in each jurisdiction of Canada in which the distribution occurs. Filing fees payable in a particular jurisdiction are not affected by identifying all purchasers in a single report.
In order to determine the applicable fee in a particular jurisdiction of Canada, consult the securities legislation of that jurisdiction.
2. Issuers located outside of Canada
If an issuer located outside of Canada determines that a distribution has taken place in a jurisdiction of Canada, include information about purchasers resident in that jurisdiction only.
3. Multiple distributions
An issuer may use one report for multiple distributions occurring within 10 days of each other, provided the report is filed on or before the 10th day following the first distribution date. However, an investment fund issuer that is relying on the exemptions set out in subsection 6.2 (2) of NI 45-106 may file the report annually in accordance with that subsection.
4. References to purchaser
References to a purchaser in this form are to the beneficial owner of the securities.
However, if a trust company, trust corporation, or registered adviser described in paragraph (p) or (q) of the definition of "accredited investor" in section 1.1 of NI 45-106 has purchased the securities on behalf of a fully managed account, provide information about the trust company, trust corporation or registered adviser only; do not include information about the beneficial owner of the fully managed account.
5. References to issuer
References to "issuer" in this form include an investment fund issuer and a non-investment fund issuer, unless otherwise specified.
6. Investment fund issuers
If the issuer is an investment fund, complete Items 1-3, 6-8, 10, 11 and Schedule 1 of this form.
7. Mortgage investment entities
If the issuer is a mortgage investment entity, complete all applicable items of this form other than Item 6.
8. Language
The report must be filed in English or in French. In Québec, the issuer or underwriter must comply with linguistic rights and obligations prescribed by Québec law.
9. Currency
All dollar amounts in the report must be in Canadian dollars. If the distribution was made or any compensation was paid in connection with the distribution in a foreign currency, convert the currency to Canadian dollars using the daily noon exchange rate of the Bank of Canada on the distribution date. If the distribution date occurs on a date when the daily noon exchange rate of the Bank of Canada is not available, convert the currency to Canadian dollars using the most recent closing exchange rate of the Bank of Canada available before the distribution date. For investment funds in continuous distribution, convert the currency to Canadian dollars using the average daily noon exchange rate of the Bank of Canada for the distribution period covered by the report.
If the Bank of Canada no longer publishes a daily noon exchange rate and closing exchange rate, convert foreign currency using the daily single indicative exchange rate of the Bank of Canada in the same manner described in each of the three scenarios above.
If the distribution was not made in Canadian dollars, provide the foreign currency in Item 7 (a) of the report.
10. Date of information in report
Unless otherwise indicated in this form, provide the information as of the distribution end date.
11. Date of formation
For the date of formation, provide the date on which the issuer was incorporated, continued or organized (formed). If the issuer resulted from an amalgamation, arrangement, merger or reorganization, provide the date of the most recent amalgamation, arrangement, merger or reorganization.
12. Security codes
Wherever this form requires disclosure of the type of security, use the following security codes:
| Security code | Security type |
| BND | Bonds |
| CER | Certificates (including pass-through certificates, trust certificates) |
| CMS | Common shares |
| CVD | Convertible debentures |
| CVN | Convertible notes |
| CVP | Convertible preferred shares |
| DEB | Debentures |
| FTS | Flow-through shares |
| FTU | Flow-through units |
| LPU | Limited partnership units |
| NOT | Notes (include all types of notes except convertible notes) |
| OPT | Options |
| PRS | Preferred shares |
| RTS | Rights |
| UBS | Units of bundled securities (such as a unit consisting of a common share and a warrant) |
| UNT | Units (exclude units of bundled securities, include trust units and mutual fund units) |
| WNT | Warrants |
| OTH | Other securities not included above (if selected, provide details of security type in Item 7d) |
| B. Terms used in the form |
1. For the purposes of this form:
"designated foreign jurisdiction" means Australia, France, Germany, Hong Kong, Italy, Japan, Mexico, the Netherlands, New Zealand, Singapore, South Africa, Spain, Sweden, Switzerland or the United Kingdom of Great Britain and Northern Ireland;
"eligible foreign security" means a security offered primarily in a foreign jurisdiction as part of a distribution of securities in either of the following circumstances:
(a) the security is issued by an issuer
(i) that is incorporated, formed or created under the laws of a foreign jurisdiction,
(ii) that is not a reporting issuer in a jurisdiction of Canada,
(iii) that has its head office outside of Canada, and
(iv) that has a majority of the executive officers and a majority of the directors ordinarily resident outside of Canada;
(b) the security is issued or guaranteed by the government of a foreign jurisdiction;
"foreign public issuer" means an issuer where any of the following apply:
(a) the issuer has a class of securities registered under section 12 of the 1934 Act;
(b) the issuer is required to file reports under section 15 (d) of the 1934 Act;
(c) the issuer is required to provide disclosure relating to the issuer and the trading in its securities to the public, to security holders of the issuer or to a regulatory authority and that disclosure is publicly available in a designated foreign jurisdiction;
"legal entity identifier" means a unique identification code assigned to the person
(a) in accordance with the standards set by the Global Legal Entity Identifier System, or
(b) that complies with the standards established by the Legal Entity Identifier Regulatory Oversight Committee for pre-legal entity identifiers;
"permitted client" has the same meaning as in National Instrument 31-103 Registration Requirements, Exemptions and Ongoing Registrant Obligations;
"SEDAR profile" means a filer profile required under section 5.1 of National Instrument 13-101 System for Electronic Document Analysis and Retrieval (SEDAR).
2. For the purposes of this form, a person is connected with an issuer or an investment fund manager if either of the following applies:
(a) one of them is controlled by the other;
(b) each of them is controlled by the same person.
Form 45-106F1 Report of Exempt Distribution
IT IS AN OFFENCE TO MAKE A MISREPRESENTATION IN THIS REPORT










| Notice — Collection and use of personal information |
| The personal information required under this form is collected on behalf of and used by the securities regulatory authority or regulator under the authority granted in securities legislation for the purposes of the administration and enforcement of the securities legislation. If you have any questions about the collection and use of this information, contact the securities regulatory authority or regulator in the local jurisdiction(s) where the report is filed, at the address(es) listed at the end of this form. The attached Schedules 1 and 2 may contain personal information of individuals and details of the distribution(s). The information in Schedules 1 and 2 will not be placed on the public file of any securities regulatory authority or regulator. However, freedom of information legislation may require the securities regulatory authority or regulator to make this information available if requested. By signing this report, the issuer/underwriter confirms that each individual listed in Schedule 1 or 2 of the report who is resident in a jurisdiction of Canada: a) has been notified by the issuer/underwriter of the delivery to the securities regulatory authority or regulator of the information pertaining to the individual as set out in Schedule 1 or 2, that this information is being collected by the securities regulatory authority or regulator under the authority granted in securities legislation, that this information is being collected for the purposes of the administration and enforcement of the securities legislation of the local jurisdiction, and of the title, business address and business telephone number of the public official in the local jurisdiction, as set out in this form, who can answer questions about the security regulatory authority's or regulator's indirect collection of the information, and b) has authorized the indirect collection of the information by the securities regulatory authority or regulator. |
| Schedule 1 to Form 45-106F1 (Confidential Purchaser Information) |
Schedule 1 must be filed in the format of an Excel spreadsheet in a form acceptable to the securities regulatory authority or regulator.
The information in this schedule will not be placed on the public file of any securities regulatory authority or regulator. However, freedom of information legislation may require the securities regulatory authority or regulator to make this information available if requested.
a) General information (provide only once)
1. Name of issuer
2. Certification date (YYYY-MM-DD)
Provide the following information for each purchaser that participated in the distribution. For each purchaser, create separate entries for each distribution date, security type and exemption relied on for the distribution.
b) Legal name of purchaser
1. Family name
2. First given name
3. Secondary given names
4. Full legal name of non-individual (if applicable)
c) Contact information of purchaser
1. Residential street address
2. Municipality
3. Province/State
4. Postal code/Zip code
5. Country
6. Telephone number
7. Email address (if available)
d) Details of securities purchased
1. Date of distribution (YYYY-MM-DD)
2. Number of securities
3. Security code
4. Amount paid (Canadian $)
e) Details of exemption relied on
1. Rule, section and subsection number
2. If relying on section 2.3 [accredited investor] of NI 45-106, provide the paragraph number in the definition of "accredited investor" in section 1.1 of NI 45-106 that applies to the purchaser. (select only one)
3. If relying on section 2.5 [family, friends and business associates] of NI 45-106, provide:
a. the paragraph number in subsection 2.5 (1) that applies to the purchaser (select only one); and
b. if relying on paragraphs 2.5 (1) (b) to (i), provide:
i. the name of the director, executive officer, control person, or founder of the issuer or affiliate of the issuer claiming a relationship to the purchaser. (Note: if Item 9 (a) has been completed, the name of the director, executive officer or control person must be consistent with the name provided in Item 9 and Schedule 2.)
ii. the position of the director, executive officer, control person, or founder of the issuer or affiliate of the issuer claiming a relationship to the purchaser.
4. If relying on subsection 2.9 (2) or, in Alberta, New Brunswick, Nova Scotia, Ontario, Québec, or Saskatchewan, subsection 2.9 (2.1) [offering memorandum] of NI 45-106 and the purchaser is an eligible investor, provide the paragraph number in the definition of "eligible investor" in section 1.1 of NI 45-106 that applies to the purchaser. (select only one)
f) Other information
1. Is the purchaser a registrant? (Y/N)
2. Is the purchaser an insider of the issuer? (Y/N) (not applicable if the issuer is an investment fund)
3. Full legal name of person compensated for distribution to purchaser. If the person compensated is a registered firm, provide the firm NRD number only. (Note: the name must be consistent with name of the person compensated as provided in Item 8.)
Instructions for Schedule 1
Any securities issued as payment for commissions or finder's fees must be disclosed in Item 8 of the report, not in Schedule 1.
Details of exemption relied on — When identifying the exemption the issuer relied on for the distribution to each purchaser, refer to the rule, statute or instrument in which the exemption is provided and identify the specific section and, if applicable, subsection or paragraph. For example, if the issuer is relying on an exemption in a National Instrument, refer to the number of the National Instrument, and the subsection or paragraph number of the specific provision. If the issuer is relying on an exemption in a local blanket order, refer to the blanket order by number.
For exemptions that require the purchaser to meet certain characteristics, such as the exemption in section 2.3 [accredited investor], section 2.5 [family, friends and business associates] or subsection 2.9 (2) or, in Alberta, New Brunswick, Nova Scotia, Ontario, Québec, or Saskatchewan, subsection 2.9 (2.1) [offering memorandum] of NI 45-106, provide the specific paragraph in the definition of those terms that applies to each purchaser.
