Section 1 definitions of "medical health officer" and "provincial health officer" BEFORE amended by BC Reg 116/2018, effective June 14, 2018.
"medical health officer" means a medical health officer as defined in the Health Act;
"Provincial health officer" means the Provincial health officer appointed under the Health Act;
Section 1 definition of "environmental management area" was added by BC Reg 13/2019, effective January 24, 2019.
Section 1 definition of "wide area remediation plan" BEFORE amended by BC Reg 13/2019, effective January 24, 2019.
"wide area remediation plan" means a remediation plan for a wide area site for one or more specific substances which have originated from one or more sources specified in the plan;
Section 1 definition of "wide area site" BEFORE repealed by BC Reg 13/2019, effective January 24, 2019.
"wide area site" means a site which is designated by a director under section 14;
Section 1 definitions of "decommission a site", site profile form" and "summary of site condition form" BEFORE repealed by BC Regs 131/2020 and 161/2020, effective February 1, 2021.
"decommission a site" means the removal, destruction or treatment of soil, process equipment or buildings, including the removal of storage tanks, in a manner designed to stop or reduce a significant portion of the operations at a site or to significantly change the use of the site;
"site profile form" means the form prescribed in Schedule 1;
"summary of site condition form" means the form set out as Schedule 1.1;
Section 1 definitions of "background concentration", "high density residential use" (part) and "low density residential use" (part) BEFORE amended by BC Reg 133/2022, effective March 1, 2023.
"background concentration" means the concentration of a substance in an environmental medium in a geographic area, but does not include any contribution from local human-made point sources, determined by following director's protocols;
"high density residential land use" means a residential land use in respect of one of the following:
"low density residential land use" means a residential land use in respect of one of the following:
Part 2 BEFORE re-enacted by BC Regs 131/2020 and 161/2020, effective February 1, 2021.
Scope of "industrial or commercial" purpose or activity
2 (1) A person is exempt from the duty to provide a site profile under section 40 (1), (2), (3), (6) and (7) of the Act with respect to industrial or commercial purposes and industrial or commercial activities which are not described in Schedule 2.
(2) Despite subsection (1), a municipality or approving officer may request a person who makes any type of application described in section 40 (1) of the Act to complete sections I to III and XI of the site profile form and provide it to the municipality or approving officer.
[am. B.C. Regs. 244/99, s. 2; 17/2002, s. 2; 322/2004 and 324/2004, s. 2.]
When site profiles must be provided
3 (1) Subject to section 4, a person described in section 40 (1) of the Act must provide a site profile at the time of presenting, in writing, an application or request for approval described in that section of the Act.
(2) Subject to section 4, a municipality undertaking to zone or rezone land in which it has an ownership interest described in section 40 (1) (b) (i) of the Act must provide a site profile to a director not later than 15 days after giving first reading to the applicable bylaw.
(3) Subject to section 4, an owner of real property described in section 40 (2) (b) of the Act must provide a site profile not less than 10 days before the time the owner dismantles a building or structure, or otherwise decommissions a site which was used for an industrial or commercial purpose or activity listed in Schedule 2.
(4) Subject to section 4, a permit holder under the Oil and Gas Activities Act who is described in section 40 (3) of this Act must provide a site profile at the time the permit holder presents, in writing, an application for a certificate of restoration respecting a well or facility under the Oil and Gas Activities Act.
(5) and (6) Repealed. [B.C. Regs. 322/2004 and 324/2004, s. 3 (c).]
(7) Subject to section 4, a vendor of real property described in section 40 (6) of the Act must provide a site profile to a prospective purchaser at least 30 days before the actual transfer of the real property, but if the time between the written agreement for the transfer and the actual transfer is less than 30 days, the vendor must provide the site profile before the date of the agreement for the transfer.
(8) A person described in section 40 (7) of the Act must provide a site profile to a director no later than 10 days after the person takes possession or control of the real property.
[am. B.C. Regs. 244/99, s. 3; 322/2004 and 324/2004, s. 3; 286/2010, s. (a).]
Exemptions respecting the providing of site profiles
4 (1) Subject to subsection (3), a person is exempt from the duty to provide a site profile under section 40 of the Act if any of the following apply:
(a) a site profile has been filed on the site registry and the information in sections II to X of the site profile form accurately reflects the person's current knowledge about the site;
(b) the site is the subject of an approval in principle or certificate of compliance relevant to the current use of the site and any use proposed by the person, but only if the person has no reason to believe that there has been any additional or new contamination at the site after issuance of the approval in principle or certificate of compliance;
(c) Repealed. [B.C. Regs. 322/2004 and 324/2004, s. 4 (d).]
(d) the site is the subject of a certificate of restoration issued under the Oil and Gas Activities Act or the Petroleum and Natural Gas Act, but only if the person has no reason to believe that there is contamination at the site that is not otherwise addressed in the certificate of restoration;
(e) the site is located within an environmental management area for which
(i) a director has approved a wide area remediation plan or the scope of a proposed wide area remediation plan, and
(ii) the site profile would only be provided due to uses or activities that caused contamination which is dealt with in the approved wide area remediation plan or the approved scope of a proposed wide area remediation plan;
(f) the site is the subject of a determination under section 44 of the Act, but only if the person has no reason to believe that, since the determination,
(i) in the case of a site determined not to be contaminated, there has been any contamination at the site, and
(ii) in the case of a site determined to be contaminated, there has been any new or additional contamination at the site.
(2) Subject to subsection (3), for a site remediated before April 1, 1997, a person is exempt from the duty to provide a site profile under section 40 of the Act if
(a) the site was the subject of correspondence from an official at the Ministry of Water, Land and Air Protection or any predecessor ministry indicating that remediation of the site was carried out in a manner that substantially satisfies the remediation standards of this regulation respecting the current use and any use proposed by the person,
(b) there has not been a change in the primary land use or water use at the site after the remediation described in paragraph (a), and
(c) the person has no reason to believe that there could have been any new contamination of the site after the date of the correspondence referred to in paragraph (a).
(3) Subsections (1) and (2) do not apply to a person to whom section 40 (7) or (8) of the Act applies.
(4) A person is exempt from the duty to provide a site profile to a municipality or approving officer under section 40 (1) of the Act with respect to any site within a municipality if the municipality or approving officer has filed written notice with the minister that the municipality or approving officer does not wish to receive site profiles under section 40 (1) of the Act.
(5) An applicant for a subdivision under section 114 of the Land Title Act is exempt from the duty to provide a site profile under section 40 (1) (a) of the Act.
(6) A municipality undertaking to zone or rezone land is exempt from the duty to provide a site profile under section 40 (1) (b) (i) of the Act if
(a) the municipality does not have an ownership interest in the land, or
(i) does not intend to develop the parcel or parcels of land that it owns within the area being zoned or rezoned, and
(ii) at the time it is undertaking to zone or rezone the land it commits in writing to a director to submit a site profile when development of the land begins, unless it is exempted when development of the land begins from the requirement to submit a site profile under other provisions of the Act and this regulation.
(7) An applicant for a development permit or a development variance permit is exempt from the duty to provide a site profile under section 40 (1) (b) (ii) of the Act if the activity which the permit allows does not involve any disturbance or excavation of soil.
(8) If a person is required to provide a site profile under both section 40 (1) (b) (iv) and 40 (2) (b) of the Act, the person is exempt from the requirement to provide a site profile under section 40 (2) (b) of the Act.
(9) A person is exempt from the duty to provide a site profile under section 40 (1) (b) (iv) and (2) (b) of the Act if
(a) the demolition or dismantling is of a temporary camp or a temporary facility if the camp or facility is associated with the construction of rights of way for exploration for or development of any of the following resources:
(b) the buildings or structures to be demolished or dismantled are not associated with decommissioning a site, or
(c) the demolition does not involve any disturbance or excavation of soil other than that which is incidental to the demolition.
(10) Repealed. [B.C. Regs. 322/2004 and 324/2004, s. 4 (d).]
(11) A vendor of real property is exempt from the duty to provide a site profile under section 40 (6) of the Act in respect of real property which is not an ownership interest as defined in section 1.
(12) A vendor of real property is exempt from the duty to provide a site profile to a director under section 40 (6) of the Act.
(13) A vendor of real property is exempt from the duty to provide a site profile to a prospective purchaser under section 40 (6) of the Act if
(a) the prospective purchaser waives, in writing, the right to be provided with a site profile,
(b) at the time of contract for purchase and sale, the subject property of the sale is used primarily for residential purposes, or
(c) at the time of the contract for purchase and sale, the subject property has never been zoned for any use other than primarily for residential purposes.
[am. B.C. Regs. 244/99, s. 4; 17/2002, s. 3; 109/2002, s. 1; 322/2004 and 324/2004, s. 4; 343/2008, s. 2; 286/2010, s. (b); 13/2019, s. 2.]
Duty to provide a satisfactorily completed site profile
5 The obligation of a person to provide a site profile under section 40 (1), (2), (6), (7) and (8) of the Act and under this regulation is not satisfied until the person provides all the site profile information required by the site profile form.
[am. B.C. Regs. 322/2004 and 324/2004, s. 5.]
Assessing and forwarding site profiles
6 (1) For the purposes of section 40 (4) of the Act, a municipality that, or approving officer who, receives a site profile must, within 15 days after receiving it,
(a) assess whether the site profile in Schedule 1 is satisfactorily completed in accordance with the instructions provided by the director,
(b) notify the person who provided the site profile if the site profile is not satisfactorily completed,
(c) forward a satisfactorily completed site profile to
(i) a director if any question is answered in sections IV to IX of the site profile with a "yes" response, or
(ii) the registrar if subparagraph (i) does not apply, and
(d) notify the person from whom the site profile was received whether or not it has been forwarded to a director under paragraph (c) (i).
(2) For the purposes of section 40 (4) of the Act, on receipt of a site profile the commission must, within 15 days after receiving it,
(a) assess if the site profile is satisfactorily completed,
(b) notify the person who provided the site profile if the site profile is not satisfactorily completed, and
(c) forward a copy of the satisfactorily completed site profile to the registrar.
(3) A municipality, an approving officer and the commission do not have a duty arising under the Act or this regulation
(a) to store, file or otherwise manage a site profile provided to the municipality, approving officer or commission after discharging the duties set out in subsections (1) and (2), or
(i) whether the municipality, approving officer or commission possesses a particular site profile, or
(ii) the contents of a particular site profile,
unless the disclosure is requested by the person who provided the site profile.
(4) A municipality or approving officer, on receipt of an application specified in section 40 (1) of the Act without a site profile, may submit information to a director indicating that the municipality or approving officer believes the subject lands of the application have been used for a use specified in Schedule 2.
(5) Subsection (4) applies only if the municipality or approving officer
(a) provides an opportunity for the applicant to review and comment on the information which the municipality or approving officer intends to submit to the director, and
(b) submits the information and the applicant's review and commentary to the director.
(6) A municipality that, or approving officer who, receives a site profile that does not need to be forwarded to a director under subsection (1) of this section and section 40 (4) of the Act may, despite those provisions, submit the site profile to the director if
(a) any response in the site profile conflicts with or is inconsistent with the knowledge or information possessed by the municipality or approving officer,
(b) the person who provided the site profile has been provided an opportunity to review and comment to the municipality or approving officer on knowledge or information referred to in paragraph (a), and
(c) the knowledge or information referred to in paragraph (a) and the commentary referred to in paragraph (b) is sent to the director at the time of submitting the site profile.
(7) For the purposes of exercising the power under this section, a municipality, an approving officer and the commission do not have a duty to conduct a search of the records or archives maintained by the municipality, approving officer or commission.
(8) A municipality that, or approving officer who, submits to a director the information under subsection (4) or a site profile under subsection (6) is deemed to not forward the site profile under section 40 (4) (b) of the Act, but is deemed to carry out a power, duty or function under Part 4 of the Act.
[am. B.C. Regs. 244/99, s. 5; 322/2004 and 324/2004, s. 6; 239/2007, s. 1.]
Duties of a director and the commission after receiving a site profile
7 (1) Subject to subsection (2), a director must, within 15 days after receiving a site profile, notify
(a) the municipality that, or approving officer who, forwarded the site profile, and
(b) the person who provided the site profile
whether or not the director intends to require or order a preliminary site investigation or a detailed site investigation under section 41 of the Act.
(2) The director may extend the time for notification under subsection (1) to a maximum of 30 days if the extension is necessary to obtain information to determine whether or not a preliminary site investigation or a detailed site investigation will be required or ordered, and in doing so the director must inform the persons described in subsection (1) of
(a) the duration of the extension, and
(b) the nature of the information required.
(3) Subject to subsection (4), the commission, within 15 days after receiving a site profile under section 40 (3) of the Act, must notify the person who provided the site profile whether the commission intends to require or order a preliminary site investigation under section 41 of the Act.
(4) The commission may extend the time for notification under subsection (3) to a maximum of 30 days if the extension is necessary to obtain information to determine whether or not a preliminary site investigation will be required or ordered, and in doing so the commission must inform the persons described in subsection (3) of
(a) the duration of the extension, and
(b) the nature of the information required.
[am. B.C. Regs. 322/2004 and 324/2004, s. 7.]
Section 3 (4) BEFORE amended by BC Reg 286/2010, effective October 4, 2010.
(4) Subject to section 4, an owner under the Petroleum and Natural Gas Act who is described in section 40 (3) of the Act must provide a site profile at the time the owner presents, in writing, an application for a certificate of restoration respecting a well, test hole or production facility under the Petroleum and Natural Gas Act.
Section 4 (1) (d) BEFORE amended by BC Reg 286/2010, effective October 4, 2010.
(d) the site is the subject of a certificate of restoration issued under the Petroleum and Natural Gas Act, but only if the person has no reason to believe that there is contamination at the site that is not otherwise addressed in the certificate of restoration;
Section 4.2 (1.1) was added by BC Reg 128/2022, effective March 1, 2023.
Section 4.2 (2) (c.1) and (c.2) were added by BC Reg 128/2022, effective March 1, 2023.
Section 4.2 (1.2) was added by BC Reg 159/2025, effective October 9, 2025.
Section 4.2 (2) (f) was added by BC Reg 159/2025, effective October 9, 2025.
Section 6.3 (2) (a) BEFORE amended by BC Reg 133/2022, effective March 1, 2023.
(a) the land is the site of a waste management facility that is subject to a permit or operational certificate;
Section 6.3 (3) (part) BEFORE amended by BC Reg 133/2022, effective March 1, 2023.
(3) The investigations required under subsection (1) must be undertaken on or before the later of the following:
Section 6.4 (3) BEFORE amended by BC Reg 179/2021, effective July 7, 2021.
(3) The information requested by a director under section (1) (b) must be submitted by the date specified by the director.
Section 7.1 (2) BEFORE repealed by BC Reg 179/2021, effective July 7, 2021.
(2) A summary of site condition must set out the information necessary to complete the summary of site condition form.
Section 7.1 (1) (f) BEFORE repealed by BC Reg 133/2022, effective March 1, 2023.
(f) a contaminated soil relocation agreement under section 55 of the Act;
Section 8 (1) (g) BEFORE amended by BC Reg 11/2019, effective January 24, 2019.
(g) a designation under section 14 of this regulation of a wide area site;
Section 8 (1) (a) BEFORE repealed by BC Reg 128/2022, effective March 1, 2023.
(a) a contaminated soil relocation agreement entered into under section 55 of the Act;
Section 9 (4) BEFORE amended by BC Reg 112/2010, effective May 1, 2010.
(4) The federal goods and services tax, if payable, must be added to the fees payable.
