| Copyright © King's Printer, Victoria, British Columbia, Canada | Licence Disclaimer |
| B.C. Reg. 346/88 O.C. 1573/88 | Deposited August 29, 1988 effective September 1, 1988 |
[Last amended August 12, 2024 by B.C. Reg. 195/2024]
1 (1) In this regulation, "Act" means the Family Maintenance Enforcement Act.
(2) In the Act, "clerk of the court" means a person, however described, that performs the duties of a clerk of the court.
[en. B.C. Reg. 227/2016, s. 1.]
2 (1) Subject to the Act and this regulation, for the purposes of the Act and this regulation,
(a) the provisions of the Family Law Act and the Provincial Court Family Rules apply in a Provincial Court proceeding, and
(b) the provisions of the Family Law Act and Supreme Court Family Rules apply in a Supreme Court family law case.
(2) The Offence Act applies to
(a) the service of a summons under section 23 (1) of the Act, and
(b) the service and execution of a warrant for arrest under section 23 (2) of the Act and of a committal order made under section 23 (4) of the Act.
[am. B.C. Regs. 196/90, s. 2; 82/93, Sch., s. 1; 151/2010; 366/2012; 23/2021, App. 6, s. 1.]
3 (1) Subject to subsection (2), the prescribed forms for the purposes of the Act and this regulation are the following as set out in the Schedule:
(b) the following notices of attachment:
(i) for attachment of a debtor's federal salary, as defined in section 13 (1), notice of attachment (net pay);
(ii) for attachment in any other case, notice of attachment (gross pay);
(d) either of the 2 forms of statement of arrears;
(e) statement of income and expenses;
(f) notice to attend payment conference;
(g) consent to register a transfer or an agreement for sale of a manufactured home or to issue a transport permit for a manufactured home.
(1.1) More than one notice of attachment referred to in subsection (1) (b) may be served on an attachee in respect of the same debtor.
(2) If a form listed in subsection (1) is transmitted electronically, the prescribed form may be a digital form that contains the information required in the applicable form set out in the Schedule.
[en. B.C. Reg. 160/95, s. 1; am. B.C. Regs. 91/98, s. 1; 182/2011, s. 1; 227/2016, s. 2.]
4 The prescribed manner for filing a maintenance order under section 3 (1) or 6 (6) of the Act is to provide the director with a copy of the maintenance order.
[en. B.C. Reg. 182/2011, s. 2.]
5 The prescribed circumstances for the purposes of section 6 (3) (b) of the Act are that the director has reason to believe
(a) the debtor has left the Province,
(b) the creditor, in relation to the maintenance order,
(i) has verbally or in writing provided false information,
(ii) has falsified the certification of a court order or other document,
(iii) has falsified evidence that a document was witnessed or sworn to,
(iv) has received, without advising the director, payments of maintenance directly from the debtor while the maintenance order was filed under section 3 of the Act,
(v) has provided insufficient information or has refused to execute documents necessary to facilitate the monitoring or enforcement of the order, or
(c) the creditor or debtor has died, or
(d) no further regular payments are due under the maintenance order and the arrears are under $50.
[en. B.C. Reg. 266/92, s. 2; am. B.C. Reg. 160/95, s. 2.]
5.1 (1) If a maintenance order is withdrawn from filing because the director has reason to believe the creditor has contravened section 5 (1) of the Act or has done anything described in section 5 (b) (i) to (v) of this regulation, the director may refuse to accept the order for refiling until 6 months after the withdrawal date.
(2) If the creditor has withdrawn a maintenance order not less than twice in any 2 year period, the director may refuse to accept the order for refiling until 6 months after the latest withdrawal date.
[en. B.C. Reg. 160/95, s. 3.]
6.1 (1) The rate of interest payable under section 11.1 (2) of the Act is an annual rate equal to the prime rate of the principal banker to the Government.
(2) During the first 6 months of a year, interest shall be calculated at the rate under subsection (1) as at January 1 and during the last 6 months interest shall be calculated at the rate under subsection (1) as at July 1.
(3) Subject to subsection (4), interest accrues on maintenance payments in arrears from the date the arrears become payable.
(4) Maintenance payments in arrears on the date section 11.1 of the Act comes into force begin to accrue interest from that date.
(5) For the purposes of subsections (3) and (6), maintenance becomes payable
(a) on the payment date specified in the maintenance order, or
(b) on the last day of the month in which the maintenance became payable, if no date is specified in the maintenance order.
(6) Despite subsection (3), if maintenance is paid within 15 days after it becomes payable, no interest is payable on the amount paid.
[en. B.C. Reg. 358/96, s. 2; am. B.C. Reg. 129/2019, s. 1.]