Reports filed under paragraph 6.1 (1) (j) [TSX Venture Exchange offering] of NI 45-106 — For reports filed under paragraph 6.1 (1) (j) [TSX Venture Exchange offering] of NI 45-106, Schedule 1 needs to list the total number of purchasers by jurisdiction only, and is not required to include the name, residential address, telephone number or email address of the purchasers.
| Schedule 2 to Form 45-106F1 (Confidential Director, Executive Officer, Promoter and Control Person Information) |
Schedule 2 must be filed in the format of an Excel spreadsheet in a form acceptable to the securities regulatory authority or regulator.
Complete the following only if Item 9 (a) is required to be completed. This schedule also requires information to be provided about control persons of the issuer at the time of the distribution.
The information in this schedule will not be placed on the public file of any securities regulatory authority or regulator. However, freedom of information legislation may require the securities regulatory authority or regulator to make this information available if requested.
a) General information (provide only once)
1. Name of issuer
2. Certification date (YYYY-MM-DD)
b) Business contact information of Chief Executive Officer (if not provided in Item 10 or 11 of report)
1. Email address
2. Telephone number
c) Residential address of directors, executive officers, promoters and control persons of the issuer
Provide the following information for each individual who is a director, executive officer, promoter or control person of the issuer at the time of the distribution. If the promoter or control person is not an individual, provide the following information for each director and executive officer of the promoter and control person. (Note: names of directors, executive officers and promoters must be consistent with the information in Item 9 of the report, if required to be provided.)
1. Family name
2. First given name
3. Secondary given names
4. Residential street address
5. Municipality
6. Province/State
7. Postal code/Zip code
8. Country
9. Indicate whether the individual is a control person, or a director and/or executive officer of a control person (if applicable)
d) Non-individual control persons (if applicable)
If the control person is not an individual, provide the following information. For locations within Canada, state the province or territory, otherwise state the country.
1. Organization or company name
2. Province or country of business location
| Questions:̱ | |
| Refer any questions to: | |
| Alberta Securities Commission Suite 600, 250 — 5th Street SW Calgary, Alberta T2P 0R4 Telephone: (403) 297-6454 Toll free in Canada: 1-877-355-0585 Facsimile: (403) 297-2082 | Government of Nunavut Department of Justice Legal Registries Division P.O. Box 1000, Station 570 1st Floor, Brown Building Iqaluit, Nunavut X0A 0H0 Telephone: (867) 975-6590 Facsimile: (867) 975-6594 |
| British Columbia Securities Commission P.O. Box 10142, Pacific Centre 701 West Georgia Street Vancouver, British Columbia V7Y 1L2 Inquiries: (604) 899-6854 Toll free in Canada: 1-800-373-6393 Facsimile: (604) 899-6581 Email: inquiries@bcsc.bc.ca | Ontario Securities Commission 20 Queen Street West, 22nd Floor Toronto, Ontario M5H 3S8 Telephone: (416) 593-8314 Toll free in Canada: 1-877-785-1555 Facsimile: (416) 593-8122 Email: exemptmarketfilings@osc.gov.on.ca Public official contact regarding indirect collection of information: Inquiries Officer |
| The Manitoba Securities Commission 500 — 400 St. Mary Avenue Winnipeg, Manitoba R3C 4K5 Telephone: (204) 945-2548 Toll free in Manitoba 1-800-655-5244 Facsimile: (204) 945-0330 | Prince Edward Island Securities Office 95 Rochford Street, 4th Floor Shaw Building P.O. Box 2000 Charlottetown, Prince Edward Island C1A 7N8 Telephone: (902) 368-4569 Facsimile: (902) 368-5283 |
| Financial and Consumer Services Commission (New Brunswick) 85 Charlotte Street, Suite 300 Saint John, New Brunswick E2L 2J2 Telephone: (506) 658-3060 Toll free in Canada: 1-866-933-2222 Facsimile: (506) 658-3059 Email: info@fcnb.ca | Autorité des marchés financiers 800, Square Victoria, 22e étage C.P. 246, Tour de la Bourse Montréal, Québec H4Z 1G3 Telephone: (514) 395-0337 or 1-877-525-0337 Facsimile: (514) 873-6155 (For filing purposes only) Facsimile: (514) 864-6381 (For privacy requests only) Email: financementdessocietes@lautorite.qc.ca (For corporate finance issuers); fonds_dinvestissement@lautorite.qc.ca (For investment fund issuers) |
| Government of Newfoundland and Labrador Financial Services Regulation Division P.O. Box 8700 Confederation Building 2nd Floor, West Block Prince Philip Drive St. John's, Newfoundland and Labrador A1B 4J6 Attention: Director of Securities Telephone: (709) 729-4189 Facsimile: (709) 729-6187 | Financial and Consumer Affairs Authority of Saskatchewan Suite 601 — 1919 Saskatchewan Drive Regina, Saskatchewan S4P 4H2 Telephone: (306) 787-5879 Facsimile: (306) 787-5899 |
| Government of the Northwest Territories Office of the Superintendent of Securities P.O. Box 1320 Yellowknife, Northwest Territories X1A 2L9 Attention: Deputy Superintendent, Legal & Enforcement Telephone: (867) 920-8984 Facsimile: (867) 873-0243 | Government of Yukon Department of Community Services Law Centre, 3rd Floor 2130 Second Avenue Whitehorse, Yukon Y1A 5H6 Telephone: (867) 667-5314 Facsimile: (867) 393-6251 |
| Nova Scotia Securities Commission Suite 400, 5251 Duke Street Duke Tower P.O. Box 458 Halifax, Nova Scotia B3J 2P8 Telephone: (902) 424-7768 Facsimile: (902) 424-4625 |
Form 45-106F1 BEFORE re-enacted by BC Reg 139/2023, effective June 9, 2023.
[en. B.C. Reg. 198/2018, s. (c).]
















Form 45-106F2, item 1.1 table, line G BEFORE amended by BC Reg 382/2010, effective January 1, 2011.
| G. | Total: H = (D+E) - F | $ | $ |
Form 45-106F2, item 4.2 BEFORE amended by BC Reg 382/2010, effective January 1, 2011.
4.2 Long Term Debt — Using the following table, provide the required information about outstanding long term debt of the issuer. Disclose the current portion of the long-term debt due within 12 months of the date of the offering memorandum. If the securities being offered are debt securities, add a column to the table disclosing the amount of debt that will be outstanding after both the minimum and maximum offering. If the debt is owed to a related party, indicate that in a note to the table and identify the related party.
Form 45-106F2, item 8(b) item BEFORE amended by BC Reg 382/2010, effective January 1, 2011.
• no history or a limited history of sales or profits,
Form 45-106F2, under "Instructions for Complete Form 45-106F2" Part B, item 1 BEFORE amended by BC Reg 382/2010, effective January 1, 2011.
1. All financial statements, operating statements for an oil and gas property that is an acquired business or a business to be acquired, and summarized financial information as to the assets, liabilities and results of operations of a business relating to an acquisition that is, or will be, an investment accounted for by the issuer using the equity method included in the offering memorandum must comply with National Instrument 52-107 Acceptable Accounting Principles, Auditing Standards and Reporting Currency (NI 52-107), regardless of whether the issuer is a reporting issuer or not. Under NI 52-107, a non-qualifying issuer that uses Canadian GAAP cannot use differential reporting as set out in the Handbook.
Form 45-106F2, under "Instructions for Complete Form 45-106F2" Part B, item 3 (a) and (b) BEFORE amended by BC Reg 382/2010, effective January 1, 2011.
(a) an income statement, a statement of retained earnings and a cash flow statement for the period from inception to a date not more than 90 days before the date of the offering memorandum,
(b) a balance sheet as at the end of the period referred to in paragraph (a), and
Form 45-106F2, under "Instructions for Complete Form 45-106F2" Part B, item 4 BEFORE amended by BC Reg 382/2010, effective January 1, 2011.
4. If the issuer has completed one or more financial years, include in the offering memorandum annual financial statements of the issuer consisting of:
(a) an income statement, a statement of retained earnings and a cash flow statement for
(i) the most recently completed financial year that ended more than 120 days before the date of the offering memorandum, and
(ii) the financial year immediately preceding the financial year in clause (i), if any,
(b) a balance sheet as at the end of each of the periods referred to in paragraph (a), and
(c) notes to the financial statements.
Form 45-106F2, under "Instructions for Complete Form 45-106F2" Part B, item 4.1 was added by BC Reg 382/2010, effective January 1, 2011.
Form 45-106F2, under "Instructions for Complete Form 45-106F2" Part B, item 5 BEFORE amended by BC Reg 382/2010, effective January 1, 2011.
5. If the issuer has completed one or more financial years, include in the offering memorandum interim financial statements of the issuer comprised of:
(a) an income statement, a statement of retained earnings and a cash flow statement for the most recently completed interim period that ended
(i) more than 60 days before the date of the offering memorandum, and
(ii) after the year-end date of the financial statements required under B.4 (a) (i),
(b) an income statement, a statement of retained earnings and a cash flow statement for the corresponding period in the immediately preceding financial year, if any,
(c) a balance sheet as at the end of the periods required by paragraphs (a) and (b), and
(d) notes to the financial statements.
Form 45-106F2, under "Instructions for Complete Form 45-106F2" Part B, item 5.1 was added by BC Reg 382/2010, effective January 1, 2011.
Form 45-106F2, under "Instructions for Complete Form 45-106F2" Part B, item 8 BEFORE amended by BC Reg 382/2010, effective January 1, 2011.
8. The comparative financial information required under B.5 (b) and (c) may be omitted if not previously prepared.
Form 45-106F2, under "Instructions for Complete Form 45-106F2" Part B, item 13 BEFORE amended by BC Reg 382/2010, effective January 1, 2011.
13. The offering memorandum does not have to be updated to include interim financial statements for periods completed after the date that is 60 days before the date of the offering memorandum unless it is necessary to prevent the offering memorandum from containing a misrepresentation.
Form 45-106F2, under "Instructions for Complete Form 45-106F2" Part B, item 14 BEFORE amended by BC Reg 382/2010, effective January 1, 2011.
14. Forward looking information included in an offering memorandum must comply with section 4A.2 of NI 51-102 and must include the disclosure described in section 4A.3 of NI 51-102. In addition to the foregoing, FOFI or a financial outlook, each as defined in NI 51-102, included in an offering memorandum must comply with Part 4B of NI 51-102. For an issuer that is not a reporting issuer, references to "reporting issuer" in section 4A.2, section 4A.3 and Part 4B of NI 51-102 should be read as references to an "issuer". Additional guidance may be found in the companion policy to NI 51-102.
Form 45-106F2, under "Instructions for Complete Form 45-106F2" Part B, item 16 was added by BC Reg 382/2010, effective January 1, 2011.