Section 9 (5) (b) BEFORE amended by BC Reg 161/2020, effective February 1, 2021.
(b) fees imposed by an approving officer or a municipality for assessing a site profile are payable to the approving officer or municipality.
Section 9 (6) and (7) BEFORE amended by BC Reg 161/2020, effective February 1, 2021.
(6) Fees imposed by an approving officer or municipality under section 40 (5) of the Act may not exceed the amount of the fees established under this regulation for providing a site profile to an approving officer or a municipality.
(7) A fee referred to in subsection (6) is payable at the time the person provides the site profile to the approving officer or municipality.
Section 9 (20) (f) BEFORE repealed by BC Reg 128/2022, effective March 1, 2023.
(f) a contaminated soil relocation agreement under section 55 of the Act;
Section 11 (1) (b.1) was added by BC Reg 133/2022, effective March 1, 2023.
Section 11 (4) (b) BEFORE amended by BC Reg 133/2022, effective March 1, 2023.
(b) the site has not been used for a commercial or industrial activity listed in Schedule 2.
Section 14 BEFORE amended by BC Reg 13/2019, effective January 24, 2019.
Wide area site
14 A director may designate a site as a wide area site with respect to specified substances and specified sources if
(a) the site covers an extensive geographic area and comprises many individual properties, and
(b) many of the individual properties located within the bounds of the wide area site would, on an individual basis, likely be determined by the director to be contaminated with one or more of the specified substances in the designation.
[am. B.C. Regs. 322/2004 and 324/2004, s. 14; 239/2007, s. 3.]
Section 18 (1) to (4) BEFORE amended by BC Reg 116/2018, effective June 14, 2018.
(1) The remediation standards have been met for a specific contaminated site if a responsible person satisfies a director that
(a) for any non-threshold carcinogenic substance, the calculated human lifetime cancer risk due to exposure to that substance at the site is less than or equal to a risk value recommended by the local medical health officer for the site, and
(b) for any substance for which a hazard index is calculated, the hazard index due to exposure of a human to that substance at the site is less than a maximum hazard index recommended by the local medical health officer for that site.
(2) A responsible person who asks a director for a decision that the standards in subsection (1) have been met for a contaminated site must
(a) provide information to support and justify the basis for the request, and
(b) participate in and pay for a public community based consultation process facilitated by the local medical health officer which
(i) is for the purpose of developing a recommendation on the acceptable level of human health risk for the site,
(ii) will consider remediation options in relation to levels of resulting human health risk at the site,
(iii) will be conducted in conjunction with any requirement under section 52 of the Act and section 55 (1) of this regulation, and
(iv) is carried out over a time period not exceeding 3 months from the date of the request under subsection (1) unless the person making the request, the local medical health officer and the director agree to an alternate time period.
(3) Despite subsections (1) and (2), a director must consider a contaminated site to have been satisfactorily remediated without review and recommendation by the local medical health officer if
(a) for each non-threshold carcinogenic substance, the calculated human lifetime cancer risk due to exposure to that substance at the site is less than or equal to one in 100 000, and
(b) for each substance for which a hazard index is calculated, the hazard index due to exposure of a human to that substance at the site is less than or equal to one.
(4) A director must not decide that the standards in subsection (1) have been met before receiving written recommendations with supporting rationale from the local medical health officer respecting the matters described in subsection (1) (a) and (b).
Section 18.1 (1) to (4) BEFORE amended by BC Reg 116/2018, effective June 14, 2018.
(1) The remediation standards have been met with respect to a substance from a source specified under section 14 if a director is satisfied that
(a) the risk to human health due to exposure to that substance at the site is less than or equal to a maximum value recommended by the medical health officer for the wide area site,
(b) the maximum value recommended by the medical health officer under paragraph (a) takes a form other than that of a hazard index or cancer risk, and
(c) the recommendation under paragraph (a) has been reviewed and endorsed by the Provincial health officer.
(2) A responsible person who asks a director for a decision that the standards in subsection (1) have been met for a contaminated site must
(a) provide information to support and justify the basis for the request, and
(b) participate in and pay for a public community based consultation process, acceptable to and facilitated by the medical health officer, that
(i) is for the purpose of developing a recommendation on the acceptable level of human exposure and health risk for the site,
(ii) considers remediation options in relation to levels of human exposure and health risk at the site,
(iii) is conducted in conjunction with any requirement under section 52 of the Act and section 55 (1) of this regulation, and
(iv) is carried out over a time period not exceeding 6 months from the date of the request under subsection (1), unless the person making the request, the medical health officer and the director agree to an alternate time period.
(3) A director must not decide that the standards in subsection (1) have been met before receiving written recommendations with supporting rationale from the medical health officer respecting the matters described in subsection (1) (a) and a written review and endorsement of the recommendations from the Provincial health officer under subsection (1) (c).
(4) Despite subsections (1) and (2), the director must consider a wide area site to have been satisfactorily remediated with respect to each substance from a source specified in section 14 without review and recommendation from the medical health officer if
(a) for each non-threshold carcinogenic substance, the calculated human lifetime cancer risk due to exposure to that substance at the site is less than or equal to one in 100 000, and
(b) for each substance for which a hazard index is calculated, the hazard index due to exposure of a human to that substance at the site is less than or equal to one.
Section 18.1 (1) (a) BEFORE amended by BC Reg 13/2019, effective January 24, 2019.
(a) the risk to human health due to exposure to that substance at the site is less than or equal to a maximum value recommended by a medical health officer for the wide area site,
Section 18.1 (4) (part) and (5.1) BEFORE amended by BC Reg 13/2019, effective January 24, 2019.
(4) Despite subsections (1) and (2), the director must consider a wide area site to have been satisfactorily remediated with respect to each substance from a source specified in section 14 without review and recommendation from a medical health officer if
(5.1) If a person demonstrates to the satisfaction of a director that the local background concentration of any substance at a particular wide area site results in the standards required by subsection (1) or (4) being exceeded, the remediation standards for that substance must be the calculated lifetime cancer risk and calculated hazard index that result from exposure of a human to the local background concentration of that substance at the wide area site.
Section 26 (5) (f) (i) BEFORE amended by BC Reg 161/2020, effective February 1, 2021.
(i) there is no requirement on the receiver to provide a site profile or, if there is such a requirement, the receiver has complied with it,
Section 26 (9) (a) and (b) BEFORE amended by BC Reg 161/2020, effective February 1, 2021.
(a) has provided a site profile under section 40 (7) of the Act,
(b) is subject to an obligation to provide a site profile under section 40 (8) of the Act, or
Section 26 (3) BEFORE amended by BC Reg 64/2021, effective March 11, 2021.
(3) For the purposes of section 45 (1) (e) of the Act, a receiver is designated responsible, in his or her role as receiver and to the extent of the receivership, for remediation of a contaminated site, and is subject to an order under section 81 or 83 of the Act in relation to the contaminated site in that role and to that extent.
Section 27 (1) definition of "trustee" paragraph (d) BEFORE amended by BC Reg 365/2012, effective March 18, 2013.
(d) a guardian of the estate of an infant, and
Section 27 (1) definition of "trust property" paragraph (c) BEFORE amended by BC Reg 365/2012, effective March 18, 2013.
(c) in relation to a guardian of an infant, the infant's property.
Section 27 definition of "available funds", paragraph (1) (c) (i) BEFORE amended by BC Reg 161/2020, effective February 1, 2021.
(i) there was no requirement on the trustee to provide a site profile, and
Section 27 (5) (d) (i) BEFORE amended by BC Reg 161/2020, effective February 1, 2021.
(i) there is no requirement on the trustee to provide a site profile or, if there is such a requirement, the trustee has complied with it,
Section 27 (1) definition of "trust property", paragraph (b) BEFORE amended by BC Reg 64/2021, effective March 11, 2021.
(b) in relation to a trustee who is an attorney acting under an enduring power of attorney whose principal lacks the capacity to manage his or her affairs, the principal's property, and
Section 27 (1) definition of "trustee", paragraph (e) BEFORE amended by BC Reg 64/2021, effective March 11, 2021.
(e) an attorney acting under an enduring power of attorney whose principal lacks the capacity to manage his or her own affairs,
Section 27 (3) BEFORE amended by BC Reg 64/2021, effective March 11, 2021.
(3) For the purposes of section 45 (1) (e) of the Act, a trustee is designated as responsible, in his or her role as a trustee and to the extent of the trust, for remediation of a contaminated site, and is subject to an order under section 81 or 83 of the Act in relation to the contaminated site in that role and to that extent.
Section 36 (1) and (2) BEFORE amended by BC Reg 161/2020, effective February 1, 2021.
(1) Subject to subsection (3), a director who receives
(a) a site profile under section 40 (7) of the Act, and
(b) a request under section 48 (10) of the Act for notice respecting whether a remediation order will be issued,
must provide the notice within 10 days after receiving the site profile.
(2) Subject to subsection (3), if a director is requested by a person to give consent under section 48 (8) of the Act, the director must consider the request and give written notice of the decision to the person within 10 days after receiving the site profile.
Section 39 (1) (part) BEFORE amended by BC Reg 13/2019, effective January 24, 2019.
(1) A responsible person requesting a voluntary remediation agreement in respect of a contaminated site, including a wide area site, must provide all of the following information to a director:
Part 8 BEFORE re-enacted by BC Reg 128/2022 as amended by 35/2023 and 133/2022, effective March 1, 2023.
Part 8 — Contaminated Soil Relocation
Class of sites defined for Part 8
"receiving site" means the site to which contaminated soil is or will be relocated under a contaminated soil relocation agreement;
"source site" means the site from which contaminated soil is or will be relocated under a contaminated soil relocation agreement.
(2) For the purposes of this Part, a source site is deemed to be a contaminated site if a contaminated soil relocation agreement is required in respect of contaminated soil, as described in section 46.1 (1), that is or will be relocated from the source site to a receiving site.
(3) The relocation of contaminated soil from a contaminated site is exempt from section 55 of the Act if section 10 of the Act applies to the transportation of the contaminated soil.
[en. B.C. Regs. 322/2004 and 324/2004, s. 40; am. B.C. Regs. 343/2008, s. 8; 184/2016, s. 1; 253/2016, s. 8, as am. by B.C. Reg. 196/2017, s. 1.]
Exemptions for soil relocation and disposal
41 (1) Disposal of the following classes of soil is exempt from section 6 (2) and (3) of the Act:
(a) soil in which the concentrations of all substances are less than the lowest applicable industrial land use standard specified for those substances in
(i) the generic numerical soil standards,
(ii) the matrix numerical soil standards, or
(iii) a director's interim standard for soil;
(b) contaminated soil relocated in accordance with a contaminated soil relocation agreement under section 55 (2) of the Act.
(2) A regional district is not required to include soil in its waste management plan for the management of municipal solid waste.
(3) The relocation of contaminated soil is exempt from section 55 (1) of the Act and this Part in the following circumstances:
(a) relocation of contaminated soil on the site at which the contaminated soil originates;
(b) relocation of contaminated soil which is contaminated due only to the presence of the local background concentration of a substance, but only if the contaminated soil is relocated within the geographic area having soil with this local background level of contamination;
(c) relocation of contaminated soil within an area subject to a wide area remediation plan approved by a director, but this exemption applies only with respect to the contaminants which are the subject of the wide area remediation plan;
(d) relocation of contaminated soil originating from emergency cleanup of a spill, but only if notice of the location to which the soil has been relocated is provided to a director within 3 days of the soil relocation;
(e) Repealed. [B.C. Reg. 184/2016, s. 2.]
(f) relocation of contaminated soil to a destination outside of British Columbia;
(g) relocation of contaminated soil from a specific site not exceeding 5 cubic metres in volume;
(h) relocation of contaminated soil to federal property.
[am. B.C. Regs. 244/99, s. 10; 322/2004 and 324/2004, s. 41; 184/2016, s. 2; 253/2016, s. 9.]
Soil relocation to a landfill without a contaminated soil relocation agreement
42 (1) If a site is authorized for landfill waste disposal in any of the ways referred to in section 55 (5) (a), (b) or (c) of the Act but the authorization does not expressly allow the deposit of contaminated soil, the deposit of contaminated soil in the landfill is exempt from section 55 (1) of the Act if
(a) the owner of the site authorized for landfill waste disposal has filed a written statement with a director indicating the intended future use of the site, and
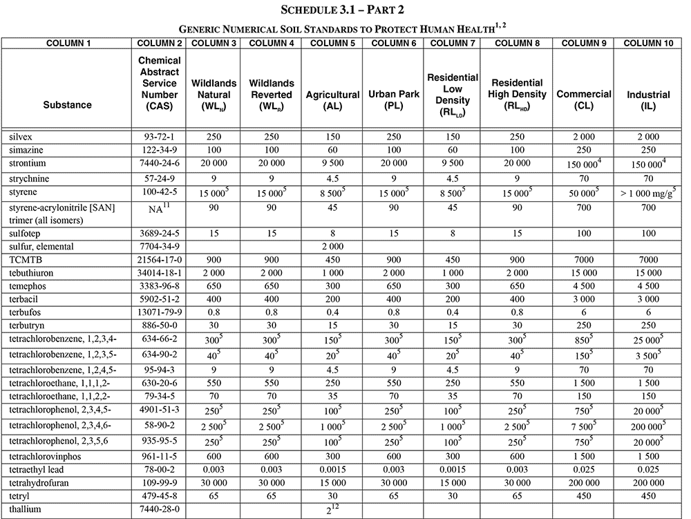
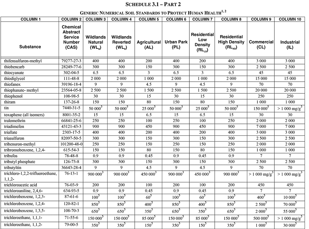
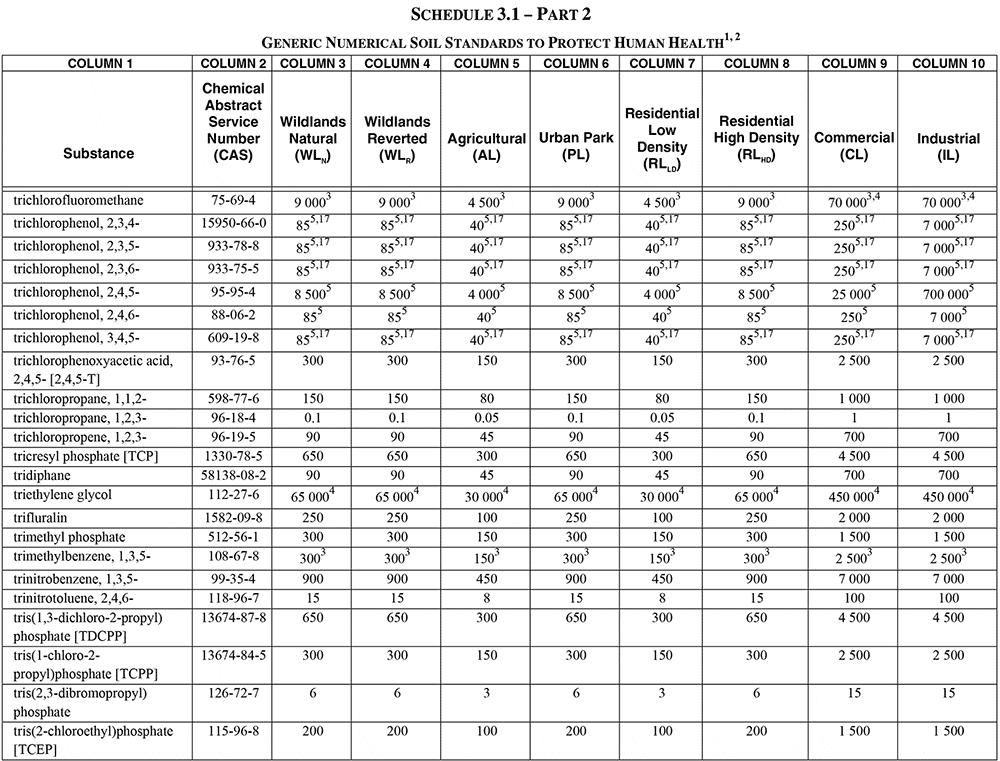
(b) the written statement indicates that the concentration of any substance in the contaminated soil is not greater than or equal to the lowest concentration for that substance specified in Schedule 3.1 for the applicable future land use.
(2) Subsection (1) does not authorize the deposit of soil if the deposit would be contrary to an authorization given under the Act.
(3) Subsection (1) does not prevent an owner of a site for which an authorization has been given under the Act from refusing to accept any type of contaminated soil.
[am. B.C. Regs. 322/2004 and 324/2004, s. 42; 184/2016, s. 3; 253/2016, s. 10.]
Application for a contaminated soil relocation agreement
43 (1) If a contaminated soil relocation agreement is required under section 55 of the Act, an application must be made using the form set out in Schedule 8.
(2) A director may require that an application described in subsection (1) for relocating soil from a contaminated site that is classified under a director's protocol as a low or moderate risk site include a report and the recommendation of an approved professional that the application be approved.
(3) If the director does not impose a requirement under subsection (2), the application may include a report and the recommendation of an approved professional in respect of whether the application should be approved.
(4) If a director rejects the recommendation of an approved professional provided under subsection (2) or (3), the director, within 15 days of the rejection, must provide written reasons to
(b) the professional association, in the Province, of which the approved professional is a member.
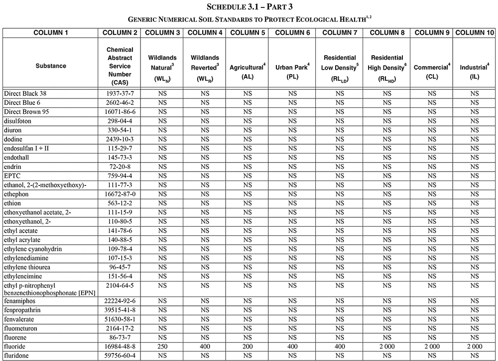
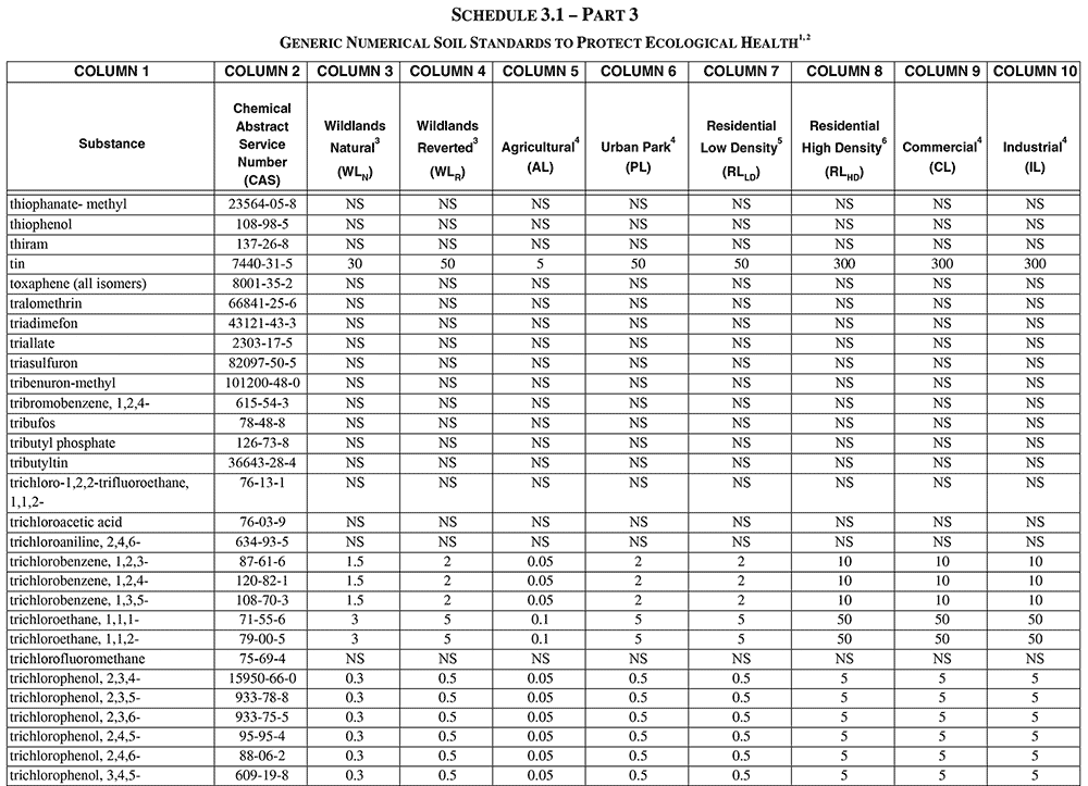
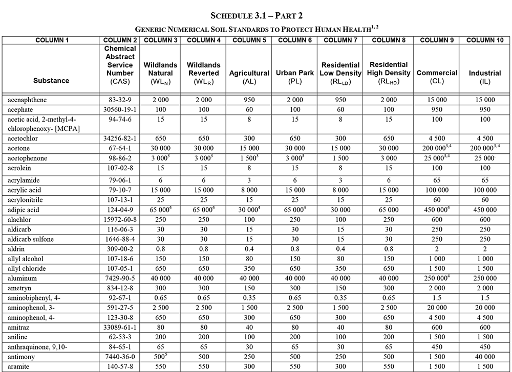
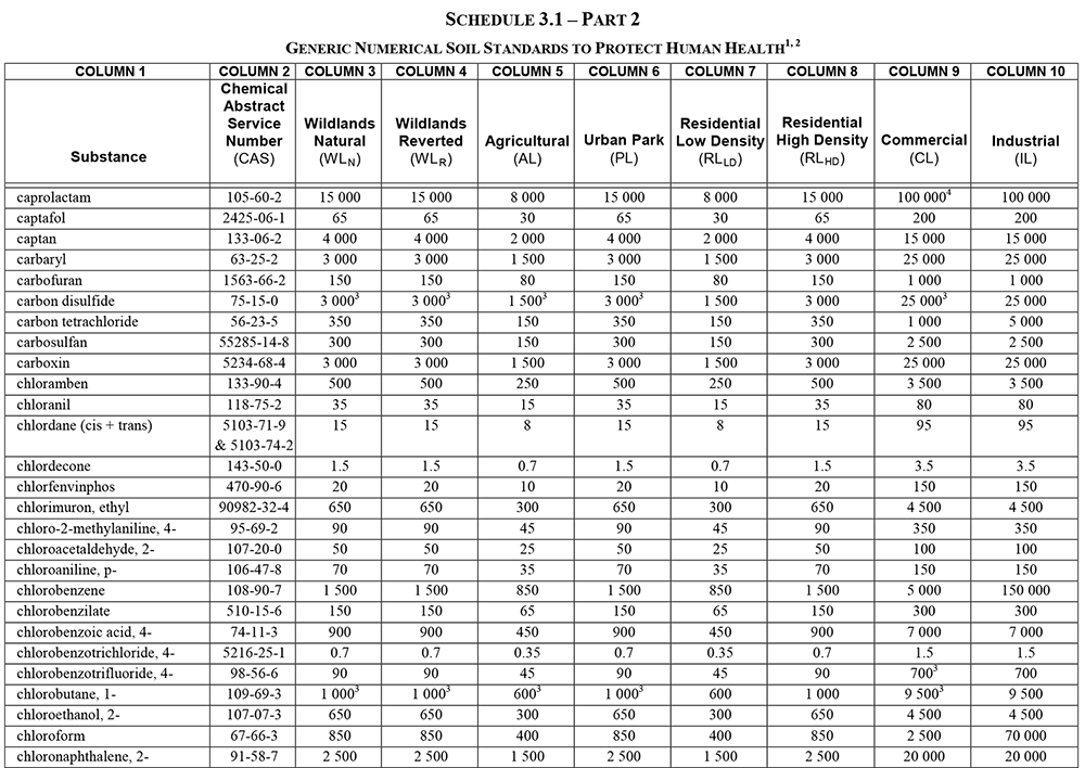
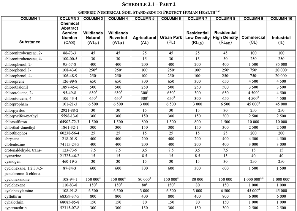
(5) If a contaminated soil relocation agreement is for the relocation of soil that is contaminated with a substance set out in Part 3 of Schedule 3.1 but in respect of which a standard is not specified in that Part, the standards and procedures set out in section 18, or section 18.1 if a receiving site is an environmental management area, apply to the applicant in the same manner as if the receiving site were a contaminated site.
[am. B.C. Regs. 17/2002, s. 9; 322/2004 and 324/2004, s. 43; 253/2016, s. 11; 11/2019, s. 7.]
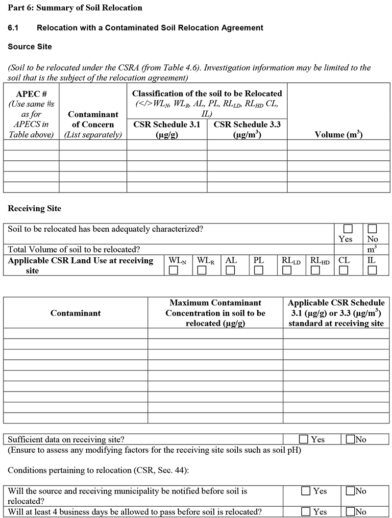
Conditions pertaining to a contaminated soil relocation agreement
44 Before soil relocation begins in accordance with a contaminated soil relocation agreement, the applicant under section 43 must
(a) ensure that a copy of the notice from a director as required by section 55 (9) of the Act has been received by
(i) the municipality from which the soil is removed, and
(ii) the municipality in which the receiving site is situated, or
(b) wait at least 4 business days from the time of receiving the approved contaminated soil relocation agreement before moving any contaminated soil.
[am. B.C. Regs. 17/2002, s. 10; 322/2004 and 324/2004, s. 44.]
Standards for contaminated soil relocation
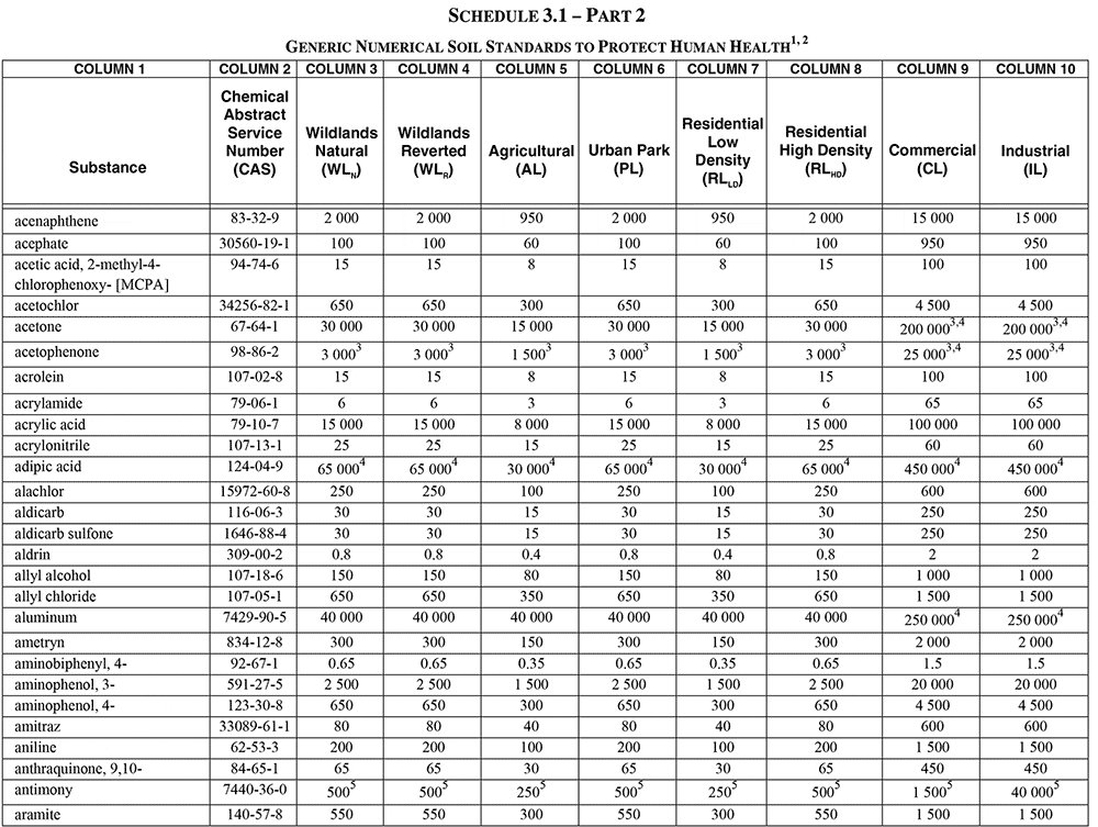
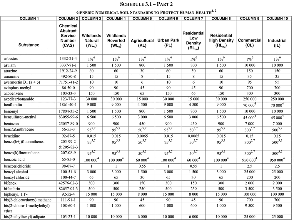
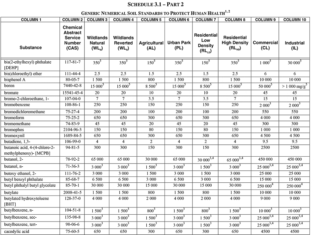
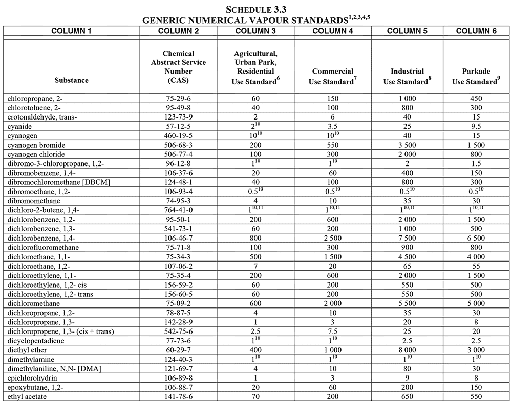
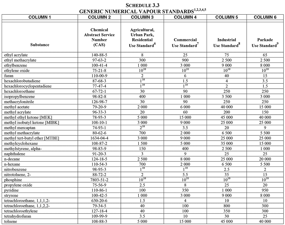
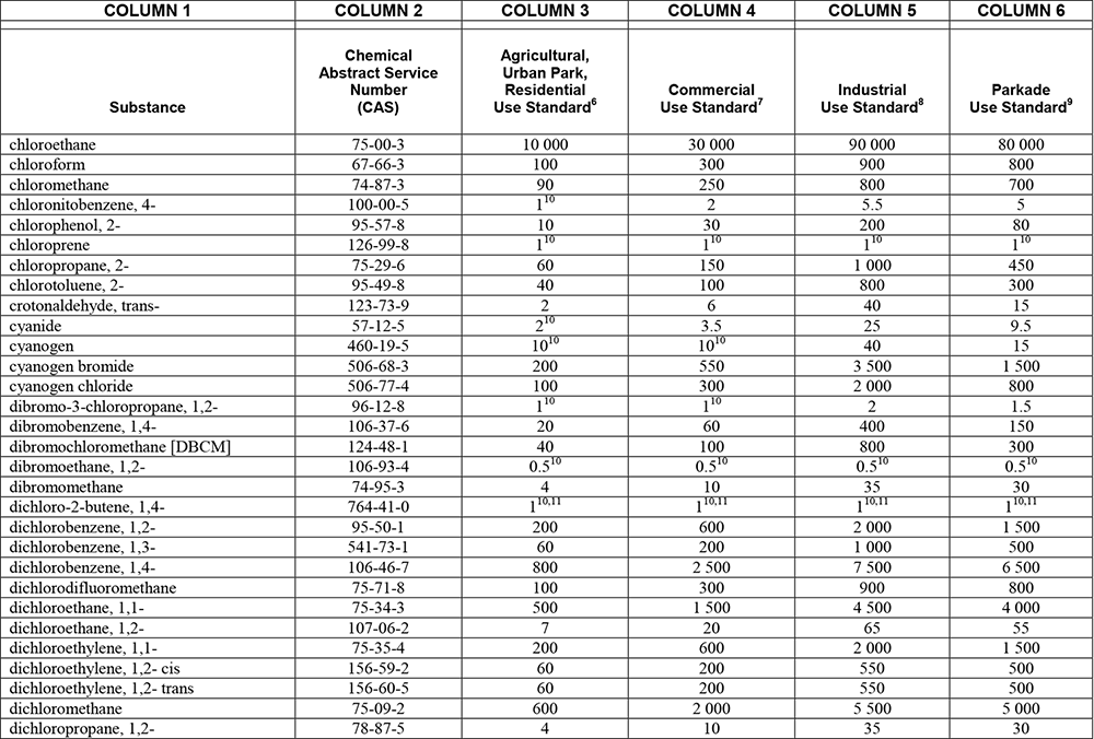
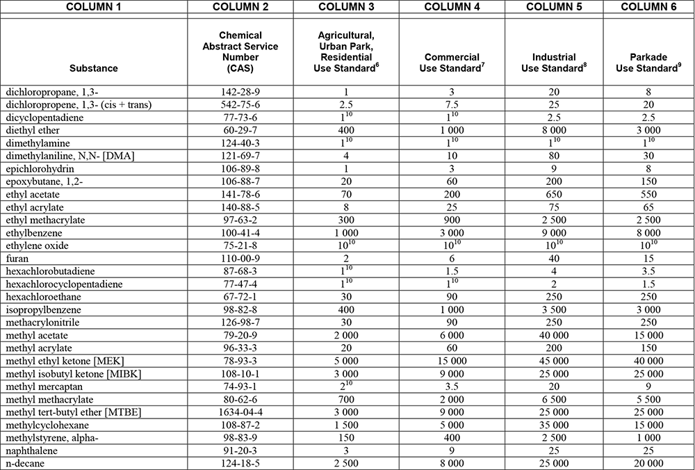
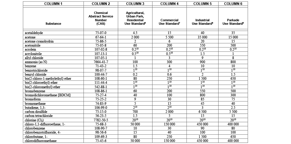
46.1 (1) The relocation of soil from a source site to a receiving site requires a contaminated soil relocation agreement if the soil that is or will be relocated is contaminated by having any substance with a concentration that, subject to subsections (2) and (3), exceeds the following numerical standards, prescribed for the purposes of section 55 (3) of the Act, for either soil or vapour:
(a) in respect of the land use of the receiving site, the lowest value of the soil standards set out in Part 1, 2 or 3, as applicable, of Schedule 3.1 of this regulation;
(b) in respect of the land use, or other use, of the receiving site, the lowest value of the vapour standards set out in Schedule 3.3 of this regulation.