6.2 (1) Interest must be calculated daily as simple interest and accrued each calendar month.
(2) If a calendar month for which a calculation is being made under subsection (1) has not ended, the accrual referred to in subsection (1) respecting the calendar month shall be for the portion of the month that has passed at the time of the calculation.
[en. B.C. Reg. 358/96, s. 2.]
6.3 Section 25 (2) to (6) of the Interpretation Act does not apply to the calculation of any period of days referred to in section 6.1 (6), 6.2 or 6.4.
[en. B.C. Reg. 358/96, s. 2.]
6.4 (1) No interest accrues on arrears of maintenance during any period in respect of which the debtor establishes that the debtor received income assistance.
(2) For the purposes of subsection (1), "income assistance" means the following:
(a) income assistance paid under section 28 of B.C. Reg. 263/2002, the Employment and Assistance Regulation;
(b) disability assistance paid under section 24 of B.C. Reg. 265/2002, the Employment and Assistance for Persons with Disabilities Regulation;
(c) income assistance paid under the Aboriginal Affairs and Northern Development Canada Income Assistance Program to eligible individuals.
[en. B.C. Reg. 358/96, s. 2; am. B.C. Regs. 182/2011, s. 3; 138/2014.]
6.5 (1) For the purpose of section 11.1 (3) of the Act, the director must not enforce payment of interest that accrued before the date the maintenance order was most recently filed with the director, except interest fixed and included by the court in that order.
(2) The following dates are not considered to be "the date the maintenance order was most recently filed with the director" for the purpose of subsection (1) if they differ from the date the maintenance order itself is filed:
(a) the date an order for costs is filed;
(b) the date an order for variation or enforcement of the maintenance order is filed.
[en. B.C. Reg. 358/96, s. 2.]
7 The prescribed documents for the purposes of sections 12 (2), 13 (2) and 14 (1) of the Act are the following:
(a) a copy, certified by Revenue Canada, of each of the 3 most recent income tax returns filed with Revenue Canada by the debtor and of the assessment notice that relates to each of those returns;
(b) a copy of each pay stub or similar statement received during the past 6 months by or on behalf of the debtor from the debtor's employer to account for the debtor's employee income and deductions;
(c) a copy of each statement of income other than employee income received during the past 6 months by or on behalf of the debtor, including unemployment insurance, disability, pension, superannuation and workers' compensation benefits;
(d) a copy of the most recent assessment notice for each property in which the debtor holds a beneficial interest;
(e) a copy of each statement of account received during the past 12 months by the debtor from a savings institution, insurer, broker or other investment institution;
(f) a copy of each credit card statement the debtor has received during the past 12 months.
[en. B.C. Reg. 160/95, s. 5.]
8 (1) A notice of attachment may be served on an attachee
(a) by mailing it by ordinary or registered mail to the attachee's address,
(d) by electronic transmission using secure web services or by other similar secure means.
(2) An attachment order may be served on an attachee
(a) by mailing a copy of it by registered mail to the attachee's address,
(d) by electronic transmission using secure web services or by other similar secure means.
(3) Repealed. [B.C. Reg. 160/95, s. 6.]
(3.1) A notice of attachment sent in accordance with subsection (1) or (2) is deemed to have been served on an attachee
(a) if sent by mail, 14 business days after being sent,
(b) if sent by facsimile or electronic transmission, 3 business days after being sent.
(4) and (5) Repealed. [B.C. Reg. 160/95, s. 6.]
(6) If the attachee has more than one place for the service of process and service of a notice of attachment or attachment order is made at one of these places that, but for this subsection, would not serve to attach the attachee's debt to the debtor, the notice is deemed properly served for the purpose of attachment 48 hours after the time of actual service.
(7) Subject to subsections (1) and (2), rules 182 to 185 and 187 of the Provincial Court Family Rules applies to service of a notice of attachment or attachment order on an attachee.
[en. B.C. Reg. 82/93, Sch., s. 2; am. B.C. Regs. 160/95, s. 6; 182/2011, s. 4; 23/2021, App. 6, s. 2.]
9 (1) For the purposes of section 16 (1) of the Act, the response of an attachee to a notice of attachment shall
(a) be in the response by attachee form set out in the Schedule,
(b) state the particulars of the attachee's indebtedness to the debtor, and
(c) be filed with the director by the attachee within 10 days of service of the notice of attachment.
(2) An application for the purposes of section 16 (4) of the Act shall be made within 10 days after the refusal of the director, at the court location where the maintenance order was filed, and shall be in the form usually used for application to the court.