Form 45-106F2, under "Instructions for Complete Form 45-106F2" Part C, item 2(a) and (b) BEFORE amended by BC Reg 382/2010, effective January 1, 2011.
(a) the issuer's proportionate share of the consolidated assets of the business exceeds 40% of the consolidated assets of the issuer calculated using the annual financial statements of each of the issuer and the business for the most recently completed financial year of each that ended before the date of acquisition or, for a proposed acquisition, the date of the offering memorandum, or
(b) the issuer's consolidated investments in and advances to the business as at the date of acquisition or the proposed date of acquisition exceeds 40% of the consolidated assets of the issuer, excluding any investments in or advances to the business, as at the last day of the issuer's most recently completed financial year that ended before the date of acquisition or the date of the offering memorandum for a proposed acquisition.
Form 45-106F2, under "Instructions for Complete Form 45-106F2" Part C, item 2.1 BEFORE repealed by BC Reg 382/2010, effective January 1, 2011.
2.1 In this Instruction C, the term "date of acquisition" means the date of acquisition used for accounting purposes.
Form 45-106F2, under "Instructions for Complete Form 45-106F2" Part C, item 4 (a) (i) and (ii) BEFORE amended by BC Reg 382/2010, effective January 1, 2011.
(i) an income statement, a statement of retained earnings and a cash flow statement
(A) for the period from inception to a date not more than 90 days before the date of the offering memorandum, or
(B) if the date of acquisition precedes the ending date of the period referred to in (A), for the period from inception to the date of acquisition or a date not more than 45 days before the date of acquisition,
(ii) a balance sheet dated as at the end of the period referred to in clause (i), and
Form 45-106F2, under "Instructions for Complete Form 45-106F2" Part C, item 4 (b) (i) (B) BEFORE amended by BC Reg 382/2010, effective January 1, 2011.
(B) a balance sheet as at the end of each of the periods specified in (A),
Form 45-106F2, under "Instructions for Complete Form 45-106F2" Part C, item 4 (b) (ii) BEFORE amended by BC Reg 382/2010, effective January 1, 2011.
(ii) interim financial statements comprised of:
(A) an income statement, a statement of retained earnings and a cash flow statement for either:
(i) the most recently completed year-to-date interim period and the three month period ending on the last date of the interim period that ended before the date of acquisition and more than 60 days before the date of the offering memorandum and ended after the date of the financial statements required under C.4 (b) (i) (A) i., or
(ii) the period from the first day after the financial year referred to in C.4 (b) (i) to a date before the date of acquisition and after the period end in C.4 (b) (ii) (A) i., and
(B) an income statement, a statement of retained earnings and a cash flow statement for the corresponding period in the immediately preceding financial year, if any,
(C) a balance sheet as at the end of the periods required by (A) and (B), and
(D) notes to the financial statements.
Refer to Instruction B.7 for the meaning of "interim period".
Form 45-106F2, under "Instructions for Complete Form 45-106F2" Part C, item 6 BEFORE amended by BC Reg 382/2010, effective January 1, 2011.
6. If the offering memorandum does not contain audited financial statements for a business referred to in C.1 for the business's most recently completed financial year that ended before the date of acquisition and the distribution is ongoing, update the offering memorandum to include those financial statements accompanied by an auditor's report when they are available, but in any event no later than the date 120 days following the year-end.
Form 45-106F2, under "Instructions for Complete Form 45-106F2" Part C, item 8 BEFORE amended by BC Reg 382/2010, effective January 1, 2011.
8. If a transaction or a proposed transaction for which the likelihood of the transaction being completed is high has been or will be accounted for as a reverse take-over as defined in NI 51-102, include financial statements for the legal subsidiary in the offering memorandum in accordance with Part A. The legal parent, as that term is defined in the CICA Handbook, is considered to be the business acquired. C.1 may also require financial statements of the legal parent.
Form 45-106F2, under "Instructions for Complete Form 45-106F2" Part D, item 2 BEFORE amended by BC Reg 382/2010, effective January 1, 2011.
2. Notwithstanding the requirements in section 3.2 (a) of NI 52-107, an auditor's report that accompanies financial statements of an issuer or a business contained in an offering memorandum of a non-reporting issuer may contain a qualification of opinion relating to inventory if
(a) the issuer includes in the offering memorandum a balance sheet that is for a date that is subsequent to the date to which the qualification relates, and
(b) the balance sheet referred to in paragraph (a) is accompanied by an auditor's report that does not contain a qualification of opinion relating to closing inventory, and
(c) the issuer has not previously filed financial statements for the same entity accompanied by an auditor's report for a prior year that contained a qualification of opinion relating to inventory.
Form 45-106F2, under "Instructions for Complete Form 45-106F2" Part D, item 3 (a) (i) and (ii) BEFORE amended by BC Reg 382/2010, effective January 1, 2011.
(i) summarizes information as to the assets, liabilities and results of operations of the business, and
(ii) describes the issuer's proportionate interest in the business and any contingent issuance of securities by the business that might significantly affect the issuer's share of earnings;
Form 45-106F2, under "Instructions for Complete Form 45-106F2" Part D, item 3 (c) (ii) BEFORE amended by BC Reg 382/2010, effective January 1, 2011.
(ii) the audit opinion with respect to the financial information or financial statements referred to in D.3 (c) (i) was issued without a reservation of opinion.
Form 45-106F2, under "Instructions for Complete Form 45-106F2" Part D, item 4( b) BEFORE amended by BC Reg 382/2010, effective January 1, 2011.
(b) the acquisition was not or will not be accounted for as a "reverse take-over" as defined in NI 51-102,
Form 45-106F2, under "Instructions for Complete Form 45-106F2" Part D, item 4 (c) BEFORE repealed by BC Reg 382/2010, effective January 1, 2011.
(c) the business did not or does not constitute a "reportable segment" of the seller, as defined in section 1701 of the CICA Handbook, at the time of acquisition, and
Form 45-106F2, under "Instructions for Complete Form 45-106F2" Part D, item 4 (d) (i) BEFORE amended by BC Reg 382/2010, effective January 1, 2011.
(i) an operating statement for each of the financial periods for which financial statements would, but for this section, be required under C.4, presenting for the business, at a minimum, the following line items:
(A) gross revenue,
(B) royalty expenses,
(C) production costs, and
(D) operating income,
The operating statement for the most recently completed financial period referred to in C.4 (b) (i) must be audited.
Form 45-106F2, under "Instructions for Complete Form 45-106F2" Part D, item 5 BEFORE amended by BC Reg 382/2010, effective January 1, 2011.
5. Financial statements for a business that is an interest in an oil and gas property, or for the acquisition or proposed acquisition by an issuer of a property, are not required to be audited if during the 12 months preceding the date of acquisition or the proposed date of acquisition, the daily average production of the property on a barrel of oil equivalent basis (with gas converted to oil in the ratio of six thousand cubic feet of gas being the equivalent of one barrel of oil) is less than 20 per cent of the total daily average production of the seller for the same or similar periods and:
(i) despite reasonable efforts during the purchase negotiations, the issuer was prohibited from including in the purchase agreement the rights to obtain an audited operating statement of the property,
(ii) the purchase agreement includes representations and warranties by the seller that the amounts presented in the operating statement agree with the seller's books and records, and
(iii) the offering memorandum discloses
1. that the issuer was unable to obtain an audited operating statement,
2. the reasons for that inability,
3. the fact that the purchase agreement includes the representations and warranties referred to in D.5(ii), and
4. that the results presented in the operating statements may have been materially different if the statements had been audited.
Form 45-106F2, item 10.1 (part) and 10.2 (part) BEFORE amended by BC Reg 63/2023, effective March 2, 2023.
10.1 General Statement — For trades in Alberta, British Columbia, New Brunswick, Newfoundland and Labrador, Northwest Territories, Nova Scotia, Nunavut, Prince Edward Island, Québec, Saskatchewan and Yukon, state:
10.2 Restricted Period — For trades in Alberta, British Columbia, New Brunswick, Newfoundland and Labrador, Northwest Territories, Nova Scotia, Nunavut, Prince Edward Island, Québec, Saskatchewan and Yukon state one of the following, as applicable:
Form 45-106F2 BEFORE re-enacted by BC Reg 65/2023, effective March 8, 2023.
[am. B.C. Regs. 382/2010, Sch. F, ss. 5 to 10; 63/2023, Sch. C, s. 17.]
Offering Memorandum for Non-Qualifying Issuers
Date: [Insert the date from the certificate page.]
The Issuer
Name:
| Head office: | Address: |
| Phone #: | |
| E-mail address: | |
| Fax #: |
Currently listed or quoted? [If no, state in bold type: "These securities do not trade on any exchange or market". If yes, state where, e.g., TSX/TSX Venture Exchange.]
Reporting issuer? [Yes/No. If yes, state where.]
SEDAR filer? [Yes/No]
The Offering
Securities offered:
Price per security:
Minimum/Maximum offering: [If there is no minimum, state in bold type: "There is no minimum." and also state in bold type: "You may be the only purchaser."]
State in bold type: Funds available under the offering may not be sufficient to accomplish our proposed objectives.
Minimum subscription amount: [State the minimum amount each investor must invest, or state "There is no minimum subscription amount an investor must invest."]
Payment terms:
Proposed closing date(s):
Income tax consequences: There are important tax consequences to these securities. See item 6. [If income tax consequences are not material, delete this item.]
Selling agent? [Yes/No. If yes, state "See item 7". The name of the selling agent may also be stated.]
Resale restrictions
State: "You will be restricted from selling your securities for [4 months and a day/an indefinite period]. See item 10."
Purchaser's rights
State: "You have 2 business days to cancel your agreement to purchase these securities. If there is a misrepresentation in this offering memorandum, you have the right to sue either for damages or to cancel the agreement. See item 11."
State in bold type:
"No securities regulatory authority or regulator has assessed the merits of these securities or reviewed this offering memorandum. Any representation to the contrary is an offence. This is a risky investment. See item 8."
[All of the above information must appear on a single cover page.]
Item 1: Use of Available Funds
1.1 Funds — Using the following table, disclose the funds available as a result of the offering. If the issuer plans to combine additional sources of funding with the available funds from the offering to achieve its principal capital-raising purpose, please provide details about each additional source of funding. If there is no minimum offering, state "$0" as the minimum.