(2) As an exception to subsection (1), if contaminated soil has any substance with a concentration that exceeds a soil standard protective of groundwater in respect of the land use of the receiving site set out in Part 1 of Schedule 3.1 of this regulation, the numerical standards for soil protective of groundwater are not to be considered exceeded if either of the following applies:
(a) the site-specific soil standard protective of groundwater, derived in accordance with a director's protocol, is not exceeded;
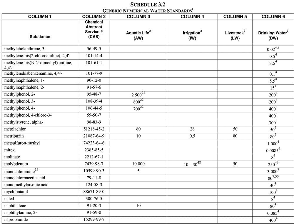
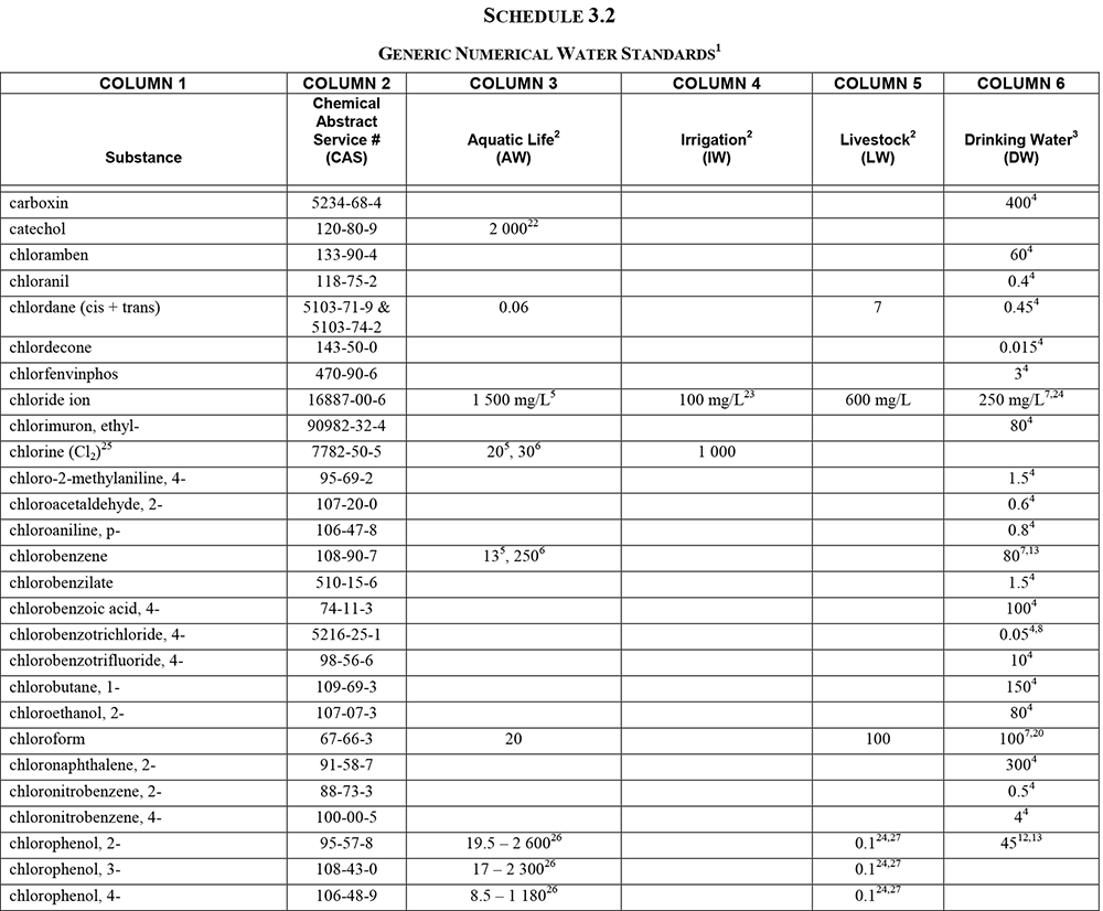
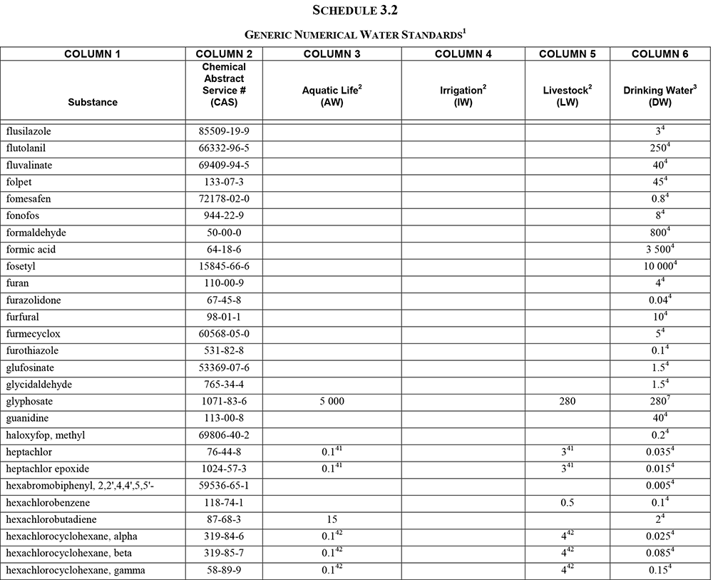
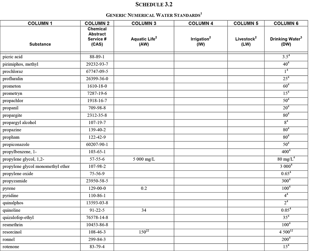
(b) the water standard for groundwater set out in Schedule 3.2 of this regulation, based on the concentration resulting from a leachate test conducted in accordance with the director's protocol, is not exceeded.
(3) As an exception to subsection (1), numerical standards are not to be considered exceeded for the purposes of that subsection if either of the following applies:
(a) in respect of the numerical standards for soil, the background concentration in the soil of the receiving site, as determined in accordance with the director's protocol, is not exceeded;
(b) in respect of the numerical standards for soil or vapour, a director's interim standard for soil or vapour, as applicable, is satisfied.
(4) If the prescribed risk-based standards referred to in subsection (5) are met after the deposit of the relocated contaminated soil, the quality of the soil at the receiving site is suitable for the use intended.
(5) In respect of a background risk estimate, or a background risk-based concentration, for a receiving site, the risk-based standards prescribed for the purposes of section 55 (3) (a) of the Act are those set out in
(a) section 18 of this regulation, or
(b) section 18.1 of this regulation, if the receiving site is an environmental management area.
[en. B.C. Reg. 253/2016, s. 13, as am. by B.C. Reg. 196/2017, s. 2; am. B.C. Reg. 13/2019, s. 8.]
Procedures for contaminated soil relocation
46.2 For the purposes of section 55 (3) of the Act, the following procedures, if required by the director, are prescribed in respect of the relocation of soil under a contaminated soil relocation agreement:
(a) testing, in accordance with a director's protocol, the leachate from the soil to be relocated to determine whether the leachate from the soil contains a substance with a concentration that exceeds
(i) the water quality standards applicable to the receiving site set out in Schedule 3.2 of this regulation,
(ii) the site-specific numerical water standard of the receiving site, or
(iii) a risk-based concentration for water at the receiving site;
(b) if risk-based standards are applied at the receiving site, the following procedures:
(i) monitoring impacts of the substances in the relocated soil;
(ii) inspecting and maintaining works considered necessary to manage contamination at the receiving site and to protect human health or the environment;
(iii) site registry notations;
(iv) preparation and registration of a covenant under section 219 of the Land Title Act.
[en. B.C. Reg. 253/2016, s. 13, as am. by B.C. Reg. 196/2017, s. 2.]
Section 41 (3) (e) BEFORE repealed by BC Reg 184/2016, effective July 19, 2016.
(e) relocation of soil to an authorized hazardous waste storage or treatment facility;
Section 41 (4) (b) (part) BEFORE amended by BC Reg 171/2025, effective October 27, 2025.
(b) the soil does not contain any substance with a concentration greater than
Section 42 (1) (b) (v) BEFORE repealed by BC Reg 184/2016, effective July 19, 2016.
(v) the site will be used only for waste disposal, but the contaminated soil must not be a hazardous waste unless the hazardous waste is authorized for disposal under the Hazardous Waste Regulation.
Section 42 (2) (c) BEFORE amended by BC Reg 171/2025, effective October 27, 2025.
(c) the source site has not been used other than for a low-impact land use or mining of marl, earth, soil, peat, sand, gravel, dimension stone, rock or any natural substance that is used for a construction purpose on land and the soil was
(i) extracted in accordance with a permit under the Mines Act, and
(ii) transported directly to the receiving site;
Section 42 (2.1) was added by BC Reg 171/2025, effective October 27, 2025.
Section 43 (5) BEFORE amended by BC Reg 11/2019, effective January 24, 2019.
(5) If a contaminated soil relocation agreement is for the relocation of soil that is contaminated with a substance set out in Part 3 of Schedule 3.1 but in respect of which a standard is not specified in that Part, the standards and procedures set out in section 18, or section 18.1 if a receiving site is a wide area site, apply to the applicant in the same manner as if the receiving site were a contaminated site.
Section 46.1 (5) (b) BEFORE amended by BC Reg 13/2019, effective January 24, 2019.
(b) section 18.1 of this regulation, if the receiving site is a wide area receiving site.
Section 47 (7) BEFORE amended by BC Reg 184/2016, effective July 19, 2016.
(7) In relation to an application for an approval in principle described in subsection (6), the Public Notification Regulation does not apply with respect to the facility, except for a hazardous waste treatment or disposal project under that regulation.
Section 47 (1.4) BEFORE amended by BC Reg 11/2019, effective January 24, 2019.
(1.4) A director may require that an application for an approval in principle in relation to a contaminated site, including a wide area site, that is classified under a director's protocol as a low or moderate risk site include a report and the recommendation of an approved professional that the application be approved.
Section 47 (5) (part) BEFORE amended by BC Reg 13/2019, effective January 24, 2019.
(5) A director may issue an approval in principle for a wide area site remediation plan if the remediation plan complies with all the following:
Section 58 (1) (b) (iv) BEFORE amended by BC Reg 184/2016, effective July 19, 2016.
(iv) assessment of substance concentrations relative to the standards in the Hazardous Waste Regulation and the criteria, standards and conditions prescribed in this regulation, and
Section 58 (5) (d) (i) BEFORE amended by BC Reg 184/2016, effective July 19, 2016.
(i) the contamination in soil, groundwater, sediments and surface water in relation to standards in the Hazardous Waste Regulation and the criteria, standards and conditions prescribed in this regulation, and
Section 59 (2) (c) BEFORE amended by BC Reg 184/2016, effective July 19, 2016.
(c) evaluate contamination relative to standards in the Hazardous Waste Regulation and in this regulation.
Section 59 (3) (c) (i) BEFORE amended by BC Reg 184/2016, effective July 19, 2016.
(i) the contamination in soil, groundwater, sediments or surface water in relation to standards in the Hazardous Waste Regulation and the criteria, standards and conditions prescribed and in this regulation, and
Section 68 (2) BEFORE amended by BC Reg 131/2020, effective February 1, 2021.
(2) A review of numerical standards is to be developed in accordance with section 64 (2) (n) of the Act by a director for the purpose of making recommendations for consideration by the minister.
Schedule 1 BEFORE re-enacted by BC Reg 131/2020, effective February 1, 2021.
[am. B.C. Regs. 17/2002, ss. 15 to 19; 343/2008, s. 10.]
Site Profile
All Information Must be Provided and All Questions Answered
I. CONTACT IDENTIFICATION
A. Name of Site Owner:
Last .................................................... First ....................................... Middle Initial(s) ................... (and / or, if applicable)
Company ........................................................................................................................................................................
Owner's Civic Address .....................................................................................................................................................
City ...................................................................... Province/State ................................................................
Country ................................................................ Postal Code/ZIP .............................................................
B. Person Completing Site Profile Leave blank if same as above:
Last .................................................... First....................................... Middle Initial(s) ................... (and / or, if applicable)
Company ........................................................................................................................................................................
C. Person to Contact Regarding the Site Profile:
Last .................................................... First....................................... Middle Initial(s) ................... (and / or, if applicable)
Company .......................................................................................................................................................................
Mailing Address ..................................................................................................................................................................
City ...................................................................... Province/State ................................................................
Country ................................................................ Postal Code/ZIP .............................................................
Telephone (...........) ................. -................................ Fax (...........) ................ -...........................................
II. SITE IDENTIFICATION
Please attach a site location map
All Property:
Coordinates (using the North American Datum 1983 convention) for the centre of the site:
Latitude: Degrees ............................ Minutes .......................... Seconds ................................
Longitude: Degrees ............................ Minutes .......................... Seconds ................................
Please attach a map of appropriate scale showing the boundaries of the site.
For Legally Titled, Registered Property
Site Street Address .............................................................................................................................................................
City ..................................................................... Postal Code .....................................................................
PID numbers and associated legal descriptions. Attach an additional sheet if necessary.
| PID | Legal Description |
| ........................................................ | ...................................................................................................................... |
| ........................................................ | ...................................................................................................................... |
| ........................................................ | ...................................................................................................................... |
| ........................................................ | ...................................................................................................................... |
Total number of titled parcels represented by this site profile is: ..............................
For Untitled Crown Land
PIN numbers and associated land description. Attach an additional sheet if necessary.
| PIN | Land Description |
| ........................................................ | ...................................................................................................................... |
| ........................................................ | ...................................................................................................................... |
| ........................................................ | ...................................................................................................................... |
| ........................................................ | ...................................................................................................................... |
Total number of untitled, crown land parcels represented by this site profile is: ......................
(and, if available)
Crown land file numbers. Attach an additional sheet if necessary.
III. COMMERCIAL AND INDUSTRIAL PURPOSES OR ACTIVITIES
Please indicate below, in the format of the example provided, which of the industrial and commercial purposes and activities from Schedule 2 have occurred or are occurring on this site.
EXAMPLE:
| Schedule 2 | Description |
| Reference | |
| E1 | appliance, equipment or engine repair, reconditioning, cleaning or salvage |
| F10 | solvent manufacturing or wholesale bulk storage |
| ................................................................................................................................................................................... | |
| Please print legibly. Attach an additional sheet if necessary | |
| Schedule 2 | Description |
| Reference | |
| ........................... | ...................................................................................................................................................... |
| ........................... | ...................................................................................................................................................... |
| ........................... | ...................................................................................................................................................... |
| ........................... | ...................................................................................................................................................... |
| IV. AREAS OF POTENTIAL CONCERN | |||
| Is there currently or to the best of your knowledge has there previously been on the site any (please mark the appropriate column opposite the question): | YES | NO | |
| A | Petroleum, solvent or other polluting substance spills to the environment greater than 100 litres? | ||
| B | Residue left after removal of piled materials such as chemicals, coal, ore, smelter slag, air quality control system baghouse dust? | ||
| C | Discarded barrels, drums or tanks? | ||
| D | Contamination resulting from migration of substances from other properties? | ||
| V. FILL MATERIALS | |||
| Is there currently or to the best of your knowledge has there previously been on the site any deposit of (please mark the appropriate column opposite the question): | YES | NO | |
| A | Fill dirt, soil, gravel, sand or like materials from a contaminated site or from a source used for any of the activities listed under Schedule 2? | ||
| B | Discarded or waste granular materials such as sand blasting grit, asphalt paving or roofing material, spent foundry casting sands, mine ore, waste rock or float? | ||
| C | Dredged sediments, or sediments and debris materials originating from locations adjacent to foreshore industrial activities, or municipal sanitary or stormwater discharges? | ||
| VI. WASTE DISPOSAL | |||
| Is there currently or to the best of your knowledge has there previously been on the site any landfilling, deposit, spillage or dumping of the following materials (please mark the appropriate column opposite the question): | YES | NO | |
| A | Materials such as household garbage, mixed municipal refuse, or demolition debris? | ||
| B | Waste or byproducts such as tank bottoms, residues, sludge, or flocculation precipitates from industrial processes or wastewater treatment? | ||
| C | Waste products from smelting or mining activities, such as smelter slag, mine tailings, or cull materials from coal processing? | ||
| D | Waste products from natural gas and oil well drilling activities, such as drilling fluids and muds? | ||
| E | Waste products from photographic developing or finishing laboratories; asphalt tar manufacturing; boilers, incinerators or other thermal facilities (e.g. ash); appliance, small equipment or engine repair or salvage; dry cleaning operations (e.g. solvents); or from the cleaning or repair of parts of boats, ships, barges, automobiles or trucks, including sandblasting grit or paint scrapings? | ||
| VII. TANKS OR CONTAINERS USED OR STORED, OTHER THAN TANKS USED FOR RESIDENTIAL HEATING FUEL | |||
| Are there currently or to the best of your knowledge have there been previously on the site any (please mark the appropriate column opposite the question): | YES | NO | |
| A | Underground fuel or chemical storage tanks other than storage tanks for compressed gases? | ||
| B | Above ground fuel or chemical storage tanks other than storage tanks for compressed gases? | ||
| VIII. HAZARDOUS WASTES OR HAZARDOUS SUBSTANCES | |||
| Are there currently or to the best of your knowledge have there been previously on the site any (please mark the appropriate column opposite the question): | YES | NO | |
| A | PCB-containing electrical transformers or capacitors either at grade, attached above ground to poles, located within buildings, or stored? | ||
| B | Waste asbestos or asbestos containing materials such as pipe wrapping, blown-in insulation or panelling buried? | ||
| C | Paints, solvents, mineral spirits or waste pest control products or pest control product containers stored in volumes greater than 205 litres? | ||
| IX. LEGAL OR REGULATORY ACTIONS OR CONSTRAINTS | |||
| To the best of your knowledge are there currently any of the following pertaining to the site (please mark the appropriate column opposite the question): | YES | NO | |
| A | Government orders or other notifications pertaining to environmental conditions or quality of soil, water, groundwater or other environmental media? | ||
| B | Liens to recover costs, restrictive covenants on land use, or other charges or encumbrances, stemming from contaminants or wastes remaining onsite or from other environmental conditions? | ||
| C | Government notifications relating to past or recurring environmental violations at the site or any facility located on the site? | ||
X. ADDITIONAL COMMENTS AND EXPLANATIONS
(Note 1: Please list any past or present government orders, permits, approvals, certificates and notifications pertaining to the environmental condition, use or quality of soil, surface water, groundwater or biota at the site.
Note 2: If completed by a consultant, receiver or trustee, please indicate the type and degree of access to information used to complete this site profile):
XI. SIGNATURES
The person completing the site profile states that the above information is true, based on the person's current knowledge as of the date completed.
| ......................................................................... | ........................................................................... |
| Signature of person completing site profile | Date completed: (YY-MM-DD) |
Schedule 1 BEFORE re-enacted by BC Reg 133/2022, effective March 1, 2023.
[en. B.C. Reg. 131/2020, App. s. 9.]
Site Disclosure Statement




