Section 1 (c) BEFORE amended by BC Reg 372/2012, effective March 18, 2013.
(c) the eligible property is encumbered by a charge registered under the Land (Spouse Protection) Act or the Family Relations Act.
Section 1 definition of "special agreement" BEFORE repealed by BC Reg 109/2015, effective June 9, 2015.
"special agreement" means an agreement to defer property taxes used in any of the following circumstances:
(a) the applicant is the holder of a lease, life estate or right to purchase registered against the land;
(b) the applicant is one of many owners;
(c) the eligible property is encumbered by a charge registered under the Land (Spouse Protection) Act or the Family Law Act.
Section 1.1 (2) (part) BEFORE amended by BC Reg 117/2013, effective March 19, 2013.
(2) For the purpose of section 5 (1) (d) (iii) of the Act, a person with disabilities is a person who
Section 1.1 (3) BEFORE amended by BC Reg 264/2020, effective September 20, 2020.
(3) For the purpose of verifying that a person meets the criteria as described in subsection (2) (b), an applicant must provide to the collector of taxes a medical practitioner's written certification of the matters listed in section 2 (2) of the EAPD Act.
Section 3 BEFORE re-enacted by BC Reg 264/2020, effective September 20, 2020.
Form of agreement to defer property taxes
3 An agreement to defer property taxes made under section 6 of the Act must be
(a) in Form 2 of the Schedule unless paragraph (b) applies, or
(b) in Form 2A of the Schedule if the minister determines under section 6 (1) of the Act that obtaining consent to the registration of the agreement from
(i) a holder of a registered charge against the eligible property, or
(ii) a spouse, as defined in section 1 of the Land (Spouse Protection) Act, on whose behalf an entry is made under that Act
is a term of the deferral.
[en. B.C. Reg. 109/2015, s. 2.]
Section 5 BEFORE amended by BC Reg 121/2010, effective May 5, 2010.
Fire insurance required
5 For the purpose of section 5 (1) (e) and (2.1) (e) of the Act, the eligible property must be supported by a valid fire insurance policy issued by an insurer authorized under the Financial Institutions Act, of an amount not less than the current assessed value determined by the British Columbia Assessment Authority for all residential class improvements to that property.
[en. B.C. Reg. 328/2004; am. B.C. Reg. 79/2009, s. 1.]
Section 5 BEFORE repealed by BC Reg 176/2012, effective June 25, 2012.
Fire insurance required
5 For the purpose of section 5 (1) (e), (2.1) (e) and (2.3) (e) of the Act, the eligible property must be supported by a valid fire insurance policy issued by an insurer authorized under the Financial Institutions Act, of an amount not less than the current assessed value determined by the British Columbia Assessment Authority for all residential class improvements to that property.
[en. B.C. Reg. 328/2004; am. B.C. Regs. 79/2009, s. 1; 121/2010, s. 1.]
Section 6 BEFORE amended by BC Reg 176/2012, effective June 25, 2012.
Minimum equity required
6 For the purpose of section 5 (5) (a) of the Act,
(a) in respect of a deferral agreement referred to in section 5 (1) of the Act, the percentage is 75% of the actual value of the eligible property determined by the assessor,
(b) in respect of a deferral agreement referred to in section 5 (2.1) of the Act, the percentage is 85% of the actual value of the eligible property determined by the assessor, and
(c) in respect of a deferral agreement referred to in section 5 (2.3) of the Act, the percentage is 85% of the actual value of the eligible property determined by the assessor.
[en. B.C. Reg. 79/2009, s. 2; am. B.C. Reg. 121/2010, s. 2.]
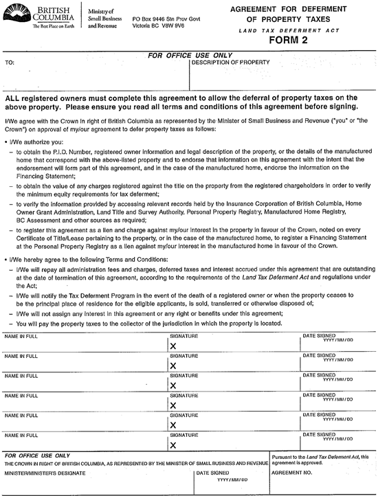
Schedule, Form 2 BEFORE amended by BC Reg 325/2010, effective November 19, 2010.
Form 2
(section 6 (2) of the Act)

Schedule, Form 2 BEFORE repealed by BC Reg 264/2020, effective September 20, 2020.