Disclose also the amount of any working capital deficiency, if any, of the issuer as at a date not more than 30 days prior to the date of the offering memorandum. If the working capital deficiency will not be eliminated by the use of available funds, state how the issuer intends to eliminate or manage the deficiency.
| Assuming min. offering | Assuming max. offering | ||
| A. | Amount to be raised by this offering | $ | $ |
| B. | Selling commissions and fees | $ | $ |
| C. | Estimated offering costs (e.g., legal, accounting, audit.) | $ | $ |
| D. | Available funds: D = A − (B+C) | $ | $ |
| E. | Additional sources of funding required | $ | $ |
| F. | Working capital deficiency | $ | $ |
| G. | Total: G = (D+E) − F | $ | $ |
1.2 Use of Available Funds — Using the following table, provide a detailed breakdown of how the issuer will use the available funds. If any of the available funds will be paid to a related party, disclose in a note to the table the name of the related party, the relationship to the issuer, and the amount. If the issuer has a working capital deficiency, disclose the portion, if any, of the available funds to be applied against the working capital deficiency. If more than 10% of the available funds will be used by the issuer to pay debt and the issuer incurred the debt within the two preceding financial years, describe why the debt was incurred.
| Description of intended use of available funds listed in order of priority | Assuming min. offering | Assuming max. offering |
| $ | $ | |
| $ | $ | |
| Total: Equal to G in the Funds table above | $ | $ |
1.3 Reallocation — The available funds must be used for the purposes disclosed in the offering memorandum. The board of directors can reallocate the proceeds to other uses only for sound business reasons. If the available funds may be reallocated, include the following statement:
"We intend to spend the available funds as stated. We will reallocate funds only for sound business reasons."
Item 2: Business of [name of issuer or other term used to refer to issuer]
2.1 Structure — State the business structure (e.g., partnership, corporation or trust), the statute and the province, state or other jurisdiction under which the issuer is incorporated, continued or organized, and the date of incorporation, continuance or organization.
2.2 Our Business — Describe the issuer's business. The disclosure must provide sufficient information to enable a prospective purchaser to make an informed investment decision. For a non-resource issuer this disclosure may include principal products or services, operations, market, marketing plans and strategies and a discussion of the issuer's current and prospective competitors. For a resource issuer this will require a description of principal properties (including interest held) and a summary of material information including, if applicable: the stage of development, reserves, geology, operations, production and mineral reserves or mineral resources being explored or developed. A resource issuer disclosing scientific or technical information for a mineral project must follow General Instruction A.8 of this Form. A resource issuer disclosing information about its oil and gas activities must follow General Instruction A.9 of this Form.
2.3 Development of Business — Describe (generally, in one or two paragraphs) the general development of the issuer's business over at least its two most recently completed financial years and any subsequent period. Include the major events that have occurred or conditions that have influenced (favourably or unfavourably) the development of the issuer.
2.4 Long Term Objectives — Describe each significant event that must occur to accomplish the issuer's long term objectives, state the specific time period in which each event is expected to occur, and the costs related to each event.
2.5 Short Term Objectives and How We Intend to Achieve Them
(a) Disclose the issuer's objectives for the next 12 months.
(b) Using the following table, disclose how the issuer intends to meet those objectives for the next 12 months.
| What we must do and how we will do it | Target completion date or, if not known, number of months to complete | Our cost to complete |
| $ | ||
| $ |
2.6 Insufficient Funds
If applicable, disclose that the funds available as a result of the offering either may not or will not be sufficient to accomplish all of the issuer's proposed objectives and there is no assurance that alternative financing will be available. If alternative financing has been arranged, disclose the amount, source and all outstanding conditions that must be satisfied.
2.7 Material Agreements — Disclose the key terms of all material agreements
(a) to which the issuer is currently a party, or
(b) with a related party,
including the following information:
(i) if the agreement is with a related party, the name of the related party and the relationship,
(ii) a description of any asset, property or interest acquired, disposed of, leased, under option, etc.,
(iii) a description of any service provided,
(iv) purchase price and payment terms (e.g., paid in instalments, cash, securities or work commitments),
(v) the principal amount of any debenture or loan, the repayment terms, security, due date and interest rate,
(vi) the date of the agreement,
(vii) the amount of any finder's fee or commission paid or payable to a related party in connection with the agreement,
(viii) any material outstanding obligations under the agreement, and
(ix) for any transaction involving the purchase of assets by or sale of assets to the issuer from a related party, state the cost of the assets to the related party, and the cost of the assets to the issuer.
Item 3: Interests of Directors, Management, Promoters and Principal Holders
3.1 Compensation and Securities Held — Using the following table, provide the specified information about each director, officer and promoter of the issuer and each person who, directly or indirectly, beneficially owns or controls 10% or more of any class of voting securities of the issuer (a "principal holder"). If the principal holder is not an individual, state in a note to the table the name of any person that, directly or indirectly, beneficially owns or controls more than 50% of the voting rights of the principal holder. If the issuer has not completed its first financial year, then include compensation paid since inception. Compensation includes any form of remuneration including cash, shares and options.
| Name and municipality of principal residence | Positions held (e.g., director, officer, promoter and/or principal holder) and the date of obtaining that position | Compensation paid by issuer or related party in the most recently completed financial year and the compensation anticipated to be paid in the current financial year | Number, type and percentage of securities of the issuer held after completion of min. offering | Number, type and percentage of securities of the issuer held after completion of max. offering |
3.2 Management Experience — Using the following table, disclose the principal occupations of the directors and executive officers over the past five years. In addition, for each individual, describe any relevant experience in a business similar to the issuer's.
| Name | Principal occupation and related experience |
3.3 Penalties, Sanctions and Bankruptcy
(a) Disclose any penalty or sanction (including the reason for it and whether it is currently in effect) that has been in effect during the last 10 years, or any cease trade order that has been in effect for a period of more than 30 consecutive days during the past 10 years against
(i) a director, executive officer or control person of the issuer, or
(ii) an issuer of which a person referred to in (i) above was a director, executive officer or control person at the time.
(b) Disclose any declaration of bankruptcy, voluntary assignment in bankruptcy, proposal under any bankruptcy or insolvency legislation, proceedings, arrangement or compromise with creditors or appointment of a receiver, receiver manager or trustee to hold assets, that has been in effect during the last 10 years with regard to any
(i) director, executive officer or control person of the issuer, or
(ii) issuer of which a person referred to in (i) above was a director, executive officer or control person at that time.
3.4 Loans — Disclose the principal amount of any debenture or loan, the repayment terms, security, due date and interest rate due to or from the directors, management, promoters and principal holders as at a date not more than 30 days prior to the date of the offering memorandum.
Item 4: Capital Structure
4.1 Share Capital — Using the following table, provide the required information about outstanding securities of the issuer (including options, warrants and other securities convertible into shares). If necessary, notes to the table may be added to describe the material terms of the securities.
| Description of security | Number authorized to be issued | Price per security | Number outstanding as at [a date not more than 30 days prior to the offering memorandum date] | Number outstanding after min. offering | Number outstanding after max. offering |
4.2 Long Term Debt Securities — Using the following table, provide the required information about outstanding long term debt of the issuer. Disclose the portion of the debt due within 12 months of the date of the offering memorandum. If the securities being offered are debt securities, add a column to the table disclosing the amount of debt that will be outstanding after both the minimum and maximum offering. If the debt is owed to a related party, indicate that in a note to the table and identify the related party.
| Description of long term debt (including whether secured) | Interest rate | Repayment terms | Amount outstanding at [a date not more than 30 days prior to the offering memorandum date] |
| $ | |||
| $ |
4.3 Prior Sales — If the issuer has issued any securities of the class being offered under the offering memorandum (or convertible or exchangeable into the class being offered under the offering memorandum) within the last 12 months, use the following table to provide the information specified. If securities were issued in exchange for assets or services, describe in a note to the table the assets or services that were provided.
| Date of issuance | Type of security issued | Number of securities issued | Price per security | Total funds received |
Item 5: Securities Offered
5.1 Terms of Securities — Describe the material terms of the securities being offered, including:
(a) voting rights or restrictions on voting,
(b) conversion or exercise price and date of expiry,
(c) rights of redemption or retraction, and
(d) interest rates or dividend rates.
5.2 Subscription Procedure
(a) Describe how a purchaser can subscribe for the securities and the method of payment.
(b) State that the consideration will be held in trust and the period that it will be held (refer at least to the mandatory two-day period).
(c) Disclose any conditions to closing, e.g.: receipt of additional funds from other sources. If there is a minimum offering, disclose when consideration will be returned to purchasers if the minimum is not met, and whether the issuer will pay the purchasers interest on consideration.
Item 6: Income Tax Consequences and RRSP Eligibility
6.1 State: "You should consult your own professional advisers to obtain advice on the income tax consequences that apply to you."
6.2 If income tax consequences are a material aspect of the securities being offered (e.g., flow-through shares), provide
(a) a summary of the significant income tax consequences to Canadian residents, and
(b) the name of the person providing the income tax disclosure in (a).
6.3 Provide advice regarding the RRSP eligibility of the securities and the name of the person providing the advice or state "Not all securities are eligible for investment in a registered retirement savings plan (RRSP). You should consult your own professional advisers to obtain advice on the RRSP eligibility of these securities."
Item 7: Compensation Paid to Sellers and Finders
If any person has or will receive any compensation (e.g., commission, corporate finance fee or finder's fee) in connection with the offering, provide the following information to the extent applicable:
(a) a description of each type of compensation and the estimated amount to be paid for each type,
(b) if a commission is being paid, the percentage that the commission will represent of the gross proceeds of the offering (assuming both the minimum and maximum offering),
(c) details of any broker's warrants or agent's option (including number of securities under option, exercise price and expiry date), and
(d) if any portion of the compensation will be paid in securities, details of the securities (including number, type and, if options or warrants, the exercise price and expiry date).
Item 8: Risk Factors
Describe in order of importance, starting with the most important, the risk factors material to the issuer that a reasonable investor would consider important in deciding whether to buy the issuer's securities.
Risk factors will generally fall into the following three categories:
(a) Investment Risk — risks that are specific to the securities being offered. Some examples include:
• arbitrary determination of price,
• no market or an illiquid market for the securities,
• resale restrictions, and
• subordination of debt securities.
(b) Issuer Risk — risks that are specific to the issuer. Some examples include:
• insufficient funds to accomplish the issuer's business objectives,
• no history or a limited history of revenue or profits,
• lack of specific management or technical expertise,
• management's regulatory and business track record,
• dependence on key employees, suppliers or agreements,
• dependence on financial viability of guarantor,
• pending and outstanding litigation, and
• political risk factors.
(c) Industry Risk — risks faced by the issuer because of the industry in which it operates. Some examples include:
• environmental and industry regulation,
• product obsolescence, and
• competition.
Item 9: Reporting Obligations
9.1 Disclose the documents, including any financial information required by the issuer's corporate legislation, constating documents, or other documents under which the issuer is organized, that will be sent to purchasers on an annual or on-going basis. If the issuer is not required to send any documents to the purchasers on an annual or on-going basis, state in bold type: "We are not required to send you any documents on an annual or on-going basis."