Schedule 1 BEFORE re-enacted by BC Reg 159/2025, effective October 9, 2025.
[en. B.C. Reg. 133/2022, App., s. 8.]
Site Disclosure Statement





Schedule 1.1 BEFORE re-enacted by BC Reg 13/2019, effective January 24, 2019.
[en. B.C. Reg. 343/2008, s. 11.]
Summary of Site Condition
Purpose of this Summary of Site Condition
This Summary of Site Condition will serve several purposes. It will provide the Ministry of Environment (the ministry) with a summary of key information that will be used to understand the status of investigations and remediation, the nature and extent of remediation that is proposed or has been undertaken, further work that will be required, or closure documentation requested that is authorized by legislation and regulations in B.C. The Summary of Site Condition will also provide information to persons with an interest in investigations and management of contaminants on or adjacent to a property or properties that are considered a site.
The information contained in this Summary of Site Condition is provided by or on behalf of the British Columbia Ministry of Environment to assist individuals to become familiar with conditions and issues at a site for which contaminant investigations and / or remediation have been carried out and reviewed under the guidance of the British Columbia Contaminated Sites Regulation (CSR), the Hazardous Waste Regulation (HWR), and the Environmental Management Act (EMA).
It is emphasized that this is a summary only and should in no case be the sole basis for important decisions about the site. Those with an interest in contaminant issues and the status of the site should seek more complete technical information as contained in site investigation, risk assessment, remediation plan and confirmation of remediation reports prepared by and signed by appropriately qualified individuals. Firms and individuals that rely on the information contained herein do so entirely at their own risk.
Notes and instructions
A Summary of Site Condition is to be completed by the Approved Professional(s) making submission to the Ministry of Environment with application for a regulatory instrument (e.g. Determination, Approval in Principle, Contaminated Soil Relocation Agreement or Certificate of Compliance).
This Summary of Site Condition will provide ministry regulatory officials with much of the information on which they will evaluate the recommendation of an Approved Professional(s).
A separate Summary of Site Condition is required for each service request submitted for a site.
All applicable parts of this Summary of Site Condition and required attachments (e.g., site plan; site plan showing areas of potential environmental concern, and/or areas of environmental concern) must be completed and submitted or the Summary will be returned and processing of any application(s) will be delayed.
If the Summary of Site Condition is to accompany a recommendation by an Approved Professional that a service be provided as described in section 7.1 of the Contaminated Sites Regulation, the following must also be submitted with the package:
[ ] a completed Contaminated Sites Service Application form
[ ] a contaminated sites legal instrument cover letter (hard copy and electronic version)
[ ] a completed draft contaminated sites legal instrument
[ ] the applicable fees
[ ] a signed Summary of Site Condition (hard copy and electronic version with PDF format preferred).
Failure to accurately fill out the Summary of Site Condition may result in delays issuing the legal instrument.
Part 1: Cover Page
(To be completed by the Approved Professional)
| Current Site Owner: (Attach additional sheets with names and contact information for additional site owners as required) | Mailing Address: Company Name: Address: City: Postal Code: Contact Name: Phone: Fax: E-mail: |
| Applicant (If instrument is being applied for) [ ] Same as above, or: | Mailing Address: Company Name: Address: City: Postal Code: Contact Name: Phone: Fax: E-mail: |
| Agent [ ] Same as applicant above, or: | Mailing Address: Company Name: Address: City: Postal Code: Contact Name: Phone: Fax: E-mail: |
| Approved Professional(s) (If making a recommendation under the CSR or another submission) | Mailing Address: Company Name: Address: City: Postal Code: Approved Professional Name: Phone: Fax: E-mail: Scope of review completed by Approved Professional: Company Name: Address: City: Postal Code: Approved Professional Name: Phone: Fax: E-mail: Scope of review completed by Approved Professional: |
| Reason for Completing this Summary [ ] Recommendation is being made, or: [ ] This is a submission without a recommendation under the CSR: | Role of Approved Professional: Reviews: [ ] Stage 1 preliminary site investigation report (Stage 1 PSI) [ ] Stage 2 preliminary site investigation report (Stage 2 PSI) [ ] Detailed site investigation report (DSI) [ ] Background substance concentrations report [ ] Remediation plan without risk assessment report [ ] Remediation plan with risk assessment report [ ] Confirmation of remediation report (CoR) [ ] Quantitative human health or ecological risk assessment report [ ] Screening level risk assessment report [ ] Other (please specify) Recommendation(s) (With Regulatory Instrument): [ ] Determination (Determination) [ ] Approval in Principle, numerical standards (AiP numerical standards) [ ] Approval in Principle, risk-based standards (AiP risk-based standards) [ ] Contaminated Soil Relocation Agreement (CSRA) [ ] Certificate of Compliance, numerical standards (CoC numerical standards) [ ] Certificate of Compliance, risk-based standards (CoC risk-based standards) [ ] Other (please specify) Section 4 of the Summary of Site Condition does not need to be completed with the request for Certificate of Compliance if an Approval in Principle exists for the site, provided that no new information has been obtained for the site applicable to this section of the form. |
Part 2: Executive Summary
(To be completed by the Approved Professional(s) reviewing site investigation, risk assessment, remediation or confirmation of remediation reports)
| Site Location: (The site and location plans are to be provided as Schedule A of the draft instrument.) | |
| Subject Site: | |
| Civic Address(es): | |
| Site Common Name: (if applicable) | |
| Legal description(s) or metes and bounds: (add additional pages if needed) | |
| PID(s): (or PIN(s) if untitled Crown land) | |
| Centre of site: (using NAD 83 convention) (accurate to ± 0.5 second) | Latitude: ....... degrees ....... min ....... . ....... secs Longitude: ....... degrees ....... min ....... . ....... secs |
| Offsite impacted Properties or Receiving Site: | [ ] Offsite impacted propertie(s) — provide information for each [ ] Receiving site for Contaminated Soil Relocation Agreement [ ] Not Applicable |
| Civic Address(es): | |
| Site Common Name: (if applicable) | |
| Legal description(s) or metes and bounds (if a portion of a site): (add additional pages if needed) | |
| PID(s): (or PIN(s) if untitled Crown land) | |
| BC Site ID (if applicable): | |
| Approximate Centre of site: (accurate to ± 0.5 second) | Latitude: ....... degrees ....... min ....... secs Longitude: ....... degrees ....... min ....... secs |
Part 3: Document Summary
(List of all known site investigation, risk assessment (including screening level risk assessment), remediation plan and confirmation of remediation reports completed and directly supporting correspondence submitted (subject site and offsite impacted sites).
| # | Document Title | Author / Company | Document Date |
Part 4: Investigation Summary
4.1 Investigations Completed
| Yes | No | n/a | ||
| Stage 1 PSI | Completed? | [ ] | [ ] | [ ] |
| Includes Stage 1 PSI information as listed in CSR S.58 and any current applicable ministry protocols, guidelines, checklists, etc.? | [ ] | [ ] | [ ] | |
| Stage 2 PSI | Completed? | [ ] | [ ] | [ ] |
| Includes Stage 2 PSI information as listed in CSR S.58 and any current applicable ministry protocols, guidelines, checklists, etc.? | [ ] | [ ] | [ ] | |
| DSI | Completed? | [ ] | [ ] | [ ] |
| Includes DSI information as listed in CSR S.59 and any current applicable ministry protocols, guidelines, checklists, etc.? | [ ] | [ ] | [ ] | |
| Other Reports | Completed? (Specify in Notes below) | [ ] | [ ] | [ ] |
| According to other guidelines? (Provide explanation in notes below. Indicate how reports assist understanding of conditions and remediation.) | [ ] | [ ] | [ ] | |
| Notes: | ||||
n/a — not applicable
If completed investigation reports are not adequate or if reports are titled differently or have a different scope than those listed above in accordance with the Contaminated Sites Regulation (i.e., PSI, DSI), complete Section 4.8 (Investigation or Interpretation Issues).
4.2 Site Conditions
Topography
Describe steepness and direction of slope and position of site in relation to surrounding land
____________________________________________________________________________________________________________________________________________________
____________________________________________________________________________________________________________________________________________________
____________________________________________________________________________________________________________________________________________________
____________________________________________________________________________________________________________________________________________________
Stratigraphy
Describe depth and thickness, grain size, etc. of typical stratigraphic components and note depth to cemented or very compact materials, bedrock/refusal, etc.
____________________________________________________________________________________________________________________________________________________
____________________________________________________________________________________________________________________________________________________
____________________________________________________________________________________________________________________________________________________
____________________________________________________________________________________________________________________________________________________
Hydrogeology
Describe groundwater levels, confining/semi-confining layers, flow direction and velocity
____________________________________________________________________________________________________________________________________________________
____________________________________________________________________________________________________________________________________________________
____________________________________________________________________________________________________________________________________________________
____________________________________________________________________________________________________________________________________________________
Surface Water Features
List name, direction and distance to nearest surface water bodies and the characteristics (e.g., relative size/flow) of the water body
Fresh water:
____________________________________________________________________________________________________________________________________________________
____________________________________________________________________________________________________________________________________________________
____________________________________________________________________________________________________________________________________________________
Marine waters:
____________________________________________________________________________________________________________________________________________________
____________________________________________________________________________________________________________________________________________________
____________________________________________________________________________________________________________________________________________________
4.3 Land Use
| Location | Description of Current Land Use(s) / Activities | |
| Onsite | Subject site | |
| Offsite | North | |
| East | ||
| South | ||
| West | ||
Proposed land use of subject site: [ ] same as above or [ ] other (please specify)
______________________________________________________________________________________________________________________________________
______________________________________________________________________________________________________________________________________
4.4 Applicable Numerical Concentration Standards and Criteria
(If more than one land or water use applies to the site, expand this section to specify additional land uses covered by the instrument, i.e. riparian areas, roadways, etc. Include a diagram to clearly show the areas with different standards.)
| Soil (standards): | |||||||
| Property | CSR Land Use | ||||||
| AL | PL | RL | CL | IL | Other | ||
| Subject site | Current | [ ] | [ ] | [ ] | [ ] | [ ] | [ ] |
| Proposed | [ ] | [ ] | [ ] | [ ] | [ ] | [ ] | |
| Receiving site (if completed in support of a Contaminated Soil Relocation Agreement) | [ ] | [ ] | [ ] | [ ] | [ ] | [ ] | |
| Offsite impacted property / management area | [ ] | [ ] | [ ] | [ ] | [ ] | [ ] | |
If Other is specified above, please explain: (applicable or excluded guidance, protocols or policies specific to the site)
______________________________________________________________________________________________________________________________________
______________________________________________________________________________________________________________________________________
______________________________________________________________________________________________________________________________________
Water (standards):
(Check all that apply)
| AW fresh | AW marine | IW | LW | DW | No Water Use | |
| Groundwater (CSR Schedules 6 & 10) | [ ] | [ ] | [ ] | [ ] | [ ] | [ ] |
| Ambient fresh | Ambient marine | |||||
| Surface Water (Ambient Guidelines and/or Criteria) | [ ] | [ ] | [ ] | [ ] | [ ] |
Sediment (criteria CSR Schedule 9)
| Type of Aquatic Life | Type of habitat | |||
| [ ] Freshwater | [ ] Marine/Estuarine | [ ] Sensitive | [ ] Typical | [ ] Not applicable |
4.5 APEC and PCOC Summary
(Not applicable for a receiving site in a Contaminated Soil Relocation Agreement)
Provide reference to a figure showing onsite and offsite areas of potential environmental concern (APEC) and contaminants of potential concern associated with each APEC: Report # ....., Figure # ..... Page # .....
| Area of Potential Environmental Concern (APEC) | Check where analyses completed | |||||||
| # | Description (describe location in relation to process source, waste, filling, land use or activity, etc. giving rise to APEC, and if APEC is primary due to soil or water contamination) | Potential Contaminant of Concern (PCOC) (indicate products, chemicals, waste type, etc. and/or analytical parameter) | Soil | Sediment | Ground water | Surface Water | Vapour | Other (explain) |
| [ ] | [ ] | [ ] | [ ] | [ ] | [ ] | |||
| [ ] | [ ] | [ ] | [ ] | [ ] | [ ] | |||
| [ ] | [ ] | [ ] | [ ] | [ ] | [ ] | |||
| [ ] | [ ] | [ ] | [ ] | [ ] | [ ] | |||
| [ ] | [ ] | [ ] | [ ] | [ ] | [ ] | |||
| [ ] | [ ] | [ ] | [ ] | [ ] | [ ] | |||
| [ ] | [ ] | [ ] | [ ] | [ ] | [ ] | |||
| [ ] | [ ] | [ ] | [ ] | [ ] | [ ] | |||
| [ ] | [ ] | [ ] | [ ] | [ ] | [ ] | |||
| [ ] | [ ] | [ ] | [ ] | [ ] | [ ] | |||
| [ ] | [ ] | [ ] | [ ] | [ ] | [ ] | |||
| [ ] | [ ] | [ ] | [ ] | [ ] | [ ] | |||
| [ ] | [ ] | [ ] | [ ] | [ ] | [ ] | |||
| [ ] | [ ] | [ ] | [ ] | [ ] | [ ] | |||
| [ ] | [ ] | [ ] | [ ] | [ ] | [ ] | |||
| [ ] | [ ] | [ ] | [ ] | [ ] | [ ] | |||
| [ ] | [ ] | [ ] | [ ] | [ ] | [ ] | |||
| [ ] | [ ] | [ ] | [ ] | [ ] | [ ] | |||
| [ ] | [ ] | [ ] | [ ] | [ ] | [ ] | |||
Other (please explain):
| APEC # | |
4.6 AEC and Contaminant Summary
Stage 2 PSI — Provide reference to figure(s) showing the areas of environmental concern (AEC) and contaminants of concern associated with each AEC in onsite and offsite soil, water, sediment and/or vapour. Sample locations and corresponding analytical results shall be shown on each figure and in tabular form with reference to applicable standards:
| Environmental medium ......................... | Report # ..... | Figure # ..... | Page # ..... |
| Environmental medium ......................... | Report # ..... | Figure # ..... | Page # ..... |
| Environmental medium ......................... | Report # ..... | Figure # ..... | Page # ..... |
DSI — Provide references to figures (plan and section), with contours, showing the specific lateral and vertical distribution of each contaminant of concern in onsite and offsite soil, sediment, water and vapour. Sections must be longitudinal and transverse with respect to groundwater flow and include physical conditions (e.g. stratigraphy, water table etc.). Sample locations with corresponding analytical results used to develop each figure must be shown on the figure and in tabular form with reference to applicable standards:
| Environmental medium ......................... | Report # ..... | Figure # ..... | Page # ..... |
| Environmental medium ......................... | Report # ..... | Figure # ..... | Page # ..... |
| Environmental medium ......................... | Report # ..... | Figure # ..... | Page # ..... |
| Extent of Contamination | |||||
| AEC / APEC # (Use same #s as for APECs in Table above) | Contaminant of Concern | Medium (e.g., soil, groundwater, sediment, vapour, surface water, other) | Maximum Measured Concentration (indicate units) | Area (m2) | Depth Range (m) |
| Notes: | |||||
4.7 Offsite Migration
| Yes | No | |
| Is there evidence that one or more substances has migrated or is likely to have migrated to a neighbouring site and is or is likely causing contamination of the neighbouring property? | [ ] | [ ] |
| Has any sampling occurred offsite for PCOCs in any media? | [ ] | [ ] |
| Have preferential pathways been assessed? (including assessment of all neighbouring underground utility rights-of-way) | [ ] | [ ] |
If yes to the first question, complete the following:
There is evidence of [ ] historical, or [ ] current offsite transport of contaminants from the site in:
| [ ] groundwater; | |
| [ ] surface water; | |
| [ ] vapours; and/or | |
| [ ] other |
Briefly describe the nature of and evidence for offsite migration (either known, suspected or potential)
__________________________________________________________________________________________________________________________
__________________________________________________________________________________________________________________________
__________________________________________________________________________________________________________________________
The impacted offsite lands are categorized as: [ ] having a potable groundwater source;
| [ ] being aquatic habitat, as formally defined; | |
| [ ] agricultural lands | |
| [ ] residential or urban parklands | |
| [ ] commercial land | |
| [ ] industrial land |
4.8 Investigation or Interpretation Issues to be Addressed
Identify any issues regarding investigations or interpretations if the PSI and DSI information may not satisfy the requirements of CSR Sections 58 and 59 and applicable protocols and guidance documents. Briefly describe how these deficiencies will be addressed (examples include destroyed wells, completion of detailed delineation following building demolition or other proposed work at a later stage of remediation).
_________________________________________________________________________________________________________________________
_________________________________________________________________________________________________________________________
_________________________________________________________________________________________________________________________
_________________________________________________________________________________________________________________________
_________________________________________________________________________________________________________________________
Part 5: Remediation Summary
5.1 Remediation Reporting Summary
| Yes | No | n/a | ||
| Risk Assessment | Completed? | [ ] | [ ] | [ ] |
| Includes quantitative human health and ecological risk assessment report information or screening level risk assessment per EMA, CSR and current applicable ministry protocols, guidelines, checklists? | [ ] | [ ] | [ ] | |
| Remediation Plan | Completed? | [ ] | [ ] | [ ] |
| Includes CSR specified information for a Remediation Plan (see CSR S.1, 16, 47) and current applicable ministry protocols, guidelines, checklists, etc.? | [ ] | [ ] | [ ] | |
| Confirmation of Remediation | Completed? | [ ] | [ ] | [ ] |
| Includes CSR specified information (see CSR S.49) and any current applicable ministry protocols, guidelines, checklists for COR reports? | [ ] | [ ] | [ ] | |
| Other Reports | Completed? | [ ] | [ ] | [ ] |
| According to other guidelines? (Provide explanation in notes below. Indicate how reports assist understanding of conditions and / or remediation.) | [ ] | [ ] | [ ] | |
| Notes: | ||||
If completed remediation reports are not adequate or if reports have a different scope than those listed above in accordance with the CSR complete Section 5.6 — Outstanding Remediation Issues.
5.2 Proposed or Completed Remedial Activities
(Describe all aspects of remediation, including regulatory actions and activities to comply with numerical and/or risk-based standards)
Regulatory
(Notification of Independent Remediation, Approval in Principle, Certificate of Compliance, Determination, Restrictive Covenant, etc.)
____________________________________________________________________________________________________________________________
___________________________________________________________________________________________________________________________
___________________________________________________________________________________________________________________________
___________________________________________________________________________________________________________________________
If commitments or conditions to be met are included in an Approval in Principle issued for the site, list these conditions and identify how they were met though remedial activities.
__________________________________________________________________________________________________________________________
__________________________________________________________________________________________________________________________
__________________________________________________________________________________________________________________________
Remediation to comply with numerical standards/criteria
(Excavation/disposal of soil, Treatment of soil; Treatment of groundwater, etc.)
__________________________________________________________________________________________________________________________
__________________________________________________________________________________________________________________________
__________________________________________________________________________________________________________________________
Remediation to comply with risk-based standards
Are either of the following intended for use at the site, or have they been carried out?
| Intended | Carried Out | |||
| Screening Level Risk Assessment | [ ] Yes | [ ] No | [ ] Yes | [ ] No |
| Quantitative Risk Assessment | [ ] Yes | [ ] No | [ ] Yes | [ ] No |
If yes for any above, complete Section 5.5 (Summary of Residual Contamination)
Describe risk management/exposure reduction methods intended or implemented and indicate the status of any measures. (e.g., Physical/engineering: monitoring, capping or barriers to exposure; Institutional: registration of restrictive covenants, financial security, etc.)
__________________________________________________________________________________________________________________________
__________________________________________________________________________________________________________________________
__________________________________________________________________________________________________________________________
__________________________________________________________________________________________________________________________
Provide a reference to signed and stamped design drawings provided by a professional engineer for works installed at site boundaries to prevent recontamination of a site.
| Report # ............... | Page # ............... | or Appendix # ............... |
5.3 Summary of Remediation Plan
| AEC # | Contaminant(s) of Concern | Remediated to the following standard (proposed or completed) | Remediation Schedule | ||||||
| (Use same #s as for APECs in Table above) | Numerical (Standard, guideline or criteria) | Background (attach Protocol 4 or 9 approval if applicable) | Hazardous Waste standard | Risk-based | Remediation Complete? | Proposed or Actual completion date | |||
| Yes | No | ||||||||
| Soil | |||||||||
| Groundwater | |||||||||
| Sediment | |||||||||
| Surface Water | |||||||||
| Soil Vapour | |||||||||
In the AEC column, specify as N/A (not applicable) if remediation or assessment is not required in this environmental medium.
5.4 Summary of Contaminant Treatment or Removal
(Identify and describe all contamination removed from or treated onsite. Ensure section 6.2 is completed if no CSRA is required or required only for a portion of soil removed)
Provide references to figure(s) showing the lateral and vertical extent of any treated or removed contamination. Confirmatory sample locations and corresponding analytical results shall be shown on each figure and in tabular form with reference to applicable standards:
| Environmental medium ......................... | Report # ..... | Figure # ..... | Page # ..... |
| Environmental medium ......................... | Report # ..... | Figure # ..... | Page # ..... |
| Environmental medium ......................... | Report # ..... | Figure # ..... | Page # ..... |
| AEC/APEC # (Use same #s as for APECS in Table above) | Contaminant(s) of Concern | Medium (e.g., soil, groundwater, sediment, surface water, vapour, other) | Material Removed | |
| Volume (m3 or L) | Disposal Location (indicate if treated onsite) | |||
5.5 Summary of Residual Contamination after Remediation
(Identify and describe all contamination that exceeds CSR numerical standards, after the remediation described above has been implemented.)
| AEC/APEC # (Use same #s as for APECS in Table above) | Contaminant of Concern | Medium (e.g., soil, groundwater, sediment, surface water, vapour, other) | Maximum Measured Concentration (indicate units) | Extent of Contamination | |
| Area (m2) | Depth Range (m) | ||||
5.6 Remediation Issues
Identify remaining issues if the remediation plan, confirmation of remediation report or risk assessment report does not include CSR specified information and current applicable ministry protocols, guidelines, checklists, etc. for these documents.
_____________________________________________________________________________________________________________________
_____________________________________________________________________________________________________________________
_____________________________________________________________________________________________________________________
_____________________________________________________________________________________________________________________
Part 6: Summary of Soil Relocation
6.1 Relocation with a Contaminated Soil Relocation Agreement
Source Site
(Soil to be relocated under the CSRA (from Table 4.6). Investigation information may be limited to the soil that is the subject of the relocation agreement)
| APEC # (Use same #s as for APECS in Table above) | Contaminant of Concern (List separately) | Classification of the soil to be Relocated (</>AL, PL, RL, CL, IL; Column II, III, IV) | Volume m3 | |
| Schedule 4, 5 or 10 | Schedule 7 | |||
Receiving Site
| Soil to be relocated has been adequately characterized? | [ ] Yes | [ ] No | |||
| Total Volume of soil to be relocated? | m3 | ||||
| Applicable CSR Land Use at receiving site | [ ] AL | [ ] PL | [ ] RL | [ ] CL | [ ] IL |
| Contaminant (as indicated in CSR Schedule 7) | Maximum Contaminant Concentration in soil to be relocated (mg/kg) | Applicable CSR Schedule 4 or 5 standard at receiving site (mg/kg) |
| Sufficient data on receiving site? | [ ] Yes | [ ] No |
(Ensure to assess any modifying factors for the receiving site soils such as soil pH)
Conditions pertaining to relocation (CSR, Sec. 44):
| Will the source and receiving municipality be notified before soil is relocated? | [ ] Yes | [ ] No |
| Will at least 4 business days be allowed to pass before soil is relocated? | [ ] Yes | [ ] No |
6.2 Relocation without a Relocation Agreement
Other soil relocation not requiring a Contaminated Soil Relocation Agreement (CSRA):
| Has or will contaminated soil be relocated without a CSRA? | [ ] Yes | [ ] No |
| Do exemptions apply? (indicated below; see CSR Sec. 41) | ||
| Relocation of contaminated soil on the site at which the contaminated soil originates? | [ ] Yes | [ ] No |
| Relocation of contaminated soil which is contaminated due only to the presence of the local background concentration? | [ ] Yes | [ ] No |
| Relocation of contaminated soil within an area subject to a wide area remediation plan? | [ ] Yes | [ ] No |
| Relocation of contaminated soil originating from emergency cleanup of a spill? | [ ] Yes | [ ] No |
| Relocation of soil to an authorized hazardous waste storage or treatment facility? If yes, provide BC Generator Registration #........... | [ ] Yes | [ ] No |
| Relocation of contaminated soil to a destination outside British Columbia? | [ ] Yes | [ ] No |
| Relocation of contaminated soil from a specific site not exceeding 5 cubic metres in volume? | [ ] Yes | [ ] No |
| Relocation of contaminated soil to federal property? | [ ] Yes | [ ] No |
| Relocation to an authorized landfill that is exempt from a CSRA? | [ ] Yes | [ ] No |
Part 7: Recommendation of Approved Professional(s)
7.1 Regulatory Instrument and Summary Recommendation
Based on the detailed technical information available for the site, as summarized in this Summary of Site Condition, I Approved Professional Name recommend that the following instrument be issued for the Subject Site.
[ ] A Determination under section 44 of EMA
[ ] An AiP under section 53 (1) of EMA
[ ] A CoC under section 53 (3) of EMA
[ ] A CSRA under section 55 (2) of EMA
[ ] Other (specify)
Although I understand that the basis of such recommendations should be formally evaluated only by reference to detailed technical guidance, the primary basis of this recommendation or these recommendations is as follows:
For a recommendation for a Determination:
• <On the basis of information provided and reviewed, it is my opinion that no CSR Schedule 2 activities have occurred at the subject site>, or < CSR Schedule 2 activities are known or suspected to have occurred at the subject site, therefore in my opinion contaminants may have been released onto the subject site so that the site would be classified as a contaminated site in accordance with the CSR> or < CSR Schedule 2 activities are known or suspected to have occurred at the subject site, but it is my opinion that the specific nature of such activities would not result in contamination so that the site would be classified as a contaminated site in accordance with the CSR>.
• A Preliminary Site Investigation addressing all identified areas of potential environmental concern (APECs) and potential contaminants of concern (PCOCs) was completed. No substances were identified in concentrations exceeding those identified in BC CSR Schedules 4, 5, 6, 7, 9, 10 or 11, as applicable. All PCOCs have been listed in Schedule B of the draft Determination.
• For a recommendation for an Approval in Principle and for a Certificate of Compliance:
• A Preliminary Site Investigation addressing all identified areas of potential environmental concern (APECs) and potential contaminants of concern (PCOCs) was completed. One or more substances were identified at concentrations exceeding applicable standards or criteria in CSR Schedule 4, 5, 6, 7, 10 or 11 or criteria in Schedule 9.
• A Detailed Site Investigation addressing the locations and extent of all identified areas of environmental concern (AECs) and contaminants of concern was completed <and forms the basis of a remediation plan or risk assessment> or <was the basis for remediation of the site>.
• When this Summary of Site Condition was prepared <a remediation plan had been prepared that provides for remediating all identified locations and respective extent of all contaminants to either CSR numerical or risk-based standards> or <all contaminants and their respective locations and extent as identified in investigation and risk assessment reports had been remediated to CSR numerical concentration or risk-based standards or criteria (sediments) or both>.
For recommendation for a Contaminated Soil Relocation Agreement:
• The source site soil and receiving site have been adequately characterized to recommend issuance of a Contaminated Soil Relocation Agreement under Protocol 6.
7.2 Substances Remediated and Standards or Criteria
<Contaminants have been remediated to comply with standards or criteria listed in the following table:>
(If the site required remediation and has been remediated.)
| Substances Remediated for Each Type of Standard / Criteria | ||
| Numerical Standards (Criteria for Sediments, Vapour) | Risk based Standards (Criteria for Sediments, Vapour) | |
| Soil | ||
| Water | ||
| Sediments | ||
| Soil Vapour | ||
| Other | ||
Use specific compound names as listed in the Contaminated Sites Regulation schedules.
The Director may accept the recommendations of an Approved Professional(s) involved in the review and submission of investigation, risk assessment or remediation reports based in part on the understanding that:
• As of <date>, the date of signing of this report, the Approved Professional, or Approved Professionals if more than one, is/are member(s) in good standing of the Roster of Approved Professionals, as maintained by the ministry, and member(s) of the Contaminated Sites Approved Professionals Society (CSAP Society);
• The Approved Professionals signing this Summary of Site Condition have reviewed Table 1, Protocol 6 for Contaminated Sites (Eligibility of Applications for Review by Approved Professionals) and confirm that the Application for Contaminated Sites Services may be processed in the manner for non-high risk sites under the Roster of Approved Professionals process;
• The reviewer has no obligation to undertake any inquiry into the validity, accuracy or precision of what is reported in the documents reviewed, unless there is reasonable cause to believe that there could be errors or oversights in those reports;
• <as appropriate> The subject site has been satisfactorily investigated for all areas of <potential> environmental concern and <potential> contaminants of concern to determine the lateral and vertical extents of contamination with due regard to the EMA, the CSR, and the HWR;
• <as appropriate> The submitted documentation meets the requirements of Sections <1, 47, 49, 58 and 59> of the CSR;
• <as appropriate> The Screening Level Risk Assessment meets the requirements of Protocol 13;
• <for AiPs> The submitted remediation plan, if implemented in accordance with the specified conditions imposed in its draft Schedule "B" of the AIP, will result in the subject site being remediated in accordance with the applicable standards of the CSR and the HWR;
• <for AiPs> It is feasible to implement all provisions of the Remediation Plan and to achieve its objectives and the conditions of the AIP within 5 years of issuance of the AIP;
• <for CoCs> The confirmation of remediation report meets the requirements of section 49 (2) of the CSR;
• <for CoCs> The onsite management area(s) has/have been satisfactorily remediated in accordance with section 53 (3) of the EMA and section 49 (2) of the CSR in accordance with applicable standards as identified in the draft COC;
• <for CoCs where contamination exists beyond the legal lot boundaries> The offsite portion(s) of the site has/have been satisfactorily remediated in accordance with section 53 (3) of the EMA and section 49 (2) of the CSR and makes up part of this application <or> a Remediation Plan in accordance with requirements of the CSR, sections 1 and 47, has been prepared and application has been made for AIP for the offsite portions.
• <for CoCs where contamination exists beyond the legal lot boundaries and engineered works are required to prevent recontamination of the site> A signed and stamped design drawing has been provided by a professional engineer for works installed at site boundaries to prevent recontamination of the site. The signatory need not be the Approved Professional signing below.
• <for Determination> In accordance with section 15 (5) of the CSR, the subject site is <or is not> a contaminated site under section 44 (1) of the EMA;
• <if a "direct" final determination> In accordance with section 15 (5) of the CSR, the subject site is a contaminated site under section 44 (3) of the EMA;
• <for CSRAs> In accordance with section 43 (2) of the CSR, the soil to be relocated from the subject site complies with standards in CSR Schedule 7 and is suitable for relocation to the receiving site identified in this Summary of Site Condition.
The opinions, advice and recommendations expressed in this Summary of Site Condition are made in accordance with generally accepted principles and practices as recognized by members of the applicable profession or discipline practising at the same time and in the same or similar locations. This Summary of Site Condition does not provide a legal opinion or guarantee regarding compliance with applicable laws.
| Name(s) of Approved Professional(s): | Signature(s) of Approved Professional(s): | Date: |
7.3 Arm's Length Review
There may have been an arm's length review of one or more of the following recommendations to the Director of Waste Management:
1. Making a recommendation to a Director in support of an application for an Approval in Principle based on remediation to numerical standards or a screening level risk assessment where there is offsite migration at the site;
2. Making a recommendation to a director in support of an application for an Approval in Principle based on a risk assessment (other than a screening level risk assessment) and remediation to risk-based standards;
3. Making a recommendation to a Director in support of an application for a Certificate of Compliance based on remediation to numerical standards or a screening level risk assessment where there is offsite migration at the site;
4. Making a recommendation to a Director in support of an application for a Certificate of Compliance based on a risk assessment (other than a screening level risk assessment) and remediation to risk-based standards;
5. Making a recommendation to a Director in support of an application for a Contaminated Soil Relocation Agreement based on a screening level risk assessment for the parcel at which the soil is to be deposited where there is offsite migration at the source site;
6. Making a recommendation to a Director in support of an application for a Contaminated Soil Relocation Agreement based on a risk assessment (other than a screening level risk assessment) for the parcel at which the soil is to be deposited;
7. Making a recommendation to a Director in support of any other application based on risk assessment or risk management (other than a screening level risk assessment) not otherwise described in any other row in this list, as required under a protocol signed by a Director.
If this is the case, please have the Approved Professional who carried out the arm's length review sign below, specifying the type of arm's length review done for the site.
| Type of Arm's Length Review (Insert number from list) | Name(s) of Approved Professional(s): | Signature(s) of Approved Professional(s): | Date: |
Part 8: Statement of Site Owner/Agent/Lessee
8.1 Offsite Migration Notification
If it is known that one or more substances has migrated or is likely to have migrated to a neighbouring site and is or is likely causing contamination of the neighbouring site, have notifications been given?
(See CSR Sec. 57 and 60.1 for requirements)
| Yes | No | |
| Have owners of impacted offsite properties been formally notified? | [ ] | [ ] |
| Has the ministry been formally notified? | [ ] | [ ] |
8.2 Confirmations by Owner / Agent / Lessee Regarding Approved Professional
This is to acknowledge that <as the owner / as the agent on behalf of the owner / lessee> (strike out and initial that which does not apply — if signing as the agent of the owner or lessee, written consent from the owner or lessee authorizing signature of this Summary of Site Condition must be attached) of the site I have engaged Approved Professional Name(s) as the Approved Professional(s) to review site investigation, risk assessment and remediation reports and to make submission and application with recommendations, if applicable, for the regulatory instrument(s) as indicated in this Summary of Site Condition.
I agree to comply with any requirements on the site regarding monitoring and maintenance of works as documented in <schedule B of the draft contaminated sites legal instrument >.
I accept that if a risk assessment has been applied at the site, the risk assessment is valid only as long as conditions at the site do not change.
I have undertaken reasonable inquiry into the previous ownership and uses of the property and to the best of my knowledge I have provided to the Approved Professional, information relevant to the investigation and remediation of the environmental condition of the site, in the preparation of this document.
I acknowledge that this Summary of Site Condition becomes a public document after it has been received and acknowledged by the Director of Waste Management. Any party intending to purchase, lease, take a security interest in or occupy the site may review this document and any supporting documents to satisfy themselves with respect to the environmental condition of the site, and the extent of responsibility and liability that may arise from taking ownership of, taking a security interest in or occupying the site.
I have made no modifications to this document except as allowed by the form.
| Name: | |
| Address: | |
| Signature: | |
| Date: |
Schedule 1.1 BEFORE repealed by BC Reg 131/2020, effective February 1, 2021.
[en. B.C. Reg. 13/2019, s. 12.]