(section 3 (section 6 (2) of the Act))
Description of property: ..............................................................................................................................
I/We, as the owner/owners of the property identified in the application (the "Property"), agree with Her Majesty the Queen in right of British Columbia (the "Province"), as represented by the minister responsible for the administration of the Land Tax Deferment Act, to defer property taxes on the Property as follows:
• I/We authorize the Province:
• to obtain the Parcel Identifier (PID) Number(s), registered owner information and legal description of the Property, or the details of the manufactured home that correspond with the Property and to endorse that information on this agreement with the intent that the endorsement will form part of this agreement, and in the case of the manufactured home, endorse the information on the financing statement,
• to obtain the value of any charges registered against the title on the Property from the registered chargeholders in order to verify the minimum equity requirements for tax deferment,
• to verify the information provided by accessing relevant records held by the Insurance Corporation of British Columbia, Home Owner Grant Administration, Land Title and Survey Authority, Personal Property Registry, Manufactured Home Registry, BC Assessment and other sources as required, and
• to register this agreement as a lien and charge against my/our interest in the Property in favour of the Province, noted on every Certificate of Title pertaining to the Property, or in the case of a manufactured home, to register a financing statement at the Personal Property Registry as a lien against my/our interest in the manufactured home in favour of the Province.
• I/We hereby agree to the following Terms and Conditions:
• I/We will repay all deferred taxes, interest, administration fees and charges accrued under this agreement that are outstanding at the date of termination of this agreement.
• I/We will notify the Province in the event of the death of an owner or when the Property is sold, transferred or otherwise disposed of.
• I/We will not assign any interest in this agreement or any right or benefits under this agreement.
• The Province will pay the property taxes to the collector of the jurisdiction in which the Property is located.
Name in full ................................................ Signature ..................................... Date signed .....................
Name in full ................................................ Signature ..................................... Date signed .....................
Name in full ................................................ Signature ..................................... Date signed .....................
Name in full ................................................ Signature ..................................... Date signed .....................
Name in full ................................................ Signature ..................................... Date signed .....................
Name in full ................................................ Signature ..................................... Date signed .....................
Pursuant to the Land Tax Deferment Act, this agreement is approved.
Her Majesty the Queen in right of British Columbia, as represented by the minister responsible for the administration of the Land Tax Deferment Act.
Minister/Minister's Designate signature ....................................... Date signed ........................
Agreement Number .....................
Schedule, Form 2A BEFORE repealed by BC Reg 264/2020, effective September 20, 2020.
(section 3 (b) (section 6 (2) of the Act))
Description of property: ..............................................................................................................................
I/We, as the owner/owners of the property identified in the application (the "Property"), agree with Her Majesty the Queen in right of British Columbia (the "Province"), as represented by the minister responsible for the administration of the Land Tax Deferment Act, to defer property taxes on the Property as follows:
• I/We authorize the Province:
• to obtain the Parcel Identifier (PID) Number(s), registered owner information and legal description of the Property, or the details of the manufactured home that correspond with the Property and to endorse that information on this agreement with the intent that the endorsement will form part of this agreement, and in the case of the manufactured home, endorse the information on the financing statement,
• to obtain the value of any charges registered against the title on the Property from the registered chargeholders in order to verify the minimum equity requirements for tax deferment,
• to verify the information provided by accessing relevant records held by the Insurance Corporation of British Columbia, Home Owner Grant Administration, Land Title and Survey Authority, Personal Property Registry, Manufactured Home Registry, BC Assessment and other sources as required, and
• to register this agreement as a lien and charge against my/our interest in the Property in favour of the Province, noted on every Certificate of Title pertaining to the Property, or in the case of a manufactured home, to register a financing statement at the Personal Property Registry as a lien against my/our interest in the manufactured home in favour of the Province.
• I/We hereby agree to the following Terms and Conditions:
• I/We will repay all deferred taxes, interest, administration fees and charges accrued under this agreement that are outstanding at the date of termination of this agreement.
• I/We will notify the Province in the event of the death of an owner or when the Property is sold, transferred or otherwise disposed of.
• I/We will not assign any interest in this agreement or any right or benefits under this agreement.
• The Province will pay the property taxes to the collector of the jurisdiction in which the Property is located.
Name in full ................................................ Signature ..................................... Date signed .....................
Name in full ................................................ Signature ..................................... Date signed .....................
Name in full ................................................ Signature ..................................... Date signed .....................
Name in full ................................................ Signature ..................................... Date signed .....................
Name in full ................................................ Signature ..................................... Date signed .....................