9.2 If corporate or securities information about the issuer is available from a government, securities regulatory authority or regulator, SRO or quotation and trade reporting system, disclose where that information can be located (including website address).
Item 10: Resale Restrictions
10.1 General Statement — For trades in Alberta, British Columbia, New Brunswick, Newfoundland and Labrador, Northwest Territories, Nova Scotia, Nunavut, Ontario, Prince Edward Island, Québec, Saskatchewan and Yukon, state:
"These securities will be subject to a number of resale restrictions, including a restriction on trading. Until the restriction on trading expires, you will not be able to trade the securities unless you comply with an exemption from the prospectus and registration requirements under securities legislation."
10.2 Restricted Period — For trades in Alberta, British Columbia, New Brunswick, Newfoundland and Labrador, Northwest Territories, Nova Scotia, Nunavut, Ontario, Prince Edward Island, Québec, Saskatchewan and Yukon state one of the following, as applicable:
(a) If the issuer is not a reporting issuer in a jurisdiction at the distribution date state:
"Unless permitted under securities legislation, you cannot trade the securities before the date that is 4 months and a day after the date [insert name of issuer or other term used to refer to the issuer] becomes a reporting issuer in any province or territory of Canada."
(b) If the issuer is a reporting issuer in a jurisdiction at the distribution date state:
"Unless permitted under securities legislation, you cannot trade the securities before the date that is 4 months and a day after the distribution date."
10.3 Manitoba Resale Restrictions — For trades in Manitoba, if the issuer will not be a reporting issuer in a jurisdiction at the time the security is acquired by the purchaser, state:
"Unless permitted under securities legislation, you must not trade the securities without the prior written consent of the regulator in Manitoba unless
(a) [name of issuer or other term used to refer to issuer] has filed a prospectus with the regulator in Manitoba with respect to the securities you have purchased and the regulator in Manitoba has issued a receipt for that prospectus, or
(b) you have held the securities for at least 12 months.
The regulator in Manitoba will consent to your trade if the regulator is of the opinion that to do so is not prejudicial to the public interest."
Item 11: Purchasers' Rights
State the following:
"If you purchase these securities you will have certain rights, some of which are described below. For information about your rights you should consult a lawyer.
(1) Two-Day Cancellation Right — You can cancel your agreement to purchase these securities. To do so, you must send a notice to us by midnight on the 2nd business day after you sign the agreement to buy the securities.
(2) Statutory Rights of Action in the Event of a Misrepresentation — [Insert this section only if the securities legislation of the jurisdiction in which the trade occurs provides purchasers with statutory rights in the event of a misrepresentation in an offering memorandum. Modify the language, if necessary, to conform to the statutory rights.] If there is a misrepresentation in this offering memorandum, you have a statutory right to sue:
(a) [name of issuer or other term used to refer to issuer] to cancel your agreement to buy these securities, or
(b) for damages against [state the name of issuer or other term used to refer to issuer and the title of any other person against whom the rights are available].
This statutory right to sue is available to you whether or not you relied on the misrepresentation. However, there are various defences available to the persons or companies that you have a right to sue. In particular, they have a defence if you knew of the misrepresentation when you purchased the securities.
If you intend to rely on the rights described in (a) or (b) above, you must do so within strict time limitations. You must commence your action to cancel the agreement within [state time period provided by the securities legislation]. You must commence your action for damages within [state time period provided by the securities legislation.]
(3) Contractual Rights of Action in the Event of a Misrepresentation — [Insert this section only if the securities legislation of the jurisdiction in which the purchaser is resident does not provide purchasers with statutory rights in the event of a misrepresentation in an offering memorandum.] If there is a misrepresentation in this offering memorandum, you have a contractual right to sue [name of issuer or other term used to refer to issuer]:
(a) to cancel your agreement to buy these securities, or
(b) for damages.
This contractual right to sue is available to you whether or not you relied on the misrepresentation. However, in an action for damages, the amount you may recover will not exceed the price that you paid for your securities and will not include any part of the damages that [name of issuer or other term used to refer to issuer] proves does not represent the depreciation in value of the securities resulting from the misrepresentation. [Name of issuer or other term used to refer to issuer] has a defence if it proves that you knew of the misrepresentation when you purchased the securities.
If you intend to rely on the rights described in (a) or (b) above, you must do so within strict time limitations. You must commence your action to cancel the agreement within 180 days after you signed the agreement to purchase the securities. You must commence your action for damages within the earlier of 180 days after learning of the misrepresentation and 3 years after you signed the agreement to purchase the securities."
Item 12: Financial Statements
Include in the offering memorandum immediately before the certificate page of the offering memorandum all required financial statements as set out in the Instructions.
Item 13: Date and Certificate
State the following on the certificate page of the offering memorandum:
"Dated [insert the date the certificate page of the offering memorandum is signed].
This offering memorandum does not contain a misrepresentation."
Instructions for Completing
Form 45-106F2
Offering Memorandum for Non-Qualifying Issuers
A. General Instructions
1. Draft the offering memorandum so that it is easy to read and understand. Be concise and use clear, plain language. Avoid technical terms. If technical terms are necessary, provide definitions.
2. Address the items required by the form in the order set out in the form. However, it is not necessary to provide disclosure about an item that does not apply.
3. The issuer may include additional information in the offering memorandum other than that specifically required by the form. An offering memorandum is generally not required to contain the level of detail and extent of disclosure required by a prospectus. Generally, this description should not exceed 2 pages. However, an offering memorandum must provide a prospective purchaser with sufficient information to make an informed investment decision.
4. The issuer may wrap the offering memorandum around a prospectus or similar document. However, all matters required to be disclosed by the offering memorandum must be addressed and the offering memorandum must provide a cross-reference to the page number or heading in the wrapped document where the relevant information is contained. The certificate to the offering memorandum must be modified to indicate that the offering memorandum, including the document around which it is wrapped, does not contain a misrepresentation.
5. It is an offence to make a misrepresentation in the offering memorandum. This applies both to information that is required by the form and to additional information that is provided. Include particulars of any material facts which have not been disclosed under any of the Item numbers and for which failure to disclose would constitute a misrepresentation in the offering memorandum. Refer also to section 3.8 (3) of Companion Policy 45-106CP for additional information.
6. When the term "related party" is used in this form, it refers to:
(a) a director, officer, promoter or control person of the issuer,
(b) in regard to a person referred to in (a), a child, parent, grandparent or sibling, or other relative living in the same residence,
(c) in regard to a person referred to in (a) or (b), his or her spouse or a person with whom he or she is living in a marriage-like relationship,
(d) an insider of the issuer,
(e) a company controlled by one or more individuals referred to in (a) to (d), and
(f) in the case of an insider, promoter or control person that is not an individual, any person that controls that insider, promoter or control person.
(If the issuer is not a reporting issuer, the reference to "insider" includes persons or companies who would be insiders of the issuer if that issuer were a reporting issuer.)
7. Disclosure is required in item 3.1 of compensation paid directly or indirectly by the issuer or a related party to a director, officer, promoter and/or principal holder if the issuer receives a direct benefit from such compensation paid.
8. Refer to National Instrument 43-101 Standards of Disclosure for Mineral Projects (NI 43-101) when disclosing scientific or technical information for a mineral project of the issuer.
9. If an oil and gas issuer is disclosing information about its oil and gas activities, it must ensure that the information is disclosed in accordance with Part 4 and Part 5 of National Instrument 51-101 Standards of Disclosure for Oil and Gas Activities (NI 51-101). Under section 5.3 of NI 51-101, disclosure of reserves or resources must be consistent with the reserves and resources terminology and categories set out in the Canadian Oil and Gas Evaluation Handbook. For the purposes of this instruction, references to reporting issuer in Part 4 and Part 5 of NI 51-101 will be deemed to include all issuers.
10. Securities legislation restricts what can be told to investors about the issuer's intent to list or quote securities on an exchange or market. Refer to applicable securities legislation before making any such statements.
11. If an issuer uses this form in connection with a distribution under an exemption other than section 2.9 [offering memorandum] of National Instrument 45-106 Prospectus and Registration Exemptions, the issuer must modify the disclosure in item 11 to correctly describe the purchaser's rights. If a purchaser does not have statutory or contractual rights of action in the event of a misrepresentation in the offering memorandum, that fact must be stated in bold on the face page.
12. During the course of a distribution of securities, any material forward-looking information disseminated must only be that which is set out in the offering memorandum. If an extract of FOFI, as defined in National Instrument 51-102 Continuous Disclosure Obligations (NI 51-102), is disseminated, the extract or summary must be reasonably balanced and have a cautionary note in boldface stating that the information presented is not complete and that complete FOFI is included in the offering memorandum.
B. Financial Statements — General
1. All financial statements, operating statements for an oil and gas property that is an acquired business or a business to be acquired, and summarized financial information as to the aggregated amounts of assets, liabilities, revenue and profit or loss of an acquired business or business to be acquired that is, or will be, an investment accounted for by the issuer using the equity method included in the offering memorandum must comply with National Instrument 52-107 Acceptable Accounting Principles and Auditing Standards, regardless of whether the issuer is a reporting issuer or not.
Under National Instrument 52-107 Acceptable Accounting Principles and Auditing Standards, financial statements are generally required to be prepared in accordance with Canadian GAAP applicable to publicly accountable enterprises. An issuer using this form cannot use Canadian GAAP applicable to private enterprises, except, subject to the requirements of NI 52-107, certain issuers may use Canadian GAAP applicable to private enterprises for financial statements for a business referred to in Instruction C.1. An issuer that is not a reporting issuer may prepare acquisition statements in accordance with the requirements of NI 52-107 as if the issuer were a venture issuer as defined in NI 51-102. For the purposes of Form 45-106F2, the "applicable time" in the definition of a venture issuer is the acquisition date.
2. Include all financial statements required by these instructions in the offering memorandum immediately before the certificate page of the offering memorandum.
3. If the issuer has not completed one financial year or its first financial year end is less than 120 days from the date of the offering memorandum, include in the offering memorandum financial statements of the issuer consisting of:
(a) a statement of comprehensive income, a statement of changes in equity and a statement of cash flows for the period from inception to a date not more than 90 days before the date of the offering memorandum,
(b) a statement of financial position as at the end of the period referred to in paragraph (a), and
(c) notes to the financial statements.