[am. B.C. Regs. 160/95, s. 7; 182/2011, s. 5.]
9.1 (1) The following information must be included in the notice required, under section 15 (3.2) of the Act, to be sent by an attachee to the director and the joint, or joint and several, account holders of a deposit account in respect of the deposit account:
(c) the name of any joint, or joint and several, account holders of the deposit account;
(d) the name of the person who may be contacted on behalf of the director by the joint, or joint and several, account holders of the deposit account regarding the notice of attachment;
(e) the number of the deposit account;
(f) the balance in the deposit account at the time the notice was served on the attachee;
(g) the amount in the deposit account that has been attached and paid to the director;
(h) the right of the joint, or joint and several, account holders to apply to the court for an order that all or part of the money paid to the director by the attachee be returned to the joint, or joint and several, account holders.
(2) The attachee must send the notice required under section 15 (3.2) of the Act to
(a) the joint, or joint and several, account holders, by ordinary mail to the most recent address recorded in the records of the attachee for that account holder, within 2 days of service of a notice of attachment, and
(b) the director, by ordinary mail or by electronically transmitting the information required under subsection (1) to the director using secure web services or by other similar secure means within 5 days of service of a notice of attachment.
[en. B.C. Reg. 19/2009, s. 1; am. B.C. Reg. 182/2011, s. 6.]
11 At the request of the director, an attachee shall provide the director with a written statement setting out
(a) the period during which the attachee paid wages, salary or other remuneration to the debtor,
(b) the particulars of the exemptions and deductions made by the attachee from the salary, wages or other remuneration paid to the debtor during that period, and
(c) any payments made by the attachee to the debtor during that period.
12 The prescribed circumstances for the purposes of section 16 (8) (c) of the Act are that the maintenance order has been withdrawn under section 6 of the Act.
12.1 The prescribed payments and benefits for the purposes of section 25 of the Act are
(a) payments under the Medical and Health Care Services Act,
(b) benefits under the Workers Compensation Act,
(c) payments under the Criminal Injury Compensation Act, and
(d) payments by the Insurance Corporation of British Columbia under the Insurance (Vehicle) Act.
[en. B.C. Reg. 160/95, s. 9; am. B.C. Reg. 148/2007.]
"federal benefits" means benefits payable to a debtor under
(a) Repealed. [B.C. Reg. 19/2009, s. 2 (b).]
(b) the Employment Insurance Act (Canada),
(c) section 3, 11, 19 or 21 of the Old Age Security Act (Canada), or
(d) the Canada Pension Plan,
but does not include benefits paid under the Employment Insurance Act (Canada) to a province or municipality on behalf of the debtor;
"federal salary" has the same meaning as "salary" in the Garnishment, Attachment and Pension Diversion Act (Canada);
"fee for service" means an amount payable to a debtor for work or services performed by the debtor other than as an employee, and includes
(a) payments under the Medical and Health Care Services Act,
(b) payments by dental and other insurers for dental and orthodontic services, and
(c) fees payable under Legal Services Society Act;
"gross amount", in relation to any money or other benefits payable to a debtor, means the amount before any deductions are made, including, but not limited to, deductions
(a) under an enactment of Canada or a province of Canada,
(b) under a collective agreement or other agreement, or
(c) in accordance with an assignment or other authorization by the debtor;
"non-deductible maintenance" means maintenance owed under a maintenance order that includes a provision requiring the payment of an amount that
(a) is a child support amount as defined in the Income Tax Act (Canada), and
(b) is not deductible against income for the purposes of the Income Tax Act (Canada);
"remuneration" means the gross amount of
(a) wages, salary, commissions and other money payable to a debtor by the debtor's employer for work or services performed by the debtor as an employee,
(b) benefits payable on a periodic basis to a debtor under a pension or superannuation plan or under the Workers Compensation Act, or
(c) benefits payable on a periodic basis to a debtor under an insurance policy for long term or short term disability insurance,
but does not include federal benefits or federal salary.
(2) Subject to subsection (2.1), if a debtor's remuneration or federal salary is attached under a notice of attachment, the debtor is entitled to an exemption in the amount determined by the attachee
(a) in the case of regularly scheduled remuneration, in accordance with either subsection (3) or subsection (4),
(a.1) in the case of regularly scheduled payment of federal salary, in accordance with either subsection (6.1) or (6.3),
(b) in the case of remuneration that is additional to and separate from the debtor's regularly scheduled remuneration, by applying subsection (3) (a), and
(c) in the case of payment of federal salary that is additional to and separate from the debtor's regularly scheduled payment of federal salary, by applying subsection (6.1) (a).
