Section 1 definition of "actuarial gain" BEFORE amended by BC Reg 264/2019, effective December 31, 2019.
"actuarial gain", in relation to a benefit formula component of a pension plan, means the amount that represents the improvement, referred to in section 57 (6) or (8) or 58 (6), between the projected financial position of the plan component and the actual financial position of the plan component;
Section 1 definition of "participating employer's accessible going concern excess", paragraph (a) BEFORE amended by BC Reg 264/2019, effective December 31, 2019.
(a) in relation to each participating employer in a divisional multi-employer plan and to defined benefit components of that plan being funded by the participating employer, the amount by which the participating employer's share of the going concern assets values of those components exceeds 105% of the participating employer's share of the going concern liabilities values of those components, as those values are determined in the current actuarial valuation report, or
Section 1 definition of "PfAD" BEFORE amended by BC Reg 264/2019, effective December 31, 2019.
"PfAD", in relation to a target benefit component, means the percentage determined under section 2 to be the provision for adverse deviation in relation to the component;
Section 1 definition of "plan's accessible going concern excess", paragraph (a) BEFORE amended by BC Reg 264/2019, effective December 31, 2019.
(a) in relation to the defined benefit components of a pension plan other than a divisional multi-employer plan, means the amount by which the going concern assets values of the defined benefit components exceed 105% of the going concern liabilities values of the defined benefit components, as those values are determined in the current actuarial valuation report, or
Section 1 definition of "solvency asset adjustment", paragraph (a) BEFORE amended by BC Reg 264/2019, effective December 31, 2019.
(a) the actuarial present value of the special payments that are required to be paid under section 57 (2) (b) or (c) or (3) in relation to the component over the 5-year period that begins on the latest review date;
Section 1 definition of "solvency deficiency", paragraph (c) BEFORE amended by BC Reg 264/2019, effective December 31, 2019.
(c) in relation to a target benefit component, means the amount, if any, by which the component's solvency liabilities value exceeds the component's solvency asset value, both values determined as at the latest review date;
Section 1 (1) definition of "actuarial loss" BEFORE repealed by BC Reg 196/2022, effective December 31, 2022.
"actuarial loss", in relation to a benefit formula component of a pension plan, means the amount that represents the decrease between the projected financial position of the plan component and the actual financial position of the plan component;
Section 1 (1) definitions of "CANSIM rate" and "PfAD" BEFORE amended by BC Reg 196/2022, effective December 31, 2022.
"CANSIM rate", in relation to a period of not more than 12 months for which interest is payable, means, except in section 69, the rate of interest on long-term bonds issued by the government of Canada for the month of November preceding the calendar year in relation to which the withdrawal factor is being calculated, determined by reference to the Canadian Socio-Economic Information Management System (CANSIM) Series V122487 compiled by Statistics Canada and available on the website maintained by the Bank of Canada;
"PfAD" means,
(a) in relation to a defined benefit component, the percentage determined under section 1.1 to be the provision for adverse deviation in relation to the component, or
(b) in relation to a target benefit component, the percentage determined under section 2 to be the provision for adverse deviation in relation to the component;
Section 1 (1) definition of "participating employer’s accessible going concern excess", paragraph (a) sandwich text BEFORE amended by BC Reg 196/2022, effective December 31, 2022.
as the going concern assets values, the going concern liabilities values and the PfAD are determined in the current actuarial valuation report, or
Section 1 (1) definition of "plan's accessible going concern excess", paragraph (a) sandwich text BEFORE amended by BC Reg 196/2022, effective December 31, 2022.
as the going concern assets values, the going concern liabilities values and the PfAD are determined in the current actuarial valuation report, or
Section 1 (1) definition of "supplementary percentage" was added by BC Reg 196/2022, effective December 31, 2022.
Section 1 (2) definition of "medical practitioner" BEFORE amended by BC Reg 128/2025, effective April 1, 2026.
"medical practitioner" means
(a) a registrant of the College of Physicians and Surgeons of British Columbia entitled under the Health Professions Act to practise medicine and to use the title "medical practitioner", or
(b) a person who is the equivalent, in another province, of a person described in paragraph (a).
Section 1.1 (1) (part) BEFORE amended by BC Reg 196/2022, effective December 31, 2022.
(1) For the purposes of paragraph (a) of the definition of "PfAD" in section 1 (1), "PfAD" or "provision for adverse deviation", in relation to a defined benefit component, means,
Section 2 (1) BEFORE amended by BC Reg 264/2019, effective December 31, 2019.
(1) For the purposes of the definition of "PfAD" in section 1 (1), "PfAD" or "provision for adverse deviation" means the asset allocation amount plus, for every 0.01% that the assumed discount rate exceeds the benchmark discount rate, 0.15%.
Section 2 (2) definition of "benchmark discount rate", description of "equity allocation" BEFORE amended by BC Reg 264/2019, effective December 31, 2019.
| equity allocation | = | the percentage of the assets of the target benefit component of the plan that is invested in equities; |
Section 2 BEFORE re-enacted by BC Reg 196/2022, effective December 31, 2022.