Name in full ................................................ Signature ..................................... Date signed .....................
I/We, as the holder of charge ................................................ registered against the title on the Property, or as the spouse on whose behalf an entry is made on the register that the Property is subject to the Land (Spouse Protection) Act, consent to the Province registering this agreement as a lien and charge against the title on the Property in favour of the Province.
Name in full ................................................ Signature ..................................... Date signed .....................
Name in full ................................................ Signature ..................................... Date signed .....................
Name in full ................................................ Signature ..................................... Date signed .....................
Pursuant to the Land Tax Deferment Act, this agreement is approved.
Her Majesty the Queen in right of British Columbia, as represented by the minister responsible for the administration of the Land Tax Deferment Act.
Minister/Minister's Designate signature ......................................... Date signed .........................
Agreement Number .....................
Schedule, Form 4, third bullet point BEFORE amended by BC Reg 109/2015, effective June 9, 2015.
• the Spouse is married to the Owner, .........................[name of applicable owner], or is and, for a continuous period of at least two years, has been living and cohabiting with that Owner in a marriage-like relationship;
Schedule, Form 4 BEFORE repealed by BC Reg 264/2020, effective September 20, 2020.
(section 7 (section 7.1 (1) of the Act))
Description of property: ..............................................................................................................................
We, the undersigned owner/owners (the "Owner") of the property identified in the application (the "Property") and the undersigned spouse (the "Spouse") of the/an Owner, acknowledge that:
• the Owner made an agreement (the "Deferment Agreement") under the Land Tax Deferment Act (the "Act"), with Her Majesty the Queen in right of British Columbia (the "Province"), as represented by the minister responsible for the administration of the Act, permitting the Owner to defer property taxes on the Property;
• the Deferment Agreement has been deposited at the Tax Deferment Office and bears Agreement Number ....................., as assigned to it by the Province;
• the Spouse is married to the Owner, .........................[name of applicable owner], or is living with that Owner in a marriage-like relationship, and has been living in that relationship for a continuous period of at least 2 years;
• the Spouse has read both the entire Deferment Agreement and the most recent statement of account setting out the amount outstanding under it;
• we have requested the minister responsible for the administration of the Act to enter into this Amending Agreement and wish to amend the Deferment Agreement to add the Spouse as a party to it.
Therefore, we agree with the Province as follows:
• The Deferment Agreement is amended to add the Spouse as a signatory to it, by adding the name of the Spouse in one of the spaces provided for an owner's name.
• The Spouse agrees to be bound by and to perform, satisfy and discharge all of the obligations, liabilities and duties under the Deferment Agreement, as hereby amended, as if he/she were an original signatory to it. Without limiting the generality of the foregoing, the Spouse, together with the Owner, shall be liable for all taxes, interest, administration fees and charges that, at any time prior to the time at which this Amending Agreement takes effect, have been or may be deferred under the Deferment Agreement.
• This Amending Agreement shall be read together with the Deferment Agreement, and we confirm that, except as modified by this Amending Agreement, all covenants, terms and conditions in the Deferment Agreement shall remain unchanged, unmodified and in full force and effect.
• This Amending Agreement will take effect when a transfer, to the Spouse, of a portion of the interest of the Owner, ........................................[name of applicable owner], is registered in the land title office or given effect by the filing of a notice of transfer under the Manufactured Home Act.
We authorize the Province to:
• obtain the Parcel Identifier (PID) Number(s), registered owner information and legal description of the Property, or the details of the manufactured home that correspond with the Property and to endorse that information on this Amending Agreement with the intent that the endorsement will form part of this Amending Agreement, and, in the case of the manufactured home, endorse the information on the financing change statement;
• register this Amending Agreement as a modification to the registered charge created when the Deferment Agreement was registered in the land title office, or, in the case of a manufactured home, to register a financing change statement amending the financing statement registered at the Personal Property Registry when the Deferment Agreement was originally made.
Owner's name in full ............................... Signature ............................ Date signed .....................
Spouse's name in full ............................... Signature ............................ Date signed .....................
Owner's Name in full (if more than one owner) ........................................ Signature ............................ Date signed .....................
Owner's Name in full (if more than one owner) ........................................ Signature ............................ Date signed .....................
Pursuant to the Land Tax Deferment Act, this Amending Agreement is approved, amending the Deferment Agreement with Agreement Number ........................
Her Majesty the Queen in right of British Columbia, as represented by the minister responsible for the administration of the Land Tax Deferment Act.
Minister/Minister's Designate signature ............................ Date signed .....................