(2.1) If a debtor's remuneration or federal salary is attached under a notice of attachment that relates to a default in the payment of non-deductible maintenance, the debtor is entitled to an exemption in the amount determined by the attachee
(a) in the case of regularly scheduled remuneration, in accordance with either subsection (3.1) or (4.1),
(a.1) in the case of regularly scheduled payment of federal salary, in accordance with either subsection (6.2) or (6.4),
(b) in the case of remuneration that is additional to and separate from the debtor's regularly scheduled remuneration, by applying subsection (3.1) (a), and
(c) in the case of payment of federal salary that is additional to and separate from the debtor's regularly scheduled payment of federal salary, by applying subsection (6.2) (a).
(3) The amount of a debtor's remuneration exempt under subsection (2) (a) from attachment may be determined as follows:
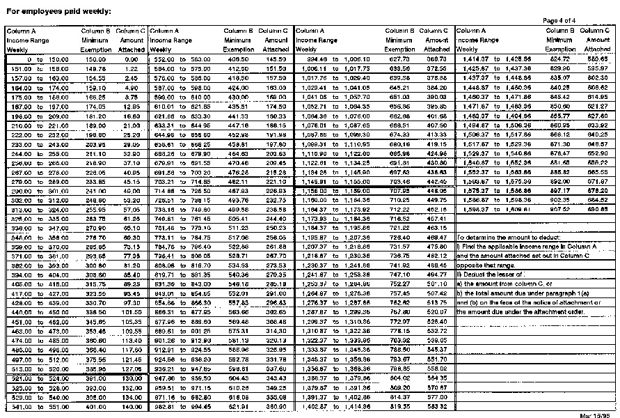
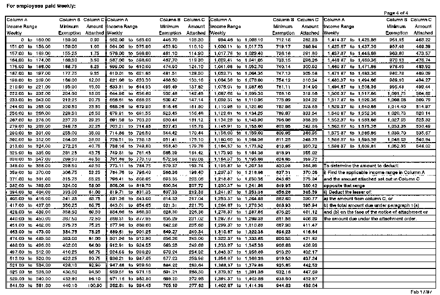
(a) if the remuneration is paid once a week, by adding the following:
(ii) 65% of any remuneration above $150 and not above $520;
(iii) 50% of any remuneration above $520 and not above $1 155;
(iv) 45% of any remuneration above $1 155;
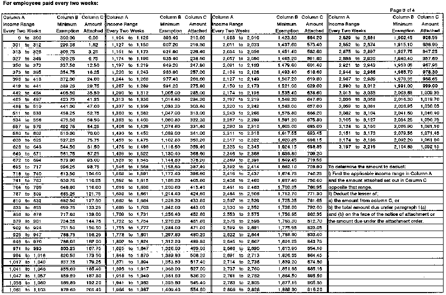
(b) if the remuneration is paid once every 2 weeks, by adding the following:
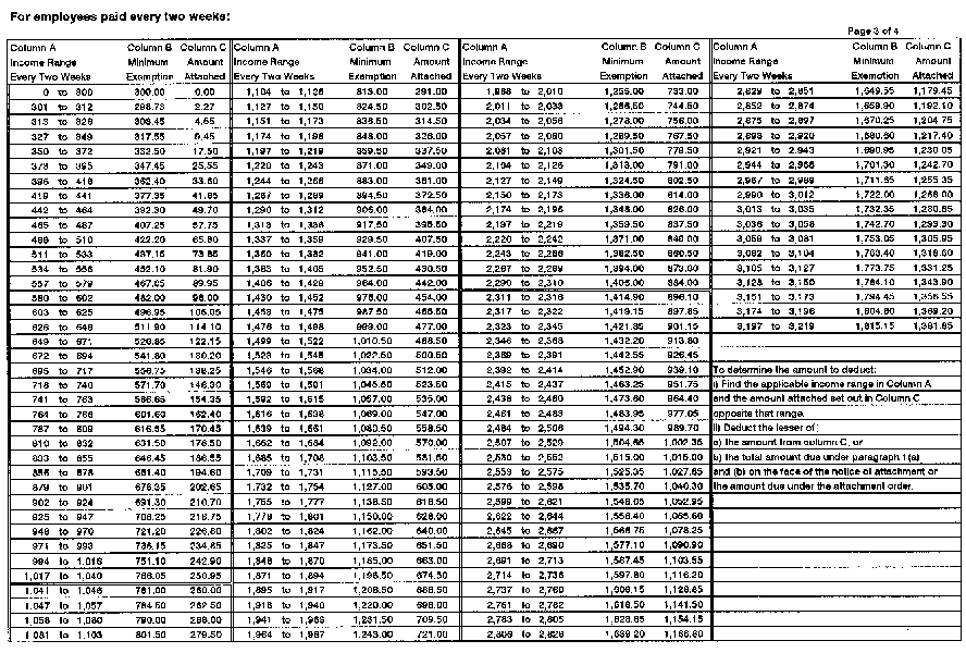
(ii) 65% of any remuneration above $300 and not above $1 040;
(iii) 50% of any remuneration above $1 040 and not above $2 310;
(iv) 45% of any remuneration above $2 310;
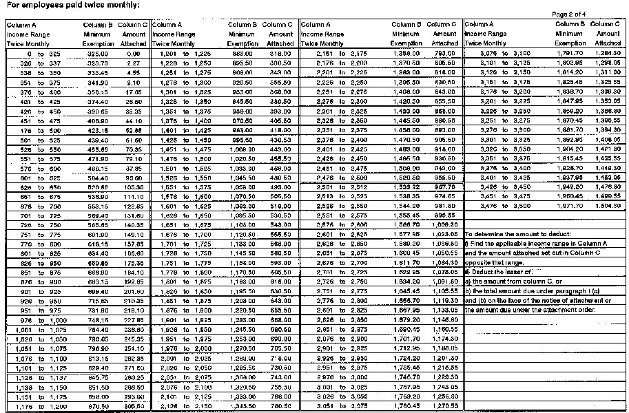
(c) if the remuneration is paid twice a month, by adding the following:
(ii) 65% of any remuneration above $325 and not above $1 125;
(iii) 50% of any remuneration above $1 125 and not above $2 500;
(iv) 45% of any remuneration above $2 500;
(d) if the remuneration is paid monthly, by adding the following:
(ii) 65% of any remuneration above $650 and not above $2 250;
(iii) 50% of any remuneration above $2 250 and not above $5 000;
(iv) 45% of any remuneration above $5 000;
(e) if the remuneration is paid otherwise than as set out in paragraphs (a) to (d), by calculating the annual remuneration based on the remuneration for the actual pay period, dividing the annual remuneration by 12 and applying paragraph (d).