4. If the issuer has completed one or more financial years, include in the offering memorandum annual financial statements of the issuer consisting of:
(a) a statement of comprehensive income, a statement of changes in equity and a statement of cash flows for
(i) the most recently completed financial year that ended more than 120 days before the date of the offering memorandum, and
(ii) the financial year immediately preceding the financial year in clause (i), if any,
(b) a statement of financial position as at the end of each of the periods referred to in paragraph (a),
(c) a statement of financial position as at the beginning of the earliest comparative period for which financial statements that are included in the offering memorandum comply with IFRS in the case of an issuer that
(i) discloses in its annual financial statements an unreserved statement of compliance with IFRS, and
(ii) does any of the following:
(A) applies an accounting policy retrospectively in its annual financial statements;
(B) makes a retrospective restatement of items in its annual financial statements;
(C) reclassifies items in its annual financial statements,
(d) in the case of an issuer's first IFRS financial statements as defined in NI 51-102, the opening IFRS statement of financial position at the date of transition to IFRS as defined in NI 51-102, and
(e) notes to the financial statements.
4.1 If an issuer presents the components of profit or loss in a separate income statement, the separate income statement must be displayed immediately before the statement of comprehensive income filed under Item 4 above.
5. If the issuer has completed one or more financial years, include in the offering memorandum an interim financial report of the issuer comprised of:
(a) a statement of comprehensive income, a statement of changes in equity and a statement of cash flows for the most recently completed interim period that ended
(i) more than 60 days before the date of the offering memorandum, and
(ii) after the year-end date of the financial statements required under B.4 (a) (i),
(b) a statement of comprehensive income, a statement of changes in equity and a statement of cash flows for the corresponding period in the immediately preceding financial year, if any,
(c) a statement of financial position as at the end of the period required by paragraph (a) and the end of the immediately preceding financial year, and
(d) a statement of financial position as at the beginning of the earliest comparative period for which financial statements that are included in the offering memorandum comply with IFRS in the case of an issuer that
(i) discloses in its interim financial report an unreserved statement of compliance with International Accounting Standard 34 Interim Financial Reporting, and
(ii) does any of the following:
(A) applies an accounting policy retrospectively in its interim financial report;
(B) makes a retrospective restatement of items in its interim financial report;
(C) reclassifies items in its interim financial report,
(e) in the case of the first interim financial report in the year of adopting IFRS, the opening IFRS statement of financial position at the date of transition to IFRS,
(f) for an issuer that is not a reporting issuer in at least one jurisdiction of Canada immediately before filing the offering memorandum, if the issuer is including an interim financial report of the issuer for the second or third interim period in the year of adopting IFRS, include
(i) the issuer's first interim financial report in the year of adopting IFRS, or
(ii) both
(A) the opening IFRS statement of financial position at the date of transition to IFRS, and
(B) the annual and date of transition to IFRS reconciliations required by IFRS 1 First-time Adoption of International Financial Reporting Standards to explain how the transition from previous GAAP to IFRS affected the issuer's reported financial position, financial performance and cash flows, and
(g) notes to the financial statements.
5.1 If an issuer presents the components of profit or loss in a separate income statement, the separate income statement must be displayed immediately before the statement of comprehensive income filed under item 5 above.
6. An issuer is not required to include the comparative financial information for the period in B.4. (a) (ii) in an offering memorandum if the issuer includes financial statements for a financial year ended less than 120 days before the date of the offering memorandum.
7. For an issuer that is not an investment fund, the term "interim period" has the meaning set out in NI 51-102. In most cases, an interim period is a period ending nine, six, or three months before the end of a financial year. For an issuer that is an investment fund, the term "interim period" has the meaning set out in National Instrument 81-106 Investment Fund Continuous Disclosure (NI 81-106).
8. The comparative financial information required under section B.5 (b) and (c) may be omitted if the issuer has not previously prepared financial statements in accordance with its current or, if applicable, its previous GAAP.
9. The financial statements required by B.3 and the financial statements of the most recently completed financial period referred to in B.4 must be audited. The financial statements required under B.5, B.6 and the comparative financial information required by B.4 may be unaudited; however, if any of those financial statements have been audited, the auditor's report must be included in the offering memorandum.
10. Refer to National Instrument 52-108 Auditor Oversight for requirements relating to reporting issuers and public accounting firms.
11. All unaudited financial statements and unaudited comparatives must be clearly labelled as unaudited.
12. If the offering memorandum does not contain audited financial statements for the issuer's most recently completed financial year, and if the distribution is on-going, update the offering memorandum to include the annual audited financial statements and the accompanying auditor's report as soon as the issuer has approved the audited financial statements, but in any event no later than the 120th day following the financial year end.
13. The offering memorandum does not have to be updated to include interim financial reports for periods completed after the date that is 60 days before the date of the offering memorandum unless it is necessary to prevent the offering memorandum from containing a misrepresentation.
14. Forward looking information, as defined in NI 51-102, included in an offering memorandum must comply with section 4A.2 of NI 51-102 and must include the disclosure described in section 4A.3 of NI 51-102. In addition to the foregoing, FOFI or a financial outlook, each as defined in NI 51-102, included in an offering memorandum must comply with Part 4B of NI 51-102. For an issuer that is not a reporting issuer, references to "reporting issuer" in section 4A.2, section 4A.3 and Part 4B of NI 51-102 should be read as references to an "issuer". Additional guidance may be found in the companion policy to NI 51-102.
15. If the issuer is a limited partnership, in addition to the financial statements required for the issuer, include in the offering memorandum the financial statements in accordance with Part B for the general partner and, if the limited partnership has active operations, for the limited partnership.
16. Despite section B.5, an issuer may include a comparative interim financial report of the issuer for the most recent interim period, if any, ended
(a) subsequent to the most recent financial year in respect of which annual financial statements of the issuer are included in the offering memorandum, and
(b) more than 90 days before the date of the offering memorandum.
This section does not apply unless
(a) the comparative interim financial report is the first interim financial report required to be filed in the year of adopting IFRS, and the issuer is disclosing, for the first time, a statement of compliance with International Accounting Standard 34 Interim Financial Reporting,
(b) the issuer is a reporting issuer in the local jurisdiction immediately before the date of the offering memorandum, and
(c) the offering memorandum is dated before June 29, 2012.
C. Financial Statements — Business Acquisitions
1. If the issuer
(a) has acquired a business during the past two years and the audited financial statements of the issuer included in the offering memorandum do not include the results of the acquired business for 9 consecutive months, or
(b) is proposing to acquire a business and the acquisition has progressed to a state where a reasonable person would believe that the likelihood of the acquisition being completed is high,
include the financial statements specified in C.4 for the business if either of the tests in C.2 is met, irrespective of how the issuer accounts, or will account, for the acquisition.
2. Include the financial statements specified in C.4 for a business referred to in C.1 if either:
(a) the issuer's proportionate share of the consolidated assets of the business exceeds 40% of the consolidated assets of the issuer calculated using the annual financial statements of each of the issuer and the business for the most recently completed financial year of each that ended before the acquisition date or, for a proposed acquisition, the date of the offering memorandum, or
(b) the issuer's consolidated investments in and advances to the business as at the date of acquisition or the proposed acquisition date exceeds 40% of the consolidated assets of the issuer, excluding any investments in or advances to the business, as at the last day of the issuer's most recently completed financial year that ended before the date of acquisition or the date of the offering memorandum for a proposed acquisition. For information about how to perform the investment test in this paragraph, please refer to subsections 8.3 (4.1) and (4.2) of NI 51-102. Additional guidance may be found in the companion policy to NI 51-102.
2.1 Repealed. [B.C. Reg. 382/2010, Sch. F, s. 9 (c).]
3. If an issuer or a business has not yet completed a financial year, or its first financial year ended within 120 days of the offering memorandum date, use the financial statements referred to in B.3 to make the calculations in C.2.
4. If under C.2 you must include in an offering memorandum financial statements for a business, the financial statements must include:
(a) If the business has not completed one financial year or its first financial year end is less than 120 days from the date of the offering memorandum,
(i) a statement of comprehensive income, a statement of changes in equity and a statement of cash flows
(A) for the period from inception to a date not more than 90 days before the date of the offering memorandum, or
(B) if the acquisition date precedes the ending date of the period referred to in (A), for the period from inception to the acquisition date or a date not more than 45 days before the acquisition date,
(ii) a statement of financial position dated as at the end of the period referred to in clause (i), and
(iii) notes to the financial statements.
(b) If the business has completed one or more financial years, include:
(i) annual financial statements comprised of:
(A) a statement of comprehensive income, a statement of changes in equity and a statement of cash flows for the following annual periods:
i. the most recently completed financial year that ended before the acquisition date and more than 120 days before the date of the offering memorandum, and
ii. the financial year immediately preceding the most recently completed financial year specified in clause i, if any,
(B) a statement of financial position as at the end of each of the periods specified in (A),
(C) notes to the financial statements, and
(ii) interim financial statements comprised of
(A) either
i. a statement of comprehensive income, a statement of changes in equity and a statement of cash flows for the most recently completed year-to-date interim period ending on the last date of the interim period that ended before the acquisition date and more than 60 days before the date of the offering memorandum and ended after the date of the financial statements required under subclause (b) (i) (A) i, and a statement of comprehensive income and a statement of changes in equity for the three month period ending on the last date of the interim period that ended before the acquisition date and more than 60 days before the date of the offering memorandum and ended after the date of the financial statements required under subclause (b) (i) (A) i, or
ii. a statement of comprehensive income, a statement of changes in equity and a statement of cash flows for the period from the first day after the financial year referred to in subparagraph (b) (i) to a date before the acquisition date and after the period end in subclause (b) (ii) (A) i,
(B) a statement of comprehensive income, a statement of changes in equity and a statement of cash flows for the corresponding period in the immediately preceding financial year, if any,
(C) a statement of financial position as at the end of the period required by clause (A) and the end of the immediately preceding financial year, and
(D) notes to the financial statements.
Refer to Instruction B.7 for the meaning of "interim period".
5. The information for the most recently completed financial period referred to in C.4 (b) (i) must be audited and accompanied by an auditor's report. The financial statements required under C.4 (a), C.4 (b) (ii) and the comparative financial information required by C.4 (b) (i) may be unaudited; however, if those financial statements or comparative financial information have been audited, the auditor's report must be included in the offering memorandum.
6. If the offering memorandum does not contain audited financial statements for a business referred to in C.1 for the business's most recently completed financial year that ended before the acquisition date and the distribution is ongoing, update the offering memorandum to include those financial statements accompanied by an auditor's report when they are available, but in any event no later than the date 120 days following the year-end.
7. The term "business" should be evaluated in light of the facts and circumstances involved. Generally, a separate entity or a subsidiary or division of an entity is a business and, in certain circumstances, a lesser component of an entity may also constitute a business, whether or not the subject of the acquisition previously prepared financial statements. The subject of an acquisition should be considered a business where there is, or the issuer expects there will be, continuity of operations. The issuer should consider:
(a) whether the nature of the revenue producing activity or potential revenue producing activity will remain generally the same after the acquisition, and
(b) whether any of the physical facilities, employees, marketing systems, sales forces, customers, operating rights, production techniques or trade names are acquired by the issuer instead of remaining with the vendor after the acquisition.