Calculation of provision for adverse deviation
2 (1) For the purposes of paragraph (b) of the definition of "PfAD" in section 1 (1), "PfAD" or "provision for adverse deviation" means the asset allocation amount plus, for every 0.01% that the assumed discount rate exceeds the benchmark discount rate, 0.15%.
"asset allocation amount",
(a) if the equity allocation is shown in Column 1 of the table, means the percentage shown opposite that equity allocation percentage in Column 2, or
(b) if the equity allocation that is invested in equities is a percentage not shown in Column 1 of the table, means the percentage that is determined by interpolation from the table
| Table | |
| Column 1 Equity Allocation (%) | Column 2 Asset Allocation Adjustment (%) |
| 0 | 5 |
| 10 | 7.5 |
| 20 | 10 |
| 30 | 11.5 |
| 40 | 13 |
| 50 | 15 |
| 60 | 17 |
| 70 | 18.5 |
| 80 | 20 |
| 90 | 22.5 |
| 100 | 25 |
"assumed discount rate" means the assumption used in the current actuarial valuation report to discount the projected pension plan cash flows to the review date;
"benchmark discount rate", in relation to a target benefit component of a pension plan, means the percentage determined in the current actuarial valuation report by the following formula:
| equity allocation × | maximum equity risk premium | + | corporate bond yield | × | non-equity allocation | + 0.40% |
| where | ||||
| equity allocation | = | the percentage of the target asset allocation of the target benefit component of the plan that is allocated to equities, as at the review date and as set out in the plan's statement of investment policies and procedures referred to in section 43 (1) of the Act; | ||
| maximum equity risk premium | = | the sum of | ||
| (a) | 4%, and | |||
| (b) | the monthly yield on long-term government of Canada bonds applicable to the month as at which the review is performed, as determined by reference to the Canadian Socio-Economic Information Management System (CANSIM) Series V122544 compiled by Statistics Canada and available on the website maintained by the Bank of Canada; | |||
| corporate bond yield | = | the 30-year spot rate of an extrapolated yield curve of AA-rated corporate bonds, determined in a manner that is consistent with the accepted standards of practice or guidance material issued by the Canadian Institute of Actuaries for accounting discount rate assumptions in connection with pension plans, as amended from time to time; | ||
| non-equity allocation | = | the amount determined by subtracting the plan's equity allocation from 100%. | ||
"equities" means securities listed on a securities exchange, and includes any other investments that the superintendent has, in a record published by the superintendent, recognized as equities.
[am. B.C. Reg. 264/2019, s. 3.]
Section 3 (2) BEFORE amended by BC Reg 196/2022, effective December 31, 2022.
(2) If actuarial excess is being calculated in relation to a benefit formula component of a pension plan for the purposes of section 70 or 71, the value of the component assets and the value of the component liabilities are to be calculated on a going concern basis.
Section 3 (2.1) was added by BC Reg 196/2022, effective December 31, 2022.
Section 10 (1) (a) and (f) BEFORE amended by BC Reg 297/2016, effective December 31, 2016.
(a) University of British Columbia Staff Pension Plan;
(f) the Pension Plan of the United Way of the Lower Mainland;
Section 10 (8.1) was added by BC Reg 297/2016, effective December 31, 2016.
Section 10 (13) BEFORE amended by BC Reg 169/2018, effective July 27, 2018.
(13) The Catalyst Paper Corporation Retirement Plan for Salaried Employees and the participating employer, as defined in Schedule 6, are exempt from the provisions of the Act and this regulation as set out in Schedule 6, to the extent and on the conditions specified in that Schedule.
Section 10 (12) to (14) BEFORE repealed by BC Reg 264/2019, effective December 31, 2019.
(12) A multi-employer negotiated cost plan to which Schedule 5 applies is exempt from the special payment requirements of section 57 (2) (c), to the extent and on the conditions, if applicable, specified in that Schedule.
(13) The Catalyst Paper Corporation Retirement Plan for Salaried Employees and the participating employer, as defined in Schedule 6,
(a) are exempt from the provisions of the Act and this regulation as set out in Schedule 6, to the extent and on the conditions specified in that Schedule, and
(b) are subject to the requirements as set out in Schedule 6 if the Plan and participating employer cease to be exempt because a condition specified in that Schedule has not been met.
(14) The Retirement Plan for Non-Teaching Employees of School District No. 43 (Coquitlam) and the participating employer, as defined in Schedule 7, are exempt from the provisions of the Act and this regulation as set out in Schedule 7, to the extent and on the conditions specified in that Schedule.
Section 11 (2) (a) BEFORE amended by BC Reg 297/2016, effective December 7, 2016.
(a) sections 8 (1) (h), 36, 39 (c), 48, 52 (2) (a), 56 (3) and (5), 63, 72 (3), 94 (a), 106, and 107 of the Act;
Section 11 (2) (a.1) and (f) were added by BC Reg 297/2016, effective December 7, 2016.
Section 11 (2) (c) BEFORE amended by BC Reg 264/2019, effective December 31, 2019.