(3.1) The amount of a debtor's remuneration exempt under subsection (2.1) (a) from attachment may be determined as follows:
(a) if the remuneration is paid once a week, by adding the following:
(ii) 75% of any remuneration above $150 and not above $520;
(iii) 60% of any remuneration above $520 and not above $1 155;
(iv) 55% of any remuneration above $1 155;
(b) if the remuneration is paid once every 2 weeks, by adding the following:
(ii) 75% of any remuneration above $300 and not above $1 040;
(iii) 60% of any remuneration above $1 040 and not above $2 310;
(iv) 55% of any remuneration above $2 310;
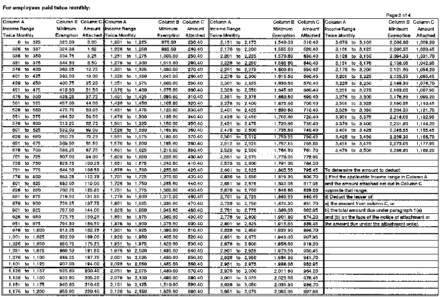
(c) if the remuneration is paid twice a month, by adding the following:
(ii) 75% of any remuneration above $325 and not above $1 125;
(iii) 60% of any remuneration above $1 125 and not above $2 500;
(iv) 55% of any remuneration above $2 500;
(d) if the remuneration is paid monthly, by adding the following:
(ii) 75% of any remuneration above $650 and not above $2 250;
(iii) 60% of any remuneration above $2 250 and not above $5 000;
(iv) 55% of any remuneration above $5 000;
(e) if the remuneration is paid otherwise than as set out in paragraphs (a) to (d), by calculating the annual remuneration based on the remuneration for the actual pay period, dividing the annual remuneration by 12 and applying paragraph (d).
(4) If a debtor's remuneration is payable with the frequency and is within a range set out in any column A of Table 1, the amount exempt under subsection (2) (a) from attachment may be determined by deducting from the remuneration the amount set out opposite that range in column C.
(4.1) If the remuneration of a debtor is attached under a notice of attachment referred to in subsection (2.1) and the debtor's remuneration is payable with the frequency and is within a range set out in any column A of Table 2, the amount exempt under subsection (2.1) (a) from attachment may be determined by deducting from the remuneration the amount set out opposite that range in column C.
(5) Subject to subsection (5.1), 50% of any fee for service is exempt from attachment under a notice of attachment.
(5.1) If a debtor's remuneration or federal salary is attached under a notice of attachment that relates to a default in the payment of non-deductible maintenance, 65% of any fee for service is exempt from attachment under the notice of attachment.