8. If a transaction or a proposed transaction for which the likelihood of the transaction being completed is high has been or will be, as that term is defined in the CICA Handbook, a reverse take-over as defined in NI 51-102, include financial statements for the legal subsidiary in the offering memorandum in accordance with Part A. The legal parent, as that term is defined in the CICA Handbook, is considered to be the business acquired. C.1 may also require financial statements of the legal parent.
9. An issuer satisfies the requirements in C.4 if the issuer includes in the offering memorandum the financial statements required in a business acquisition report under NI 51-102.
D. Financial Statement — Exemptions
1. An issuer will satisfy the financial statement requirements of this form if it includes the financial statements required by securities legislation for a prospectus.
2. Notwithstanding the requirements in section 3.3 (1) (a) (i) of National Instrument 52-107 Acceptable Accounting Principles and Auditing Standards, an auditor's report that accompanies financial statements of an issuer or a business contained in an offering memorandum of a non-reporting issuer may contain a qualification of opinion relating to inventory if
(a) the issuer includes in the offering memorandum a statement of financial position that is for a date that is subsequent to the date to which the qualification relates, and
(b) the statement of financial position referred to in paragraph (a) is accompanied by an auditor's report that does not express a qualification of opinion relating to closing inventory, and
(c) the issuer has not previously filed financial statements for the same entity accompanied by an auditor's report for a prior year that expressed a qualification of opinion relating to inventory.
3. If an issuer has, or will account for, a business referred to in C.1 using the equity method, then financial statements for a business required by Part C are not required to be included if:
(a) the offering memorandum includes disclosure for the periods for which financial statements are otherwise required under Part C that:
(i) summarizes information as to the aggregated amounts of assets, liabilities, revenue and profit or loss of the business, and
(ii) describes the issuer's proportionate interest in the business and any contingent issuance of securities by the business that might significantly affect the issuer's share of profit or loss;
(b) the financial information provided under D.3 (a) for the most recently completed financial year has been audited, or has been derived from audited financial statements of the business; and
(c) the offering memorandum discloses that:
(i) the financial information provided under D.3 (a) for any completed financial year has been audited, or identifies the audited financial statements from which the financial information provided under D.3 (a) has been derived; and
(ii) the audit opinion with respect to the financial information or financial statements referred to in D.3 (c) (i) was an unmodified opinion.
4. Financial statements relating to the acquisition or proposed acquisition of a business that is an interest in an oil and gas property are not required to be included in an offering memorandum if the acquisition is significant based only on the asset test or:
(a) the issuer is unable to provide the financial statements in respect of the significant acquisition otherwise required because those financial statements do not exist or the issuer does not have access to those financial statements,
(b) the acquisition was not or will not be a "reverse take-over" as defined in NI 51-102, and
(c) Repealed. [B.C. Reg. 382/2010, Sch. F, s. 10 (i).]
(d) the offering memorandum contains alternative disclosure for the business which includes:
(i) an operating statement for the business or related businesses for each of the financial periods for which financial statements would, but for this section, be required under C.4 prepared in accordance with subsection 3.11 (5) of National Instrument 52-107 Acceptable Accounting Principles and Auditing Standards. The operating statement for the most recently completed financial period referred to in C.4 (b) (i) must be audited,
(ii) a description of the property or properties and the interest acquired by the issuer,
(iii) information with respect to the estimated reserves and related future net revenue attributable to the business, the material assumptions used in preparing the estimates and the identity and relationship to the issuer or to the seller of the person who prepared the estimates,
(iv) actual production volumes of the property for the most recently completed year, and
(v) estimated production volumes of the property for the first year reflected in the estimate disclosed under D.4 (d) (iv).
5. Financial statements for a business that is an interest in an oil and gas property, or for the acquisition or proposed acquisition by an issuer of a property, are not required to be audited if during the 12 months preceding the acquisition date or the proposed acquisition date, the daily average production of the property on a barrel of oil equivalent basis (with gas converted to oil in the ratio of six thousand cubic feet of gas being the equivalent of one barrel of oil) is less than 20 per cent of the total daily average production of the seller for the same or similar periods and:
(i) despite reasonable efforts during the purchase negotiations, the issuer was prohibited from including in the purchase agreement the rights to obtain an audited operating statement of the property,
(ii) the purchase agreement includes representations and warranties by the seller that the amounts presented in the operating statement agree with the seller's books and records, and
(iii) the offering memorandum discloses
1. that the issuer was unable to obtain an audited operating statement,
2. the reasons for that inability,
3. the fact that the purchase agreement includes the representations and warranties referred to in D.5 (ii), and
4. that the results presented in the operating statements may have been materially different if the statements had been audited.
Form 45-106F3, item 1.1. table line G BEFORE amended by BC Reg 382/2010, effective January 1, 2011.
| G | Total: H = (D+E) - F | $ | $ |
Form 45-106F3, item 8(b) item BEFORE amended by BC Reg 382/2010, effective January 1, 2011.
• no history or a limited history of sales or profits,
Form 45-106F3, under "Instructions for Complete Form 45-106F3" Part B, item 1 BEFORE amended by BC Reg 382/2010, effective January 1, 2011.
1. All financial statements incorporated by reference into the offering memorandum must comply with NI 51-102 and National Instrument 52-107 Acceptable Accounting Principles, Auditing Standards and Reporting Currency.
Form 45-106F3, under "Instructions for Complete Form 45-106F3" Part C, item 2 BEFORE amended by BC Reg 382/2010, effective January 1, 2011.
2. Except for documents referred to in C.1, the offering memorandum does not have to be updated to incorporate by reference interim financial statements or other documents referred to in D.1 unless it is necessary to do so to prevent the offering memorandum from containing a misrepresentation.
Form 45-106F3, under "Instructions for Complete Form 45-106F3" Part D, item 1(c) BEFORE amended by BC Reg 382/2010, effective January 1, 2011.
(c) the interim financial statements for the issuer's most recently completed interim period for which the issuer prepares interim financial statements that are required to be filed or have been filed and which ends after the most recently completed financial year referred to in (d),
Form 45-106F3, item 10 (part) BEFORE amended by BC Reg 63/2023, effective March 2, 2023.
For trades in Alberta, British Columbia, New Brunswick, Newfoundland and Labrador, Northwest Territories, Nova Scotia, Nunavut, Prince Edward Island, Québec, Saskatchewan and Yukon, state:
Form 45-106F3, item 2.2 (part) BEFORE amended by BC Reg 139/2023, effective June 9, 2023.
"Information has been incorporated by reference into this offering memorandum from documents listed in the table below, which have been filed with securities regulatory authorities or regulators in Canada. The documents incorporated by reference are available for viewing on the SEDAR website at www.sedar.com. In addition, copies of the documents may be obtained on request without charge from [insert complete address and telephone and the name of a contact person].
Form 45-106F3, item 2.3 (part) BEFORE amended by BC Reg 139/2023, effective June 9, 2023.
"Other documents available on the SEDAR website (for example, most press releases, take-over bid circulars, prospectuses and rights offering circulars) are not incorporated by reference into this offering memorandum unless they are specifically referenced in the table above. Your rights as described in item 11 of this offering memorandum apply only in respect of information contained in this offering memorandum and documents or information incorporated by reference."
Form 45-106F3, item C.1 (part) BEFORE amended by BC Reg 139/2023, effective June 9, 2023.
1. If the offering memorandum does not incorporate by reference the issuer's AIF, and audited financial reports for its most recently completed financial year, update the offering memorandum for any financial statements that are required to be filed prior to the distribution to incorporate by reference the documents as soon as the documents are filed on SEDAR.
Form 45-106F3, item D.2 (part) BEFORE amended by BC Reg 139/2023, effective June 9, 2023.
An issuer may incorporate any additional document provided that the document is available for viewing on the SEDAR website and that, on request by a purchaser, the issuer provides a copy of the document to the purchaser, without charge.
Form 45-106F4 (part) BEFORE amended by BC Reg 63/2023, effective March 2, 2023.
You will not get professional advice about whether the investment is suitable for you. But you can still seek that advice from a registered adviser or registered dealer. In Alberta, Manitoba, Northwest Territories, Nunavut, Prince Edward Island, Québec, Saskatchewan and Yukon, to qualify as an eligible investor, you may be required to obtain that advice.
Form 45-106F4 Schedules 1 and 2 were enacted by BC Reg 63/2023, effective March 2, 2023.
Form 45-106F4 (part) BEFORE amended by BC Reg 65/2023, effective March 8, 2023.

You have 2 business days to cancel your purchase [Instruction: The issuer must complete this section before giving the form to the purchaser.]
To do so, send a notice to [name of issuer] stating that you want to cancel your purchase. You must send the notice before midnight on the 2nd business day after you sign the agreement to purchase the securities. You can send the notice by fax or email or deliver it in person to [name of issuer] at its business address. Keep a copy of the notice for your records.
Issuer Name and Address:
| Fax: | E-mail: |
You are buying Exempt Market Securities
They are called exempt market securities because two parts of securities law do not apply to them. If an issuer wants to sell exempt market securities to you:
• the issuer does not have to give you a prospectus (a document that describes the investment in detail and gives you some legal protections), and
• the securities do not have to be sold by an investment dealer registered with a securities regulatory authority or regulator.
There are restrictions on your ability to resell exempt market securities. Exempt market securities are more risky than other securities.
You will receive an offering memorandum Read the offering memorandum carefully because it has important information about the issuer and its securities. Keep the offering memorandum because you have rights based on it. Talk to a lawyer for details about these rights.
You will not receive advice [Instruction: Delete if sold by registrant]
You will not get professional advice about whether the investment is suitable for you. But you can still seek that advice from a registered adviser or registered dealer. In Manitoba, Northwest Territories, Nunavut, Prince Edward Island and Yukon to qualify as an eligible investor, you may be required to obtain that advice.
The securities you are buying are not listed [Instruction: Delete if securities are listed or quoted]
The securities you are buying are not listed on any stock exchange, and they may never be listed. You may never be able to sell these securities.
The issuer of your securities is a non-reporting issuer [Instruction: Delete if issuer is reporting]
A non-reporting issuer does not have to publish financial information or notify the public of changes in its business. You may not receive ongoing information about this issuer.
For more information on the exempt market, call your local securities regulatory authority or regulator.
[Instruction: Insert the name, telephone number and website address of the securities regulatory authority or regulator in the jurisdiction in which you are selling these securities.]
[Instruction: The purchaser must sign 2 copies of this form. The purchaser and the issuer must each receive a signed copy.]
Form 45-106F6, item 3 BEFORE amended by BC Reg 66/2015, effective May 5, 2015.