(c) the definition of "divisional multi-employer plan" in section 1 (1) and sections 28, 30 (4) (c), 31 (3) (c), 33 (4) (c) and (g) (vi), 37 (5) (d) (vi), (e) and (g), 43 (1) (j) and (4) (h), 46 (4) (d), (f), (k), (m) and (q), 53, 55 (6), 57, 65, 66, 71 and 135 of this regulation;
Section 13 (4) sandwich text BEFORE amended by BC Reg 64/2021, effective March 11, 2021.
the plan provision referred to in paragraph (b) must provide that the additional amount of pension is to cease or be reduced when the member attains the age at which he or she is entitled to receive an unreduced pension under the CPP Act or the QPP Act.
Section 22 (a) (iii) (A) BEFORE amended by BC Reg 264/2019, effective December 31, 2019.
(A) an actuarial valuation report that demonstrates that, immediately after the amendment takes effect, the defined benefit component's solvency ratio would be at least 0.9, and
Section 25 (1) (c) (ii) BEFORE amended by BC Reg 64/2021, effective March 11, 2021.
(ii) if the employee becomes eligible to become a member within 30 days after the date of his or her employment, on or before the employee's date of employment.
Section 30 (4) (c) (part) and (d) BEFORE amended by BC Reg 196/2022, effective December 31, 2022.
(c) if the member is or will be entitled to receive benefits from a defined benefit component of the plan, the solvency ratio of the defined benefit component as set out in the current actuarial valuation report, expressed as a percentage, and, if that solvency ratio expressed as a percentage is less than 100%,
(d) if the member is or will be entitled to receive benefits from a target benefit component of the plan, the target benefit funded ratio of the target benefit component as set out in the current actuarial valuation report, expressed as a percentage, and, if that target benefit funded ratio expressed as a percentage is less than 100%,
(i) a statement that the current actuarial valuation report has determined that, as at the review date applicable to that actuarial valuation report, there was an unfunded liability in that the value of the assets of the target benefit component was not sufficient to cover the target benefit component benefits,
(ii) a statement of the steps being taken to address the unfunded liability,
(iii) a statement that failure to amortize the unfunded liability may result in a reduction of benefits, and
(iv) an explanation of how the member's benefits would be affected were the member to terminate active membership when the target benefit funded ratio expressed as a percentage is less than 100%;
Section 31 (1) (a) BEFORE amended by BC Reg 325/2021, effective December 13, 2021.
(a) if the recipient of the statement is receiving life income type benefits from the defined contribution component of the plan, within 30 days after the end of each calendar year;
Section 31 (3) (c) (part) and (d)BEFORE amended by BC Reg 196/2022, effective December 31, 2022.
(c) if the recipient of the statement is receiving benefits from a defined benefit component of the plan, the solvency ratio of the defined benefit component as set out in the current actuarial valuation report, expressed as a percentage, and, if that solvency ratio expressed as a percentage is less than 100%,
(d) if the recipient of the statement is receiving benefits from a target benefit component of the plan, the target benefit funded ratio of the target benefit component as set out in the current actuarial valuation report, expressed as a percentage, and, if that target benefit funded ratio expressed as a percentage is less than 100%,
(i) a statement that the current actuarial valuation report has established that, as at the review date applicable to that actuarial valuation report, there was an unfunded liability in that the value of the assets of the target benefit component was not sufficient to cover the target benefit component benefits,
(ii) a statement of the steps being taken to address the unfunded liability, and
(iii) a statement that failure to amortize the unfunded liability may result in a reduction of benefits.
Section 33 (4) (d) (iv) BEFORE amended by BC Reg 64/2021, effective March 11, 2021.
(iv) a statement that if the member elects, as at the date of the member's termination of active membership, to transfer the benefits to which he or she is entitled under the target benefit component, he or she is entitled to the amount determined by multiplying the commuted value referred to in paragraph (a) (i) by the component's target benefit funded ratio as at the review date applicable to the current actuarial valuation report;
Section 33 (4) (f) (i) BEFORE amended by BC Reg 64/2021, effective March 11, 2021.
(i) the options available to the member under the plan text document in relation to each of his or her benefits under the plan,
Section 33 (4) (d) BEFORE amended by BC Reg 196/2022, effective December 31, 2022.
(d) if the member is entitled to receive benefits from a target benefit component of the plan, the target benefit funded ratio of the target benefit component as set out in the current actuarial valuation report, expressed as a percentage, and, if that target benefit funded ratio expressed as a percentage is less than 100%,
(i) a statement that the current actuarial valuation report has established that, as at the review date applicable to that actuarial valuation report, there was an unfunded liability in the target benefit component in that the value of the assets of the target benefit component was not sufficient to cover the target benefit component benefits,
(ii) a statement of the steps being taken to address the unfunded liability,
(iii) a statement that failure to amortize the unfunded liability may result in a reduction of benefits, and
(iv) a statement that if the member elects, as at the date of the member's termination of active membership, to transfer the benefits to which the member is entitled under the target benefit component, the member is entitled to the amount determined by multiplying the commuted value referred to in paragraph (a) (i) by the component's target benefit funded ratio as at the review date applicable to the current actuarial valuation report;
Section 34 (6) (b) (i) BEFORE amended by BC Reg 64/2021, effective March 11, 2021.
(i) the options available to the member under the plan text document in relation to each of his or her benefits under the plan,
Section 35 (3) (e) BEFORE amended by BC Reg 64/2021, effective March 11, 2021.