(6) Seventy-five percent of federal benefits are exempt from attachment under a notice of attachment.
(6.1) The amount of a debtor's federal salary exempt under subsection (2) (a.1) from attachment may be determined as follows:
(a) if federal salary is paid once a week, by adding the following:
(ii) 55% of any federal salary above $125 and not above $425;
(iii) 20% of any federal salary above $425 and not above $925;
(iv) 0% of any federal salary above $925;
(b) if federal salary is paid once every 2 weeks, by adding the following:
(ii) 55% of any federal salary above $250 and not above $850;
(iii) 20% of any federal salary above $850 and not above $1 845;
(iv) 0% of any federal salary above $1 845;
(c) if federal salary is paid twice a month, by adding the following:
(ii) 55% of any federal salary above $275 and not above $925;
(iii) 20% of any federal salary above $925 and not above $2 000;
(iv) 0% of any federal salary above $2 000;
(d) if federal salary is paid monthly, by adding the following:
(ii) 55% of any federal salary above $550 and not above $1 850;
(iii) 20% of any federal salary above $1 850 and not above $4 000;
(iv) 0% of any federal salary above $4 000;
(e) if federal salary is paid otherwise than as set out in paragraphs (a) to (d), by calculating the annual federal salary based on the federal salary for the actual pay period, dividing the annual federal salary by 12 and applying paragraph (d).
(6.2) The amount of a debtor's federal salary exempt under subsection (2.1) (a.1) from attachment may be determined as follows:
(a) if federal salary is paid once a week, by adding the following:
(ii) 65% of any federal salary above $125 and not above $425;
(iii) 40% of any federal salary above $425 and not above $925;
(iv) 0% of any federal salary above $925;
(b) if federal salary is paid once every 2 weeks, by adding the following:
(ii) 65% of any federal salary above $250 and not above $850;
(iii) 40% of any federal salary above $850 and not above $1 845;
(iv) 0% of any federal salary above $1 845;
(c) if federal salary is paid twice a month, by adding the following:
(ii) 65% of any federal salary above $275 and not above $925;
(iii) 40% of any federal salary above $925 and not above $2 000;
(iv) 0% of any federal salary above $2 000;
(d) if federal salary is paid monthly, by adding the following:
(ii) 65% of any federal salary above $550 and not above $1 850;
(iii) 40% of any federal salary above $1 850 and not above $4 000;
(iv) 0% of any federal salary above $4 000;
(e) if federal salary is paid otherwise than as set out in paragraphs (a) to (d), by calculating the annual federal salary based on the federal salary for the actual pay period, dividing the annual federal salary by 12 and applying paragraph (d).
(6.3) If a debtor's federal salary is payable with the frequency and is within a range set out in column A of Table 3, the amount exempt under subsection (2) (a.1) from attachment may be determined by deducting from the federal salary the amount set out opposite that range in column C.
(6.4) If federal salary of a debtor is attached under a notice of attachment referred to in subsection (2.1) and the debtor's federal salary is payable with the frequency and is within a range set out in any column A of Table 4, the amount exempt under subsection (2.1) (a.1) from attachment may be determined by deducting from the federal salary the amount set out opposite that range in column C.
(7) Subsections (2) to (5) and (6.1) to (6.4) apply to a notice of attachment that is served after this section comes into force.
(8) Subsections (2), (3), (4), (5), (6.1), (6.3) and (7) apply to an attachment order unless the court orders otherwise.
(8.1) Subsections (2.1), (3.1), (4.1), (5.1), (6.2) and (6.4) apply to an attachment order that relates to a default in the payment of non-deductible maintenance unless the court orders otherwise.
(9) Section 3 of the Court Order Enforcement Act continues to apply for determining the amount of wages, salary or other remuneration that is exempt from attachment under a notice of attachment that was issued or served before this section comes into force.
(10) Subsection (6) applies to any amount that is payable by an attachee after this section comes into force, whether the notice of attachment was issued or served before or after this section comes into force.
[en. B.C. Reg. 160/95, s. 10; am. B.C. Regs. 344/97, ss. 1 to 5; 19/2009, ss. 2 to 6.]
13.1 (1) Subject to subsection (3), on application by a debtor named in a notice of attachment,
(a) the director may increase the amount that under section 13 is exempt from attachment, and
(b) if the director refuses to do so, the court may, by order, increase the amount of the exemption.
(2) Subject to subsection (3), on application by the debtor, the court may, by order, increase the amount that under section 13 is exempt from attachment under an attachment order.