Item 3: Issuer's industry
Indicate the industry of the issuer by checking the appropriate box below.
| [ ] | Bio-tech | Mining | |
| Financial Services | [ ] exploration/development | ||
| [ ] investment companies and funds | [ ] production | ||
| [ ] mortgage investment companies | [ ] oil and gas | ||
| [ ] | Forestry | [ ] Real estate | |
| [ ] | Hi-tech | [ ] Utilities | |
| [ ] | Industrial | [ ] Other (describe) | |
Form 45-106F6 BEFORE repealed by BC Reg 161/2016, effective June 30, 2016.
[en. B.C. Reg. 170/2011, s. 6; am. B.C. Reg. 66/2015, Sch. B, s. 11.]
British Columbia Report of Exempt Distribution
This is the form required under section 6.1 of National Instrument 45-106 for a report of exempt distribution in British Columbia.
Issuer/underwriter information
Item 1: Issuer/underwriter name and contact information
A. State the following:
• the full name of the issuer of the security distributed. Include the former name of the issuer if its name has changed since this report was last filed;
• the issuer's website address; and
• the address, telephone number and email address of the issuer's head office.
B. If an underwriter is completing this report, state the following:
• the full name of the underwriter;
• the underwriter's website address; and
• the address, telephone number and email address of the underwriter's head office.
Item 2: Reporting issuer status
A. State whether the issuer is or is not a reporting issuer and, if reporting, each of the jurisdictions in which it is reporting.
B. If the issuer is an investment fund managed by an investment fund manager registered in a jurisdiction of Canada, name the investment fund manager and state the jurisdiction(s) where it is registered.
Item 3: Issuer's industry
Indicate the industry of the issuer by checking the appropriate box below.
| [ ] Bio-tech | Mining | |
| Financial Services | [ ] exploration/development | |
| [ ] investment companies and funds | [ ] production | |
| [ ] mortgage investment companies | [ ] Oil and gas | |
| [ ] securitized products issuers | [ ] Real estate | |
| [ ] Forestry | [ ] Utilities | |
| [ ] Hi-tech | [ ] Other (describe) | |
| [ ] Industrial | ........................................... |
Item 4: Insiders and promoters of non-reporting issuers
If the issuer is an investment fund managed by an investment fund manager registered in a jurisdiction of Canada, do not complete this table.
If the issuer is not a reporting issuer in any jurisdiction of Canada, complete the following table by providing information about each insider and promoter of the issuer. If the insider or promoter is not an individual, complete the table for directors and officers of the insider or promoter.
| Information about insiders and promoters | |||
| Full name, municipality and country of principal residence | All positions held (e.g., director, officer, promoter and/or holder of more than 10% of voting securities) | Number and type of securities of the issuer beneficially owned, or directly or indirectly controlled, on the distribution date, including any securities purchased under the distribution | Total price paid for all securities beneficially owned, or directly or indirectly controlled, on the distribution date, including any securities purchased under the distribution (Canadian $) |
Details of distribution
Item 5: Distribution date
State the distribution date. If this report is being filed for securities distributed on more than one distribution date, state all distribution dates.
Item 6: Number and type of securities
For each security distributed:
• describe the type of security;
• state the total number of securities distributed. If the security is convertible or exchangeable, describe the type of underlying security, the terms of exercise or conversion and any expiry date; and
• if the issuer is an investment fund managed by an investment fund manager registered in a jurisdiction of Canada, state the exemption(s) relied on. If more than one exemption is relied on, state the amount raised using each exemption.
Item 7: Geographical information about purchasers
Complete the following table for each Canadian and foreign jurisdiction where purchasers of the securities reside. Do not include in this table information about securities issued as payment of commissions or finder's fees disclosed under item 9 of this report. The information provided in this table must reconcile with the information provided in item 8 and Schedules I and II.
| Each Canadian and foreign jurisdiction where purchasers reside | Number of purchasers | Price per security (Canadian $)1 | Total dollar value raised from purchasers in the jurisdiction (Canadian $) |
| Total number of purchasers | |||
| Total dollar value of distribution in all jurisdictions (Canadian $) | |||
| Note 1 | If securities are issued at different prices, list the highest and lowest price for which the securities were sold. |
Item 8: Information about purchasers
Instructions
A. If the issuer is an investment fund managed by an investment fund manager registered in a jurisdiction of Canada, do not complete this table.
B. Information about the purchasers of securities under the distribution is required to be disclosed in different tables in this report. Complete
• the following table for each purchaser that is not an individual, and
• the tables in Schedules I and II of this report for each purchaser who is an individual.
Do not include in the tables information about securities issued as payment of commissions or finder's fees disclosed under item 9 of this report.
C. An issuer or underwriter completing this table in connection with a distribution using the exemption in subparagraph 6.1 (1) (j) [TSX Venture Exchange offering] of National Instrument 45-106 Prospectus and Registration Exemptions may choose to replace the information in the first column with the total number of purchasers, whether individuals or not, by jurisdiction. If the issuer or underwriter chooses to do so, then the issuer or underwriter is not required to complete the second column or the tables in Schedules I and II.
| Information about non-individual purchasers | |||||
| Full name and address of purchaser and name and telephone number of a contact person | Indicate if the purchaser is an insider (I) of the issuer or a registrant (R) | Number and type of securities purchased | Total purchase price (Canadian $) | Exemption relied on | Date of distribution (yyyy-mm-dd) |
Commissions and finder's fees
Item 9: Commissions and finder's fees
Instructions
A. Complete the following table by providing information for each person who has received or will receive compensation in connection with the distribution(s). Compensation includes commissions, discounts or other fees or payments of a similar nature. Do not include information about payments for services incidental to the distribution, such as clerical, printing, legal or accounting services.
B. If the securities being issued as compensation are or include convertible securities, such as warrants or options, add a footnote describing the terms of the convertible securities, including the term and exercise price. Do not include the exercise price of any convertible security in the total dollar value of the compensation unless the securities have been converted.
| Full name and address of the person being compensated | Indicate if the person being compensated is an insider (I) of the issuer or a registrant (R) | Compensation paid or to be paid (cash and/or securities) | ||||
| Cash (Canadian $) | Securities | Total dollar value of compensation (Canadian $) | ||||
| Number and type of securities issued | Price per security (Canadian $) | Exemption relied on and date of distribution (yyyy-mm-dd) | ||||
Certificate
On behalf of the [issuer/underwriter], I certify that the statements made in this report are true.
Date: ......................................
..............................................................................................
Name of [issuer/underwriter] (please print)
..............................................................................................
Print name, title and telephone number of person signing
..............................................................................................
Signature
Instruction
The person certifying this report must complete the information in the square brackets by deleting the inapplicable word. For electronic filings, substitute a typewritten signature for a manual signature.
Item 10: Contact information
State the name, title and telephone number of the person who may be contacted with respect to any questions regarding the contents of this report, if different than the person signing the certificate.
IT IS AN OFFENCE TO MAKE A MISREPRESENTATION IN THIS REPORT.
Notice — Collection and use of personal information
The British Columbia Securities Commission collects and uses the personal information required to be included in this report for the administration and enforcement of the Securities Act. If you have any questions about the collection and use of this information, contact the British Columbia Securities Commission at the following:
British Columbia Securities Commission
P.O. Box 10142, Pacific Centre
701 West Georgia Street
Vancouver, British Columbia V7Y 1L2
Telephone: (604) 899-6500
Toll free across Canada: 1-800-373-6393
Facsimile: (604) 899-6581
Schedule I
Public information about purchasers who are individuals
A. If the issuer is an investment fund managed by an investment fund manager registered in a jurisdiction of Canada, do not complete the following table or the table in Schedule II.
B. Information about the purchasers of securities under the distribution is required to be disclosed in different tables in this report. Complete
• the following table and the table in Schedule II for each purchaser who is an individual, and
• the table in item 8 for each purchaser that is not an individual.
Do not include in the tables information about securities issued as payment of commissions or finder's fees disclosed under item 9 of this report.
C. An issuer or underwriter filing this report in connection with a distribution using the exemption in subparagraph 6.1 (1) (j) [TSX Venture Exchange offering] of National Instrument 45-106 Prospectus and Registration Exemptions may choose to replace the information in the first column of the table in item 8 with the total number of purchasers, whether individuals or not, by jurisdiction. If the issuer or underwriter chooses to do so, then the issuer or underwriter is not required to complete the following table or the table in Schedule II.
D. The information in the following table is available for public inspection at the British Columbia Securities Commission during normal business hours.
| Public information about purchasers who are individuals | ||||
| Unless exempted by the British Columbia Securities Commission, a person must not, directly or indirectly, use the information in this table, in whole or in part, for any purpose other than research concerning the issuer for the person's own investment purpose. | ||||
| Full name of purchaser | Indicate if the purchaser is an insider (I) of the issuer or a registrant (R) | Number and type of securities purchased | Total purchase price (Canadian $) | Date of distribution (yyyy-mm-dd) |
Schedule II
Confidential information about purchasers who are individuals
A. Complete the following table for each purchaser who is an individual. The information in this table must reconcile with the table in Schedule I.
B. The information in the following table will not be placed on the public file of the British Columbia Securities Commission.
| Confidential information about purchasers who are individuals | |
| Full name, residential address and telephone number of purchaser | Exemption relied on |
Form 45-106F14, item 9 (part) BEFORE amended by BC Reg 139/2023, effective June 9, 2023.
"This document contains key information you should know about [insert name of issuer]. You can find more details in the issuer's rights offering circular. To obtain a copy, visit [insert name of issuer]'s profile on the SEDAR website, visit [insert the website of the issuer], ask your dealer representative for a copy or contact [insert name of contact person of the issuer] at [insert the phone number or email of the contact person of the issuer]. You should read the rights offering circular, along with [insert name of issuer]'s continuous disclosure record, to make an informed decision."
Form 45-106F15, Part 3, section 18 table BEFORE amended by BC Reg 222/2022, effective November 21, 2022.
| Assuming minimum offering or stand-by commitment only | Assuming 15% of offering | Assuming 50% of offering | Assuming 75% of offering | Assuming 100% of offering | ||
| A | Amount to be raised by this offering | $ | $ | $ | $ | $ |
| B | Selling commissions and fees | $ | $ | $ | $ | $ |
| C | Estimated offering costs (e.g., legal, accounting, audit) | $ | $ | $ | $ | $ |
| D | Available funds: D = A - (B+C) | $ | $ | $ | $ | $ |
| E | Additional sources of funding required | $ | $ | $ | $ | $ |
| F | Working capital deficiency | $ | $ | $ | $ | $ |
| G | Total: G = (D+E) - F | $ | $ | $ | $ | $ |
Form 45-106F15, item 40 (part) BEFORE amended by BC Reg 139/2023, effective June 9, 2023.
Provide the SEDAR website address and state that a security holder can access the issuer's continuous disclosure from that site. If applicable, provide the issuer's website address.