Schedule 2 item H, 20 BEFORE amended by BC Reg 6/2013, effective January 24, 2013.
| 20. | special waste storage, treatment or disposal |
Schedule 2 BEFORE re-enacted by BC Reg 131/2020, effective February 1, 2021.
[am. B.C. Regs. 17/2002, s. 16; 239/2007, s. 5; 343/2008, s. 12; 62/2013, s. 1; 253/2016, s. 16.]
Industrial and Commercial Purposes and Activities
| COLUMN 1 Item | COLUMN 2 Purpose or Activity | ||||||||||||||||||||||||||||||||||||||||||||||||
| A | Chemical industries and activities
| ||||||||||||||||||||||||||||||||||||||||||||||||
| B | Electrical equipment and activities
| ||||||||||||||||||||||||||||||||||||||||||||||||
| C | Metal smelting, processing or finishing industries and activities
| ||||||||||||||||||||||||||||||||||||||||||||||||
| D | Mining, milling or related industries and activities
| ||||||||||||||||||||||||||||||||||||||||||||||||
| E | Miscellaneous industries, operations or activities
| ||||||||||||||||||||||||||||||||||||||||||||||||
| F | Petroleum and natural gas drilling, production, processing, retailing, distribution and storage other than the storage of residential heating fuel in tanks
| ||||||||||||||||||||||||||||||||||||||||||||||||
| G | Transportation industries, operations and related activities
| ||||||||||||||||||||||||||||||||||||||||||||||||
| H | Waste disposal and recycling operations and activities
| ||||||||||||||||||||||||||||||||||||||||||||||||
| I | Wood, pulp and paper products and related industries and activities
|
Schedule 2 BEFORE repealed by BC Reg 133/2022 and re-enacted by BC Reg 128/2022, effective March 1, 2023.
[en. B.C. Reg. 131/2020, App. s. 9.]
Specified Industrial or Commercial Uses