(3) An exemption may be increased only if the increase is necessary to enable the debtor to meet the debtor's basic needs for food, shelter and clothing.
(4) On application by the director or, if the creditor's maintenance order is not filed with the director, by the creditor, the court may decrease the amount that under section 13 is exempt from attachment under a notice of attachment or attachment order.
(5) The court's power under subsection (4) to decrease an exemption is subject to any regulations made under section 61 (1) (a.1) of the Family Orders and Agreements Enforcement Assistance Act (Canada).
[en. B.C. Reg. 160/95, s. 10; am. B.C. Reg. 64/2021, s. 3.]
13.2 (1) The prescribed documents for the purposes of section 39 of the Act are the following:
(a) for an individual, a copy, certified by Revenue Canada, of each of the 3 most recent income tax returns filed by the individual with Revenue Canada and of the assessment notice that relates to each of those returns;
(i) a declaration, signed by the proprietor, of the name of the proprietorship, and
(ii) a detailed declaration of the assets and liabilities of the proprietorship;
(i) a copy of the most recent declaration filed under the Partnership Act showing the firm name and the name of each member, and
(ii) a detailed declaration of the assets and liabilities of the partnership;
(i) a copy of its certificate of incorporation,
(ii) a copy of its register of members and its register of directors,
(iii) a copy of its most recent annual report filed under the Company Act or under the Canada Business Corporations Act,
(iv) a detailed declaration of its assets and liabilities,
(v) a list of all corporations with which it is affiliated within the meaning in the Company Act or the Canada Business Corporations Act, and
(vi) a copy, certified by Revenue Canada, of each of the 3 most recent income tax returns filed by the corporation with Revenue Canada and of the assessment notice that relates to each of those returns.
(2) For the purposes of section 39 of the Act, "financial statement" means
(a) in relation to an individual, a statement of finances in the applicable form set out in the Schedule, and
(b) in relation to a proprietorship, partnership or corporation, a complete set of financial statements, including a balance sheet, a statement of income or loss and all notes and schedules relating to the financial statements.
[en. B.C. Reg. 160/95, s. 11.]
13.3 (1) A notice or other document may be served on the director by
(a) mailing the notice or other document by registered mail to any postal address provided by the director for that purpose, or
(b) emailing the notice or other document to an email address provided by the director for that purpose.
(2) If a notice or other document is emailed to the director, the following may be used to prove email transmission:
(a) a printout of the first page of the email message that includes the sender's name, the recipient's email address and the time and date of email transmission, and
(b) a printout of an automatic reply from the recipient's email address.
[en. B.C. Reg. 42/2024, Sch. 1, s. 13.]
14 The director may refuse to accept an uncertified cheque from a person if
(a) a cheque received by the director from that person on any previous occasion did not clear a savings institution due to insufficient funds, or
(b) the person has defaulted in a payment required under section 21 (1) (d) or (e) of the Act.
[en. B.C. Reg. 160/95, s. 12.]
15 If satisfied that a debtor who is a party to a proceeding before the court could have avoided defaulting under a maintenance order, the court may award as costs against the debtor a fixed sum of $400 in favour of the following:
(a) the director, if the maintenance order is filed with the director;
(b) the creditor, if the maintenance order is not filed with the director.
[en. B.C. Reg. 160/95, s. 13.]
16 Within 10 days of ceasing to make payments under a notice of attachment or attachment order, the attachee must advise the director in writing stating
(a) the date and circumstances that resulted in the attachee ceasing to make these payments,
(b) the date and circumstances, if any, for resumption of an obligation of the attachee to pay money to the debtor in the future, and
(c) if payments ceased because the debtor ceased to be employed by the attachee
(i) the name and address of the debtor's new employer, where these are known to the attachee, and
(ii) the pay, salary or other monetary benefits to which the debtor became entitled from the attachee on termination.
[en. B.C. Reg. 266/92, s. 4.]
17 A debtor must pay to the director a fee of $150, if the director signs a discharge or postponement of the registration in a land title office of a maintenance order when the debtor still owes arrears under the order.
[en. B.C. Reg. 91/98, s. 2.]
"monthly equivalent amount" means the amount of the periodic payment under the maintenance order multiplied by the monthly equivalent adjustment;
"monthly equivalent adjustment" means
(a) if the frequency of maintenance payment is monthly, 1,
(b) if the frequency of maintenance payment is every 2 weeks, 2.17,
(c) if the frequency of maintenance payment is every 3 weeks, 1.44,
(d) if the frequency of maintenance payment is weekly, 4.33,
(e) if the frequency of maintenance payment is twice per month, 2,
(f) if the frequency of maintenance payment is 3 times per month, 3,
(g) if the frequency of maintenance payment is every 2 months, 0.50,
(h) if the frequency of maintenance payment is every 3 months, 0.33,
(i) if the frequency of maintenance payment is every 4 months, 0.25, or
(j) if the frequency of maintenance payment is every 6 months, 0.17.