(e) the amount of pension to which the member would be entitled if he or she retired as at the date of the statement;
Section 37 (5) (h) (i) BEFORE amended by BC Reg 64/2021, effective March 11, 2021.
(i) the options available to the surviving spouse or designated beneficiary, as applicable, under the plan text document, and under section 79 (1) (a) and (2) of the Act, in relation to each of his or her benefits under the plan,
Section 37 (5) (f) BEFORE amended by BC Reg 196/2022, effective December 31, 2022.
(f) if the deceased member was entitled to receive benefits from a target benefit component of the plan, the target benefit funded ratio of the target benefit component as set out in the current actuarial valuation report, expressed as a percentage, and, if that target benefit funded ratio expressed as a percentage is less than 100%,
(i) a statement that the current actuarial valuation report has established that, as at the review date applicable to that actuarial valuation report, there was an unfunded liability in the target benefit component in that the value of the assets of the target benefit component was not sufficient to cover the target benefit component benefits,
(ii) a statement of the steps being taken to address the unfunded liability,
(iii) a statement that failure to amortize the unfunded liability may result in a reduction of benefits, and
(iv) a statement indicating that, as at the date of the deceased member's death, the amount of the deceased member's benefits that the surviving spouse, designated beneficiary or personal representative is entitled to receive is the amount determined by multiplying the commuted value of the benefit by the component's target benefit funded ratio as at the review date applicable to the current actuarial valuation report;
Section 38 (5) (c) (i) BEFORE amended by BC Reg 64/2021, effective March 11, 2021.
(i) the options available to the surviving spouse under the plan text document in relation to each of his or her benefits under the plan and for each option that will lead to money being locked-in money, what that means to the spouse,
Section 42 (1) BEFORE amended by BC Reg 264/2019, effective December 31, 2019.
(1) For the purposes of section 37 (2) of the Act, if a statement under this Division is required to set out the amount of a benefit payable under a plan, the administrator of the plan must, within 30 days after receiving a request to do so, provide to any person who is entitled to receive the statement, the data, and a description of the method, used to calculate the amount of that benefit.
Section 43 (2) (c) (ii) BEFORE amended by BC Reg 196/2022, effective December 31, 2022.
(ii) if the plan is a collectively bargained multi-employer plan and the person requesting the information requests that the examination take place at the establishment of a trade union that represents members of the plan, and that is nearest to the residence of the person requesting the information, at that establishment, or
Section 45 (5) (part) BEFORE amended by BC Reg 287/2020, effective December 18, 2020.
(5) If an amendment to a plan text document, a change in plan membership or a change in the contribution rate applicable to a target benefit component of a negotiated cost plan
Section 46 (4) (c) to (f) BEFORE amended by BC Reg 264/2019, effective December 31, 2019.
(c) subject to subsection (8), for each unfunded liability, if any,
(i) the date of its establishment,
(iii) the special payments to be made under section 57 (2) (b) or (3) or 58 (2) (c) or (4) by the participating employer, or, in the case of a jointly sponsored plan, by the participating employer and the active members, to amortize it,
(iv) in the case of a jointly sponsored plan, the rules by which the amount of the special payments to be made under subparagraph (iii) was determined, and
(v) the date at which it will be amortized;
(d) if the plan text document contains a defined benefit provision, one of the following:
(i) a statement that in the opinion of the reviewer the defined benefit component does not have a solvency deficiency;
(ii) for each solvency deficiency, if any,
(A) the date of its establishment,
(C) the special payments to be made under section 57 (2) (c) or (3) by the participating employer, or, in the case of a jointly sponsored plan, by the participating employer and the active members, to amortize it,
(D) in the case of a jointly sponsored plan, the rules by which the amount of the special payments to be made under clause (C) was determined, and
(E) the date at which it will be amortized;
(e) if the plan text document contains a target benefit provision, one of the following:
(i) a statement that, in the opinion of the reviewer the target benefit component does not have a solvency deficiency;
(ii) the total amount of the solvency deficiencies of the target benefit component;
(i) a statement that, in the opinion of the reviewer, the solvency ratio of each defined benefit component is not less than 1 and a description of the actuarial assumptions underlying the reviewer's opinion;
(ii) if the solvency ratio of a defined benefit component is less than 1, the solvency ratio in relation to each defined benefit component;
Section 46 (4) (o) (iii) and (iv) BEFORE amended by BC Reg 264/2019, effective December 31, 2019.
(iii) the average amount, per hour of employment, needed to amortize each unfunded liability, if any, in that defined benefit component;
(iv) the average amount, per hour of employment, needed to amortize each solvency deficiency, if any, in that defined benefit component;
Section 46 (4) (o) (ii.1) and (iv.1) were added by BC Reg 264/2019, effective December 31, 2019.
Section 46 (4) (q) BEFORE amended by BC Reg 264/2019, effective December 31, 2019.
(q) if the plan text document contains a defined benefit provision, the solvency ratio of the defined benefit component as at the review date;
Section 46 (6) BEFORE amended by BC Reg 264/2019, effective December 31, 2019.