Schedule 3 BEFORE re-enacted by BC Reg 11/2019, effective January 24, 2019.
[en. B.C. Reg. 201/2007, s. 6; am. B.C. Regs. 341/2008, s. 2; 253/2016, s. 16.]
Table 1: Fees for Site Profiles and Information
| COLUMN 1 Action | COLUMN 2 Fee | |||
| 1 | Site Profiles | |||
| Person provides a site profile to an approving officer or municipality | $100 | |||
| 2 | Information Obtained by Accessing Computer-based Site Registry | |||
| (a) | (i) | Person queries the computer-based site registry by a site identification number. | $10* | |
| (b) | (i) | Person queries the computer-based site registry by a Land Title Parcel Identifier (PID), Crown Land Parcel Identification Number (PIN), or Crown Lands file number | $25* | |
| (ii) | Person accesses a computer-based site registry site synopsis report | $25* | ||
| (c) | (i) | Person queries the computer-based site registry by address | $50* | |
| (ii) | Person accesses a computer-based site registry site details report | $50* | ||
| (iii) | Person queries the computer-based site registry by geographic area within 0.5 km radius of a specific latitude and longitude | $50* | ||
| (d) | Person queries the computer-based site registry by geographic area within 5.0 km radius of a specific latitude and longitude | $100* | ||
| (e) | Person requests assistance of a government employee to perform a computer-based site registry query | $10 | ||
| (f) | Person requests the site registrar to prepare a custom report of computer-based site registry information | $500 plus $100/hour for time required beyond 3 hours to prepare the information | ||
| (g) | Person requests the custom report described in (f) above to be regularly updated and provided by the site registrar | $200 per updated report | ||
| 3 | Information Obtained by Accessing Other Computer-based Records | |||
| Person requests information about a single site by a search of computer-based records in databases, including but not limited to databases for wastes, hazardous wastes and spills | $100 per database | |||
| * In addition to a fee marked by an asterisk, a further operator fee of $1.00 may be charged for any transaction done by electronic means from a location outside a government office or at a government office by a person who is not a government employee. | ||||
Table 2: Fees for Services and Functions Provided Directly by the Ministry or Persons on Behalf of the Ministry
| COLUMN 1 Action or Activity | COLUMN 2 Fee | ||
| 1 | Determination of Contaminated Site | ||
| Person requests a determination whether a site is a contaminated site | $3 000 | ||
| 2 | Reviews of Reports, Plans and Covenants | ||
| (a) | Review of a preliminary site investigation report | $5 000 | |
| (b) | Review of a detailed site investigation report | $15 000 | |
| (c) | Review of a remediation plan which does not include a human health risk assessment and/or environmental risk assessment report | $12 000 | |
| (d) | Review of a remediation plan which includes a human health risk assessment and/or environmental risk assessment report | $20 000 | |
| (e) | Review of a confirmation of remediation report | $7 000 | |
| (f) | Review of a covenant prior to registering | $6 000 | |
| (g) | Review of a human health risk assessment and/or environmental risk assessment report not included in a remediation plan | $10 000 | |
| (h) | Review of a summary of site condition | $2 000 | |
| 3 | Agreements and Indemnifications | ||
| (a) | Contaminated soil relocation agreement | $2 000 | |
| (b) | Person requests a voluntary remediation agreement | $4 000 | |
| (c) | Person requests a transfer agreement under Part 5 of the Act | $4 000 | |
| (d) | Person requests indemnification for a site under the Financial Administration Act | $8 000 | |
| 4 | Approvals, Certificates and Orders | ||
| (a) | Approval in principle for a remediation plan | $3 000 | |
| (b) | Certificate of compliance | $6 000 | |
| (c) | Additional fee for an approval in principle or certificate of compliance if a person is ordered by a director to investigate or remediate a site | $12 000 | |
| 5 | Background, Site-specific Standards, Wide Area Sites | ||
| (a) | Person requests review of background substance concentrations for a site under section 11, 17 or 18 | $3 000 | |
| (b) | Person requests review of proposed site-specific standards for a site under section 11 or 17 | $4 000 | |
| (c) | Person requests designation of an area as a wide area site | $10 000 | |
| 6 | Minor Contributor Determination | ||
| Person requests a determination as to a person's minor contributor status | $2 000 | ||
| 7 | Allocation Panel | ||
| (a) | Person requests the appointment of an allocation panel | $2 000 | |
| (b) | Person requests an allocation panel opinion and an allocation panel carries out work and provides an opinion | $1 000 per panel member per day | |
Table 3: Additional Services and Functions
Action or Activity
| Additional Services and Functions | |
| 1 | A person, on behalf of the ministry, inspects, monitors and verifies for remediation or an approval in principle, certificate of compliance, voluntary remediation agreement, transfer agreement, indemnification request or application, contaminated soil relocation agreement, or contaminated sites compliance or enforcement investigation |
| 2 | A person, on behalf of the ministry, consults, negotiates or provides advice with respect to a specific site regarding any |
| • analytical method for contaminated sites | |
| • approval in principle | |
| • certificate of compliance | |
| • confirmation of remediation | |
| • covenant under section 219 of the Land Title Act | |
| • determination of contaminated site under section 44 of the Act | |
| • environmental risk assessment | |
| • external contract review carried out under section 10 | |
| • human health risk assessment | |
| • implementation of remediation | |
| • indemnification under the Financial Administration Act | |
| • independent remediation | |
| • ministry contaminated sites guidance | |
| • ministry contaminated sites policy, procedure or protocol | |
| • minor contributor status provision or designation | |
| • notification for the migration or likely migration of a substance to a neighbouring site | |
| • order for public consultation or review under section 52 of the Act | |
| • pollution prevention order or pollution abatement order issued under Part 7 of the Act | |
| • providing for appointment or opinion of an allocation panel | |
| • remediation order | |
| • security, including the posting of security | |
| • site investigation | |
| • site profile | |
| • site registry requirement | |
| • soil relocation | |
| • standard, criterion or protocol | |
| • summary of site condition | |
| • transfer agreement under Part 5 of the Act | |
| • voluntary remediation agreement | |
| • wide area site planning or designation | |
| • other provision of Part 4 or 5 of the Act | |
Schedule 3, tables 1 to 3 BEFORE amended by BC Reg 128/2022, effective March 1, 2023.
Table 1: Fees for Site Profiles and Information