(2) For the purpose of section 14.4 of the Act, the annual default fee is
(a) $400 if the monthly equivalent amount is $400 or more,
(b) $0 if the monthly equivalent amount is $26 or less, and
(c) if the monthly equivalent amount is greater than $26 and less than $400, the monthly equivalent amount.
[en. B.C. Reg. 91/98, s. 3.]
19 The prescribed circumstances for the purpose of section 26.1 of the Act are that the debtor is in arrears under a maintenance order at the time the claim is registered.
[en. B.C. Reg. 91/98, s. 4.]
20 The prescribed amount of security for the purpose of section 29.1 (4) of the Act is the amount payable by the debtor under the maintenance order for the 4 month period immediately preceding the date the security is requested by the director.
[en. B.C. Reg. 91/98, s. 5.]
20.01 (1) The notice required to be given under section 29.1 (2) of the Act may be given by
(a) delivering a copy to the debtor,
(a.1) emailing a copy to an email address provided to the director for that purpose,
(b) mailing a copy by ordinary mail to the most recent address shown for the debtor in the records of the director, or
(c) posting a private, secure notice to the debtor on the website operated and maintained by or on behalf of the director.
(2) A notice given under subsection (1) (a.1), (b) or (c) is deemed to be received by the debtor 7 days after the notice is emailed, mailed or posted, as the case may be.
[en. B.C. Reg. 129/2019, s. 2; am. B.C. Reg. 42/2024, Sch. 1, s. 14.]
20.1 (1) The notice required under section 29.1 (2.1) of the Act must be given to the debtor by
(a) delivering a copy to the debtor,
(a.1) emailing a copy to an email address provided to the director for that purpose,
(b) mailing a copy by ordinary mail to the most recent address shown for the debtor in the records of the director, or
(c) posting a private, secure notice to the debtor on the website operated and maintained by or on behalf of the director.
(2) A notice given under subsection (1) (a.1), (b) or (c) is deemed to be received by the debtor 7 days after the notice is emailed, mailed or posted, as the case may be.
[en. B.C. Reg. 23/2021, App. 2; am. B.C. Reg. 42/2024, Sch. 1, s. 15.]
21 The prescribed circumstances for the purpose of section 43 (3) of the Act are that
(a) the debtor is in arrears $2 000 under a maintenance order on the date when the first report is made, and
(b) the debtor is in arrears on the date when any subsequent reports are made.
[en. B.C. Reg. 91/98, s. 3.]
22 (1) For the purposes of section 25.1 (3) of the Act, the prescribed information is
(a) information sufficient to confirm the identity of the debtor, including the following:
(iii) driver's licence number, if the debtor has a driver's licence,
(b) the total amount of the prize to which the debtor is entitled, and
(c) the amount that the corporation is paying to the director.
(2) For the purposes of section 25.1 (4) of the Act, the prescribed prize amount is $9 999.99.
[en. B.C. Reg. 19/2009, s. 8; am. B.C. Reg. 182/2011, s. 7.]
Forms
| Statement of Finances [en. B.C. Reg. 195/2024.] |
| Notice of Attachment (net pay) [en. B.C. Reg. 195/2024.] |
| Notice of Attachment (gross pay) [en. B.C. Reg. 195/2024.] |
| Response by Attachee [en. B.C. Reg. 195/2024.] |
| Statement of Arrears (unsworn) [en. B.C. Reg. 195/2024.] |
| Statement of Arrears (sworn) [en. B.C. Reg. 195/2024.] |
| Statement of Income and Expenses [en. B.C. Reg. 195/2024.] |
| Notice to Attend Payment Conference [en. B.C. Reg. 195/2024.] |
| Personal Property Registry Consent [en. B.C. Reg. 195/2024.] |
[en. B.C. Reg. 160/95, s. 16; am. B.C. Reg. 19/2009, s. 10 (a).]




[en. B.C. Reg. 344/97, s. 7; am. B.C. Reg. 19/2009, s. 10 (b).]




[en. B.C. Reg. 19/2009, s. 10 (c).]




[en. B.C. Reg. 19/2009, s. 10 (d).]




[Provisions relevant to the enactment of this regulation: Family Maintenance Enforcement Act, R.S.B.C. 1996, c. 127, s. 51.]
Copyright © King's Printer, Victoria, British Columbia, Canada