(6) If the actuarial method used in a review may not reveal an unfunded liability or a solvency deficiency, the reviewer must
(a) perform whatever calculations are necessary to allow the reviewer to determine whether there is an unfunded liability or a solvency deficiency and whether the funding requirements under section 57 or 58, as applicable, are being met, and
(b) certify that any unfunded liability or solvency deficiency is being amortized in accordance with the Act and this regulation.
Section 46 (0.1) was added by BC Reg 196/2022, effective December 31, 2022.
Section 46 (4) (o) and (p) BEFORE amended by BC Reg 196/2022, effective December 31, 2022.
(o) in the case of a negotiated cost plan of which the plan text document contains a defined benefit provision, if contributions related to that provision are based on a fixed amount per hour of employment, the following in respect of each defined benefit component of the plan:
(i) the average amount, per hour of employment, that, under the terms of the collective agreement, must be contributed in each fiscal year covered by the actuarial valuation report;
(ii) the average amount, per hour of employment, needed to fund the normal actuarial cost applicable to that defined benefit component;
(ii.1) the amount referred to in subparagraph (ii) in relation to that defined benefit component multiplied by the PfAD applicable to that defined benefit component;
(iii) the average amount, per hour of employment, needed to make the payments, if any, under section 57 (3) for that defined benefit component;
(iv) the average amount, per hour of employment, needed to make the payments referred to in subparagraph (iii) that would otherwise be required under section 57 (2) (b);
(iv.1) the average amount, per hour of employment, needed to make the payments referred to in subparagraph (iii) that would otherwise be required under section 57 (2) (c);
(v) the average amount per hour of employment, if any, of accessible going concern excess being used to meet the funding requirements under section 57 applicable to that defined benefit component as follows:
(A) in the case of a plan that is not a divisional multi-employer plan, the plan's accessible going concern excess;
(B) in the case of a plan that is a divisional multi-employer plan, each participating employer's accessible going concern excess;
(vi) the number of hours of employment in that fiscal year that, for the purposes of the review, is expected to be the total number of hours of employment for the active members accruing benefits under the applicable defined benefit provision;
(vii) the amount of expected contributions to be contributed by the participating employer and the active members, if applicable,
(A) for the fiscal year following the review date if the review date falls on the last day of a fiscal year, or
(B) for the fiscal year in which the review date falls if the review date falls on a day other than the last day of a fiscal year;
(p) in the case of a negotiated cost plan of which the plan text document contains a target benefit provision, if contributions related to that provision are based on a fixed amount per hour of employment, the following in respect of each target benefit component in the plan:
(i) the average amount, per hour of employment, that, under the terms of the collective agreement, must be contributed in each fiscal year covered by the actuarial valuation report;
(ii) the average amount, per hour of employment, needed to fund the normal actuarial cost applicable to that target benefit component;
(iii) the average amount, per hour of employment, needed to amortize each unfunded liability, if any, in that target benefit component;
(iv) the amount referred to in subparagraph (ii) in relation to that target benefit component multiplied by the PfAD applicable to that target benefit component;
(v) the average amount per hour of employment, if any, of accessible going concern excess being used to meet the funding requirements under section 58 applicable to that target benefit component as follows:
(A) in the case of a plan that is not a divisional multi-employer plan, the plan's accessible going concern excess;
(B) in the case of a plan that is a divisional multi-employer plan, each participating employer's accessible going concern excess;
(vi) the number of hours of employment in that fiscal year that, for the purposes of the review, is expected to be the total number of hours of employment for the active members accruing benefits under the applicable target benefit provision;
(vii) the amount of expected contributions to be contributed by the participating employer and the active members, if applicable,
(A) for the fiscal year following the review date if the review date falls on the last day of a fiscal year, or
(B) for the fiscal year in which the review date falls if the review date falls on a day other than the last day of a fiscal year;
Section 46 (4) (r) (ii) BEFORE repealed by BC Reg 196/2022, effective December 31, 2022.
(ii) the benchmark discount rate, as defined in section 2 (2), including the corporate bond yield, the equity allocation, the maximum equity risk premium and the non-equity allocation;
Section 46 (4) (r) (iii) BEFORE amended by BC Reg 196/2022, effective December 31, 2022.
Section 47 (2) BEFORE amended by BC Reg 264/2019, effective December 31, 2019.
(2) Audited financial statements filed under subsection (1) must be prepared in accordance with the accounting standards contained in the CPA Canada Handbook — Accounting and the CPA Canada Handbook — Assurance, as amended from time to time.
Section 50 (g) BEFORE amended by BC Reg 64/2021, effective March 11, 2021.
(g) establishes an ongoing process to identify the educational requirements and skills necessary for the administrator to perform his or her duties in relation to the plan;
Section 52 (a) (i) BEFORE amended by BC Reg 196/2022, effective December 31, 2022.
Section 52 (b.1) was added by BC Reg 196/2022, effective December 31, 2022.
Section 56 BEFORE re-enacted by BC Reg 264/2019, effective December 31, 2019.