Table 2: Fees for Services and Functions Provided Directly by the Ministry or Persons on Behalf of the Ministry

Table 3: Additional Services and Functions

Schedule 3.1 BEFORE re-enacted by BC Reg 13/2019, effective January 24, 2019.
[en. B.C. Reg. 253/2016, s. 17, as am. by B.C. Reg. 196/2017, s. 3.]



![]()














![]()























![]()























































Schedule 3.1, Part 1, Matrix 21 and 25 BEFORE amended by BC Reg 131/2020, effective February 1, 2021.




Schedule 3.1 BEFORE re-enacted by BC Reg 133/2022 as amended by BC Reg 2/2023, effective March 1, 2023.
[en. B.C. Reg. 13/2019, s. 12; am. B.C. Reg. 131/2020, App. s. 11.]




























![]()


























![]()








![]()



![]()



![]()





![]()












































Schedule 3.2 BEFORE re-enacted by BC Reg 13/2019, effective January 24, 2019.
[en. B.C. Reg. 253/2016, s. 17, as am. by B.C. Reg. 196/2017, s. 3.]



























Schedule 3.2 BEFORE re-enacted by BC Reg 131/2020, effective February 1, 2021.
[en. B.C. Reg. 13/2019, s. 12.]



























Schedule 3.2 BEFORE re-enacted by BC Reg 133/2022 as amended by BC Reg 2/2023, effective March 1, 2023.
[en. B.C. Reg. 131/2020, App. s. 12.]
Generic Numerical Water Standards1



























Schedule 3.2 BEFORE re-enacted by BC Reg 159/2025, effective October 9, 2025.
[en. B.C. Reg. 133/2022, App., s. 12, as am. B.C. Reg. 2/2023, s. 1 (d).]


























Schedule 3.3 BEFORE re-enacted by BC Reg 13/2019, effective January 24, 2019.
[en. B.C. Reg. 253/2016, s. 17, as am. by B.C. Reg. 196/2017, s. 3.]





Schedule 3.3 BEFORE re-enacted by BC Reg 131/2020, effective February 1, 2021.
[en. B.C. Reg. 13/2019, s. 12.]





Schedule 3.3 BEFORE re-enacted by BC Reg 133/2022, effective March 1, 2023.
[en. B.C. Reg. 131/2020, App. s. 12.]
Generic Numerical Vapour Standards1,2,3,4,5





Schedule 3.4 BEFORE re-enacted by BC Reg 13/2019, effective January 24, 2019.
[en. B.C. Reg. 253/2016, s. 17, as am. by B.C. Reg. 196/2017, s. 3.]


Schedule 3.4 BEFORE re-enacted by BC Reg 131/2020, effective February 1, 2021.
[en. B.C. Reg. 13/2019, s. 12.]