Definitions
56 In this Part:
"establishment date", in the case of an unfunded liability or a solvency deficiency of a benefit formula component of a pension plan, means
(a) the review date as at which the existence of the unfunded liability or solvency deficiency was established, or
(b) if the unfunded liability or solvency deficiency resulted from an amendment to the plan text document of the plan, the effective date of the amendment;
"expected average remaining service life", in relation to a defined benefit or target benefit component of a pension plan, means the expected average number of years or portions of years that the reviewer who prepared the current actuarial valuation report estimated to be worked by active members accruing benefits under the component, from the review date of the current actuarial valuation report until the anticipated date that each active member terminates active membership, based on the demographic assumptions used in the most recent actuarial valuation;
"plan contributor", in relation to a pension plan, means
(a) the participating employers in the plan, if the plan is neither a jointly sponsored plan nor a divisional multi-employer plan,
(b) the participating employers and the active members in the plan, if the plan is a jointly sponsored plan that is not a divisional multi-employer plan, or
(c) each participating employer in the plan, if the plan is a divisional multi-employer plan;
"solvency deficiency payment period", in relation to a solvency deficiency, means
(a) subject to paragraph (b), the 5-year period that begins on the establishment date of the solvency deficiency, or
(b) in the case of a solvency deficiency of a jointly sponsored plan, the 5-year period that begins on the first anniversary of the establishment date of the solvency deficiency;
"unfunded liability payment period", in relation to an unfunded liability of a benefit formula component of a pension plan, means
(a) subject to paragraphs (b) to (d), the 15-year period that begins on the establishment date of the unfunded liability,
(b) subject to paragraph (d), in the case of an unfunded liability of a jointly sponsored plan, the 15-year period that begins on the first anniversary of the establishment date of the unfunded liability,
(c) subject to paragraph (d), in the case of a target benefit component, the shorter of
(i) the 15-year period that begins on the establishment date of the unfunded liability, and
(ii) the expected average remaining service life that begins on the establishment date of the unfunded liability, or
(d) in the case of a target benefit component of a jointly sponsored plan, the shorter of
(i) the 15-year period that begins on the first anniversary of the establishment date of the unfunded liability, and
(ii) the expected average remaining service life that begins on the first anniversary of the establishment date of the unfunded liability.
Section 57 (2) (a) (i) and (ii) BEFORE repealed by BC Reg 264/2019, effective December 31, 2019.
(i) starting in the first month of the fiscal year of the plan following the review date, in the case of a plan other than a jointly sponsored plan, or
(ii) starting in the first month of the second fiscal year of the plan following the review date, in the case of a jointly sponsored plan;
Section 57 (2) (a.1) was added by BC Reg 264/2019, effective December 31, 2019.
Section 57 (2) (b) and (c) BEFORE amended by BC Reg 264/2019, effective December 31, 2019.
(b) without limiting any other obligation on the plan contributor to make payments under this section in relation to any previous unfunded liability of the defined benefit component, if the current actuarial valuation report establishes the existence of an unfunded liability for the defined benefit component, a series of equal payments that are made at least monthly, which series of payments must be sufficient, in the opinion of the reviewer who prepared that actuarial valuation report, to amortize the unfunded liability within the unfunded liability payment period applicable to it;
(c) without limiting any other obligation on the plan contributor to make payments under this section in relation to any previous solvency deficiency of the defined benefit component, if the current actuarial valuation report establishes the existence of a solvency deficiency for the defined benefit component, a series of equal payments that are made at least monthly, which series of payments must be sufficient, in the opinion of the reviewer who prepared that actuarial valuation report, to amortize the solvency deficiency within the solvency deficiency payment period applicable to it.
Section 57 (2.1) was added by BC Reg 264/2019, effective December 31, 2019.
Section 57 (3) and (12) BEFORE amended by BC Reg 264/2019, effective December 31, 2019.
(3) Instead of making the payments referred to in subsection (2) (b), in the case of an unfunded liability, or the payments referred to in subsection (2) (c), in the case of a solvency deficiency, the plan contributor may elect to make payments into the plan under this subsection if
(a) the payments are made at least monthly over the unfunded liability payment period or solvency deficiency payment period, as the case may be, that is applicable to that unfunded liability or solvency deficiency,
(b) the payment amounts are identical and are calculated as a percentage of the payroll or as an average amount per hour of employment that, as at the review date of the actuarial valuation report by which the existence of the unfunded liability or solvency deficiency was established, was projected for the members, and
(c) the actuarial present value of the payments over the period referred to in paragraph (a), or any shorter period selected by the administrator for the purposes of this subsection, is equal to that unfunded liability or solvency deficiency.
(12) If a plan contributor is required under subsection (2) or (3) to make payments in relation to an unfunded liability or a solvency deficiency, the plan contributor may make larger payments, more frequent payments or earlier payments than what is required, and, in that event, the plan contributor may, despite subsections (2) and (3), reduce or eliminate subsequent payments provided that
(a) the unfunded liability or solvency deficiency is eliminated within the applicable unfunded liability payment period or solvency deficiency payment period, as the case may be, and
(b) the balance of the unfunded liability or solvency deficiency never exceeds the amount of that unfunded liability or solvency deficiency that would have existed had the full amount of the payments required under subsection (2) or (3) been made.
Section 57 (4) to (9) BEFORE repealed by BC Reg 264/2019, effective December 31, 2019.
(4) Without limiting subsections (2) and (3), each unfunded liability and solvency deficiency must be funded by a separate series of payments under subsection (2) (b) or (c) or (3) and must not be combined with any other unfunded liability or solvency deficiency.
(5) If the current actuarial valuation report establishes that the defined benefit component of the plan has no solvency deficiencies, the reviewer may, in that actuarial valuation report, recalculate the payments, if any, that are, under subsection (2) or (3), required to be made in relation to any remaining unfunded liability of the plan component and the plan contributors may pay into the plan the recalculated payments instead of the payments that were required before that recalculation.
(6) If the current actuarial valuation report prepared on a going concern basis in relation to a pension plan establishes that the total amount of all unfunded liabilities of the plan component is less than the total amount of all unfunded liabilities projected for the plan component in the previously filed actuarial valuation report, the amount of that actuarial gain must be used
(a) to eliminate every unfunded liability of the plan component, or
(b) if the amount of that actuarial gain is insufficient to eliminate every unfunded liability of the plan component, to reduce the unfunded liabilities of the plan component, with the unfunded liabilities of the plan component being eliminated or reduced chronologically, beginning with the oldest unfunded liability.
(7) If the defined benefit component's actuarial gain is used in the manner referred to in subsection (6) (b) to reduce the amount of an unfunded liability, the payments that are, under subsection (2) or (3), required to be made in relation to that unfunded liability may be
(a) reduced, on a prorated basis, and paid over
(i) the remainder of the applicable unfunded liability payment period, or
(b) left unreduced and paid over a shorter period than the applicable unfunded liability payment period.
(8) If the current actuarial valuation report prepared in relation to a pension plan establishes that the total amount of all solvency deficiencies of the plan component is less than the total amount of all solvency deficiencies projected for the plan component in the previously filed actuarial valuation report, the amount of that actuarial gain must be used
(a) to eliminate every solvency deficiency of the plan component, or
(b) if the amount of that actuarial gain is insufficient to eliminate every solvency deficiency of the plan component, to reduce the solvency deficiencies of the plan component, with the solvency deficiencies of the plan component being eliminated or reduced chronologically, beginning with the oldest solvency deficiency.
(9) If the defined benefit component's actuarial gain is used in the manner referred to in subsection (8) (b) to reduce the amount of a solvency deficiency, the payments that are, under subsection (2) or (3), required to be made in relation to that solvency deficiency may be
(a) reduced, on a prorated basis, and paid over
(i) the remainder of the applicable solvency deficiency payment period, or
(b) left unreduced and paid over a shorter period than the applicable solvency deficiency payment period.
Section 57 (2) (a.1) BEFORE amended by BC Reg 196/2022, effective December 31, 2022.
(a.1) unless the current actuarial valuation report establishes that the defined benefit component has accessible going concern excess, at least monthly, an amount equal to the product of the PfAD and the amount referred to in paragraph (a);
Section 58 (0.1) was added by BC Reg 264/2019, effective December 31, 2019.
Section 58 (1) BEFORE amended by BC Reg 264/2019, effective December 31, 2019.
(1) This section applies to a multi-employer plan of which the plan text document contains one or more target benefit provisions.
Section 58 (10) (part) BEFORE amended by BC Reg 287/2020, effective December 18, 2020.
(10) The reviewer preparing an actuarial valuation report in relation to a negotiated cost plan must
Section 58 (11) (b) (i) BEFORE amended by BC Reg 287/2020, effective December 18, 2020.
(i) satisfy the superintendent that a contribution increase, sufficient to allow the plan to meet the funding requirements applicable to the target benefit component, has been incorporated into the applicable collective agreement, or
Section 58 (2) (part) BEFORE amended by BC Reg 196/2022, effective December 31, 2022.
(2) Subject to subsection (4) and section 63, a plan contributor must, in accordance with this subsection, pay the following into the plan or, in the case of a divisional multi-employer plan, pay the plan contributor's share of the following into the plan:
Section 58 (2) (b) BEFORE amended by BC Reg 196/2022, effective December 31, 2022.
(b) at least monthly, an amount equal to the product of the PfAD multiplied by the amount referred to in paragraph (a);
Section 58 (8) (c) was added by BC Reg 196/2022, effective December 31, 2022.
Section 61 (2) (f) (i) and (ii) BEFORE amended by BC Reg 264/2019, effective December 31, 2019.
(i) the plan is not a divisional multi-employer plan, no defined benefit component has an unfunded liability and the withdrawal will not result in any defined benefit component having an unfunded liability;
(ii) the plan is a divisional multi-employer plan, the participating employer's share of any unfunded liability of a defined benefit component of the plan being funded by the participating employer is zero and the withdrawal will not result in the participating employer's share of any unfunded liability becoming greater than zero.
Section 61 (2) (f) (i) (C) BEFORE amended by BC Reg 287/2020, effective December 18, 2020.
(C) the plan contributor has no requirement under section 57 (2) (b) to make special payments for any defined component, and
Section 61 (2) (f) (ii) (C) BEFORE amended by BC Reg 287/2020, effective December 18, 2020.