Schedule 3.4 BEFORE re-enacted by BC Reg 133/2022 as amended by BC Reg 2/2023, effective March 1, 2023.
[en. B.C. Reg. 131/2020, App. s. 12.]
Generic Numerical Sediment Standards1


Schedule 5 table for arsenic, Column VI BEFORE amended by BC Reg 6/2013, effective January 24, 2013.
| Intake of contaminated soil | 100 | 100 | 100 | 300 | 3,4 |
Schedule 5 note 3 for arsenic BEFORE amended by BC Reg 6/2013, effective January 24, 2013.
3. Standard has been derived based on results of clinical studies at sites. Standard represents the rounded sum of the toxicologically-based value plus the soil ingestion clinical study factor. For AL, PL and RL the soil ingestion clinical study factor is 80 μg/g. For CL soil ingestion the clinical study factor is 240 μg/g.
4. Intake pathway of exposure modeled is inadvertent ingestion of soil.
Schedule 5 table for barium, Column VI BEFORE amended by BC Reg 6/2013, effective January 24, 2013.
| Intake of contaminated soil | 6 500 | 6 500 | 6 500 | 20 000 | 3 |
Schedule 5 table for benzene, Column VI BEFORE amended by BC Reg 6/2013, effective January 24, 2013.
| Intake of contaminated soil | 1000 | 1000 | 1000 | 4000 | 3 |
Schedule 5 table for benzo[a]pyrene, Column VI BEFORE amended by BC Reg 6/2013, effective January 24, 2013.
| Intake of contaminated soil | 5 | 5 | 5 | 15 | 3 |
Schedule 5 table for cadmium, Column VI BEFORE amended by BC Reg 6/2013, effective January 24, 2013.
| Intake of contaminated soil | 3 or 35 | 3 or 35 | 3 or 35 | 100 | 3,4,5 |
Schedule 5 notes 3 and 4 for cadmium BEFORE amended by BC Reg 6/2013, effective January 24, 2013.
3. If land is used to grow produce for human consumption, the standard is 3 μg/g; if not, the standard is 35 μg/g.
4. The 3 μg/g standard has been derived based on results of clinical studies at sites. It represents the rounded remainder of the toxicologically-based value, 35 μg/g, minus the soil ingestion clinical study factor, 32 μg/g.
Schedule 5 table for chloride ion BEFORE amended by BC Reg 6/2013, effective January 24, 2013.
| Intake of contaminated soil | > 1 000 mg/g | > 1 000 mg/g | > 1 000 mg/g | > 1 000 mg/g | 3,4 |
Schedule 5 table for chromium, Column VI BEFORE amended by BC Reg 6/2013, effective January 24, 2013.
| Intake of contaminated soil | 100 | 100 | 100 | 300 | 3,4 |
Schedule 5 table for copper, Column VI BEFORE amended by BC Reg 6/2013, effective January 24, 2013.
| Intake of contaminated soil | 15 000 | 15 000 | 15 000 | 50 000 | 3 |
Schedule 5 table, under heading Note for dichloro-diphenyl-trichloroethane BEFORE amended by BC Reg 6/2013, effective January 24, 2013.
| COLUMN I | COLUMN II | COLUMN III | COLUMN IV | COLUMN V | COLUMN VI | Note |
| Site-specific Factor | SOIL STANDARD FOR PROTECTION OF SITE-SPECIFIC FACTOR | |||||
| Agricultural (AL) | Urban Park (PL) | Residential (RL) | Commercial (CL) | Industrial (IL) | 2 | |
Schedule 5 table, Column VI for dichloro-diphenyl-trichloroethane BEFORE amended by BC Reg 6/2013, effective January 24, 2013.
| Intake of contaminated soil | 15 | 15 | 15 | 50 | 4 |
Schedule 5 Note 2 below dichloro-diphenyl-trichloroethane BEFORE amended by BC Reg 6/2013, effective January 24, 2013.
Schedule 5 table, Column VI for ethylbenzene BEFORE amended by BC Reg 6/2013, effective January 24, 2013.
| Intake of contaminated soil | 3 500 | 3 500 | 3 500 | 10 000 | 3 |
Schedule 5 table, Column VI for ethylene glycol BEFORE amended by BC Reg 6/2013, effective January 24, 2013.
| Intake of contaminated soil | 65 000 | 65 000 | 65 000 | 200 000 | 3 |
Schedule 5 table, Note 4 for lead BEFORE amended by BC Reg 6/2013, effective January 24, 2013.
4. Standard has been derived based on clinical studies at sites. Standard represents the rounded sum of the toxicologically-based value, 115 μg/g, plus the soil ingestion clinical study factor, 385 μg/g. For CL soil ingestion the clinical study factor is 650 μg/g.
Schedule 5 table, Column VI for mercury (inorganic), BEFORE amended by BC Reg 6/2013, effective January 24, 2013.
| Intake of contaminated soil | 15 | 15 | 15 | 40 | 3 |
Schedule 5 table, Column VI for pentachlorophenol BEFORE amended by BC Reg 6/2013, effective January 24, 2013.
| Intake of contaminated soil | 100 | 100 | 100 | 300 | 3 |
Schedule 5 table, Column VI for polychlorinated biphenyls BEFORE amended by BC Reg 6/2013, effective January 24, 2013.
| Intake of contaminated soil | 5 | 5 | 5 | 15 | 4 |
Schedule 5 table, Column VI for polychlorinated dioxins and furans BEFORE amended by BC Reg 6/2013, effective January 24, 2013.
| Intake of contaminated soil | 0.00035 | 0.00035 | 0.00035 | 0.001 | 4 |
Schedule 5 table, Column VI for sodium ion BEFORE amended by BC Reg 6/2013, effective January 24, 2013.
| Intake of contaminated soil | > 1 000 mg/g | > 1 000 mg/g | > 1 000 mg/g | > 1 000 mg/g | 3 |
Schedule 5 table, Column VI for tetrachlorethylene BEFORE amended by BC Reg 6/2013, effective January 24, 2013.
| Intake of contaminated soil | 1 000 | 1 000 | 1 000 | 3 500 | 3 |
Schedule 5 table, Column VI for toluene BEFORE amended by BC Reg 6/2013, effective January 24, 2013.
| Intake of contaminated soil | 40 000 | 40 000 | 40 000 | 100 000 | 3 |
Schedule 5 table, Column VI for trichlorethylene BEFORE amended by BC Reg 6/2013, effective January 24, 2013.
| Intake of contaminated soil | 200 | 200 | 200 | 600 | 3 |
Schedule 5 table, Column VI for xylene BEFORE amended by BC Reg 6/2013, effective January 24, 2013.
| Intake of contaminated soil | 65 000 | 65 000 | 65 000 | 200 000 | 3 |
Schedule 5 heading for Zinc (Chemical Abstract Service # 7440-66), BEFORE amended by BC Reg 6/2013, effective January 24, 2013.
Zinc (Chemical Abstract Service # 7440-66)
Schedule 5 table, Column VI for zinc BEFORE amended by BC Reg 6/2013, effective January 24, 2013.
| Intake of contaminated soil | 10 000 | 10 000 | 10 000 | 30 000 | 3 |
Schedule 5 table, substance lead BEFORE amended by BC Reg 4/2014, effective January 31, 2014.
| COLUMN I | COLUMN II | COLUMN III | COLUMN IV | COLUMN V | COLUMN VI | Note |
| Site-specific Factor | SOIL STANDARD FOR PROTECTION OF SITE-SPECIFIC FACTOR | |||||
| Agricultural (AL) | Urban Park (PL) | Residential (RL) | Commercial (CL) | Industrial (IL) | 2 | |
| HUMAN HEALTH PROTECTION | ||||||
| Intake of contaminated soil | 500 | 500 | 500 | 1000 | 3,4 | |
| Groundwater used for drinking water | ||||||
| pH < 6.0 | 100 | 100 | 100 | 100 | 100 | 5,6 |
| pH 6.0 — < 6.5 | 250 | 250 | 250 | 250 | 250 | 5,6 |
| pH ≥ 6.5 | 4 000 | 4 000 | 4 000 | 4 000 | 4 000 | 5,6 |
| ENVIRONMENTAL PROTECTION | ||||||
| Toxicity to soil invertebrates and plants | 1 000 | 1 000 | 1 000 | 2 000 | 2 000 | |
| Livestock ingesting soil and fodder | 350 | |||||
| Major microbial functional impairment | NS | 7 | ||||
| Groundwater flow to surface water used by aquatic life | ||||||
| pH < 5.5 | 150 | 150 | 150 | 150 | 150 | 5,6 |
| pH 5.5 — < 6.0 | 250 | 250 | 250 | 250 | 250 | 5,6 |
| pH 6.0 — < 6.5 | 2 000 | 2 000 | 2 000 | 2 000 | 2 000 | 5,6 |
| pH ≥ 6.5 | 40 000 | 40 000 | 40 000 | 40 000 | 40 000 | 5,6 |
| Groundwater used for livestock watering | ||||||
| pH < 5.5 | 150 | 5,6 | ||||
| pH 5.5 — < 6.0 | 250 | 5,6 | ||||
| pH 6.0 — < 6.5 | 1 500 | 5,6 | ||||
| pH ≥ 6.5 | 30 000 | 5,6 | ||||
| Groundwater used for irrigation | ||||||
| pH < 5.5 | 150 | 150 | 150 | 5,6 | ||
| pH 5.5 — < 6.0 | 400 | 400 | 400 | 5,6 | ||
| pH 6.0 — < 6.5 | 3 500 | 3 500 | 3 500 | 5,6 | ||
| pH ≥ 6.5 | 100 000 | 100 000 | 100 000 | 5,6 | ||
Notes
1. All values in μg/g unless otherwise stated. Substances must be analyzed using methods specified in a director's protocol or alternate methods acceptable to the director.
2. The site-specific factors of human intake of contaminated soil and toxicity to soil invertebrates and plants specified in this matrix apply at all sites.
3. Intake pathway of exposure modeled is inadvertent ingestion of soil.
4. Insufficient acceptable data exists, so standards are set equal to the Canadian Council of Ministers of the Environment 1999 provisional soil quality criteria.
5. The pH is the pH of the soil at a site.
6. Standard has been adjusted based on a reference provincial background soil concentration. Standard represents the rounded sum of the toxicologically-based value plus the reference provincial background soil concentration. For all land uses, the reference provincial background soil concentration is 108.6 μg/g.
Schedule 6, substances "aluminum", "iron", "manganese" and "MCPA" BEFORE amended by BC Reg 97/2011, effective May 31, 2011.
| aluminum | 5 000 | 5 000 | 200 | |
| iron | 5 000 | 30011 | ||
| manganese | 200 | 5011 | ||
| MCPA52 | 266, 428 | 0.529 | 25 |
Schedule 6, footnotes 56 and 57 were added amended by BC Reg 97/2011, effective May 31, 2011.
Schedule 6, Column III and Column V of the entry for iron BEFORE amended by BC Reg 6/2013, effective January 24, 2013.
| iron | 5 000 | 6 50056,57 |
Schedule 6, Column III and Column V of the entry for manganese BEFORE amended by BC Reg 6/2013, effective January 24, 2013.
| manganese | 200 | 55056,57 |
Schedule 6, footnotes 58 to 61 were added by BC Reg 6/2013, effective January 24, 2013.
Schedule 8 BEFORE re-enacted by BC Reg 128/2022, effective March 1, 2023.
[am. B.C. Reg. 201/2007, s. 7.]
Application for a Contaminated Soil
Relocation Agreement
Notes / Instructions
One (1) application may be completed for a single source site requiring many soil relocations to a single receiving site, provided that both sites are adequately identified and the relocated soils are accurately described.
Anything submitted in relation to this Contaminated Soil Relocation Agreement application will become part of the public record and may be made available to the public through the Site Registry as established under the Waste Management Act.
PART I
To be completed by or for the owner of the source site from which contaminated soil is to be relocated.
SECTION A: Source Site Information
1. Name of source site owner:
Last .................................................... First ....................................... Middle Initial(s) ................... (and / or, if applicable)
Company .........................................................................................................................................................................
2. Name of source site contact person:
Last .................................................... First ....................................... Middle Initial(s) ................... (and / or, if applicable)
Company .........................................................................................................................................................................
Mailing Address ...............................................................................................................................................................
City ...................................................................... Province / State ..............................................................
Country ........................................................................ Postal Code / ZIP ....................................................
Telephone (.............) ...............-......................................... Fax (.............) ............-......................................
SOURCE SITE IDENTIFICATION
Site Identification Number (if available) .........................................................................................................
If Legally Titled, Registered Property
Site Street Address .......................................................................................................................................................
City .................................................................................... Postal Code ......................................................
PID numbers and associated legal descriptions. Attach an additional sheet if necessary.
| PID | Legal Description |
| ........................................................ | ...................................................................................................................... |
| ........................................................ | ...................................................................................................................... |
| ........................................................ | ...................................................................................................................... |
If Untitled Crown Land
1. PIN numbers and associated Land Description (if applicable). Attach an additional sheet if necessary
| PIN | Land Description |
| ........................................................ | ...................................................................................................................... |
| ........................................................ | ...................................................................................................................... |
| ........................................................ | ...................................................................................................................... |
| ........................................................ | ...................................................................................................................... |
| ........................................................ | ...................................................................................................................... |
OR
1. Coordinates (using the North American Datum 1983 convention) for the centre of the site:
Latitude: Degrees ....................... Minutes .................... Seconds ...........................
Longitude: Degrees ....................... Minutes .................... Seconds ...........................
Please attach a map of appropriate scale showing the boundaries of the site.
(and, if available)
Crown land file numbers. Attach an additional sheet if necessary.
................... ................... ................... ................... ................... ...................
SECTION B: Contaminated Soil Information
1. Soil characterization. Attach an additional sheet if necessary.
• Soil volumes to be relocated in cubic metres (m3).
• Soil test results summary. Include contaminant concentrations and supporting information.
.........................................................................................................................................................................................
.........................................................................................................................................................................................
.........................................................................................................................................................................................
.........................................................................................................................................................................................
.........................................................................................................................................................................................
2. Soil characterization method. Attach an additional sheet if necessary.
.........................................................................................................................................................................................
.........................................................................................................................................................................................
.........................................................................................................................................................................................
.........................................................................................................................................................................................
.........................................................................................................................................................................................
3. Current type of soil storage (e.g. stockpiled, in situ) ..........................................................................................................
4. Soil relocation start date (YY-MM-DD) .............................................................................................................................
5. Estimated completion date (YY-MM-DD) .........................................................................................................................
6. Relocation method (e.g. truck, barge, train) .....................................................................................................................
7. Number of loads ...........................................................................................................................................................
PART II
To be completed by or for the owner or operator of the receiving site to which contaminated soil is to be relocated.
SECTION A: Receiving Site Information
1. Name of receiving site owner / operator:
Last .................................................... First ....................................... Middle Initial(s) ................... (and / or, if applicable)
Company .........................................................................................................................................................................
2. Name of receiving site contact person:
Last .................................................... First ....................................... Middle Initial(s) ................... (and / or, if applicable)
Company .........................................................................................................................................................................
Mailing Address ................................................................................................................................................................
City ............................................................................ Province / State ........................................................
Country ...................................................................... Postal Code / ZIP ......................................................
Telephone (..............) .................-.................................... .Fax (..............) ..............-.....................................
RECEIVING SITE IDENTIFICATION
Site Identification Number (if available) ..............................................................................................................................
If Legally Titled, Registered Property
Site Street Address ..........................................................................................................................................................
City ........................................................................................ Postal Code .................................................
PID numbers and associated legal descriptions. Attach an additional sheet if necessary.
| PID | Legal Description |
| ........................................................ | ...................................................................................................................... |
| ........................................................ | ...................................................................................................................... |
| ........................................................ | ...................................................................................................................... |
| ........................................................ | ...................................................................................................................... |
| ........................................................ | ...................................................................................................................... |
If Untitled Crown Land
1. PIN numbers and associated Land Description (if applicable). Attach an additional sheet if necessary
| PIN | Land Description |
| ........................................................ | ...................................................................................................................... |
| ........................................................ | ...................................................................................................................... |
| ........................................................ | ...................................................................................................................... |
| ........................................................ | ...................................................................................................................... |
| ........................................................ | ...................................................................................................................... |
OR
2. Coordinates (using the North American Datum 1983 convention) for the centre of the site:
Latitude: Degrees ....................... Minutes .................... Seconds ...........................
Longitude: Degrees ....................... Minutes .................... Seconds ...........................
Please attach a map of appropriate scale showing the boundaries of the site.
(and, if available)
Crown land file numbers. Attach an additional sheet if necessary.
................... ................... ................... ................... ................... ...................
3. Receiving site primary land use. Write in one of commercial, industrial, residential, agricultural or urban park. If none apply, specify the current and anticipated land use.
.........................................................................................................................................................................................
4. Relocated soil use at the receiving site (e.g. fill, cover) ...........................................................................
PART III
Contaminated Soil Relocation Agreement: To be completed and signed by all parties.
1. The above information accurately reflects the volume and quality of the soil to be relocated. I know of no regulation, bylaw or other legal restriction which might prohibit the relocation of the soil, as described in Part I, Section B, to the indicated receiving site. Further, I will ensure that all permits, manifests and other regulatory and safety requirements that may apply are met.
Signature of Source site owner ...........................................................................................
Print name ...........................................................................................................
Date (YY-MM-DD) ................................................................................................
2. I am prepared to receive the soil as described in Part I, Section B on the indicated site described in Part II, Section A. I know of no regulation, bylaw or other legal restriction which might prohibit the relocation of this soil to this site. The answers provided in Part II are accurate to the best of my knowledge.
Signature of Receiving site owner/operator ..........................................................................
Print name ...........................................................................................................
Date (YY-MM-DD) ................................................................................................
3. Signature of Director ............................................................................
Print name ...........................................................................................................
Date (YY-MM-DD) ................................................................................................
Schedule 8 BEFORE re-enacted by BC Reg 171/2025, effective October 27, 2025.
[en. B.C. Reg. 128/2022, App. 2, s. 13.]
Schedule 8.1 BEFORE re-enacted by BC Reg 171/2025, effective October 27, 2025.
[en. B.C. Reg. 133/2022, App., s. 14.]
Schedule 10, substance "manganese" BEFORE amended by BC Reg 97/2011, effective May 31, 2011.
| manganese | 7439-96-5 | 1 800 | 19 000 | 50 |
Schedule 10, substances "MCPA (2-methyl-4-chlorophenoxyacetic acid)" and "2-methyl-4-chlorophenoxyacetic acid (MCPA)" BEFORE amended by BC Reg 97/2011, effective May 31, 2011.
| MCPA (2-methyl-4-chlorophenoxyacetic acid) | 94-74-6 | 31 | 310 | 18 |
| 2-methyl-4-chlorophenoxyacetic acid (MCPA) | 94-74-6 | 31 | 310 | 18 |
Schedule 10, footnotes 10 and 11 were added by BC Reg 97/2011, effective May 31, 2011.
Schedule 10 table, Column V entry for manganese BEFORE amended by BC Reg 6/2013, effective January 24, 2013.
| manganese | 7439-96-5 | 1 800 | 19 000 | 55010,11 |




