(C) the participating employer has no requirement under section 57 (2) (b) to make special payments for any defined component, and
Section 61 (3) BEFORE amended by BC Reg 64/2021, effective March 11, 2021.
(3) If the superintendent is of the opinion that it is appropriate to do so, the superintendent may revoke his or her consent to a withdrawal of accessible solvency excess and direct the administrator to cease withdrawing accessible solvency excess from a solvency reserve account.
Section 62 (5) BEFORE amended by BC Reg 64/2021, effective March 11, 2021.
(5) If the superintendent is of the opinion that it is appropriate to do so, the superintendent may revoke his or her consent to a withdrawal of the money referred to in subsection (3) and direct the administrator to cease withdrawing that money.
Section 63 (6) (a) BEFORE amended by BC Reg 183/2015, effective October 2, 2015.
(a) if the administrator files, with the records filed under subsection (5) (a), an actuarial valuation report prepared, or the current actuarial valuation report revised, as at the date of expiry of the letter of credit being renewed or replaced, showing that, despite the reduction, the funding requirements under section 57 will continue to be met, the amount covered by the renewal or replacement letter of credit may be reduced from the amount covered by the letter of credit being renewed or replaced to the extent indicated in the actuarial valuation report;
Section 63 (6) (c) (ii) BEFORE amended by BC Reg 183/2015, effective October 2, 2015.
(ii) an actuarial valuation report prepared, or the current actuarial valuation report revised, as at the date of expiry of the letter of credit being renewed or replaced, showing that, after taking into account both the remittance referred to in subparagraph (i) and the reduction, the funding requirements under section 57 will continue to be met,
Section 63 (7) (b) (i) BEFORE amended by BC Reg 183/2015, effective October 2, 2015.
(i) an actuarial valuation report prepared, or the current actuarial valuation report revised, as at the date of expiry of the letter of credit, showing that, despite the expiry, the funding requirements under section 57 will continue to be met, or
Section 63 (11) (a) BEFORE amended by BC Reg 264/2019, effective December 31, 2019.
(a) has not received any record that the administrator is required to send to the holder under subsection (5) (b) or (10), and
Section 67 (2) BEFORE amended by BC Reg 264/2019, effective December 31, 2019.
(2) The lump-sum payment to which a member referred to in section 57 (7) of the Act is entitled under section 57 (4) of the Act must be reduced by multiplying the amount calculated under section 57 (2) of the Act by the lesser of
(b) the target benefit funded ratio that is set out in the current actuarial valuation report for the plan.
Section 69 (1) definition of "CANSIM rate" BEFORE amended by BC Reg 196/2022, effective December 31, 2022.
"CANSIM rate", in relation to a period of not more than 12 months for which interest is payable, means the rate of interest calculated on the basis of the average of the yields of 5-year personal fixed term chartered bank deposit rates, determined by reference to the Canadian Socio-Economic Information Management System (CANSIM) Series V122515 compiled by Statistics Canada and available on the website maintained by the Bank of Canada, which average is determined in relation to the most recent period of that length for which the rates are available;
Section 69 (1) definition of "reference rate" was added by BC Reg 196/2022, effective December 31, 2022.
Section 70 (2) (f) (ii) BEFORE amended by BC Reg 264/2019, effective December 31, 2019.
(ii) the plan is a divisional multi-employer plan, the participating employer's share of the solvency deficiencies of any defined benefit component of the plan being funded by the participating employer is zero and the distribution will not result in the participating employer's share of the solvency deficiencies becoming greater than zero.
Section 70 (9) (d) (ii) BEFORE amended by BC Reg 264/2019, effective December 31, 2019.
(ii) a statement that, in the administrator's opinion, the distribution will not result in the participating employer's share of the solvency deficiencies of any defined benefit component of the plan being funded by the participating employer becoming greater than zero;
Section 70 (5) BEFORE amended by BC Reg 64/2021, effective March 11, 2021.
(5) If the superintendent is of the opinion that it is appropriate to do so, the superintendent may revoke his or her consent to a distribution of accessible going concern excess or surplus and direct the administrator to cease distributing accessible going concern excess or surplus.
Section 71 (3) (c) (ii) BEFORE amended by BC Reg 264/2019, effective December 31, 2019.
(ii) the plan is a divisional multi-employer plan and the participating employer's share of the solvency deficiencies of any defined benefit component of the plan being funded by the participating employer is zero and the use of actuarial excess to reduce or eliminate contributions will not result in the participating employer's share of the solvency deficiencies becoming greater than zero,
Section 74 (11) (a) BEFORE amended by BC Reg 9/2016, effective January 29, 2016.
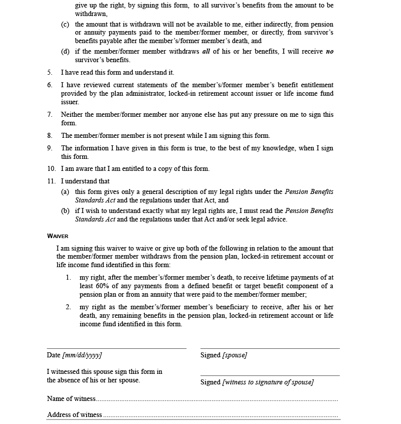
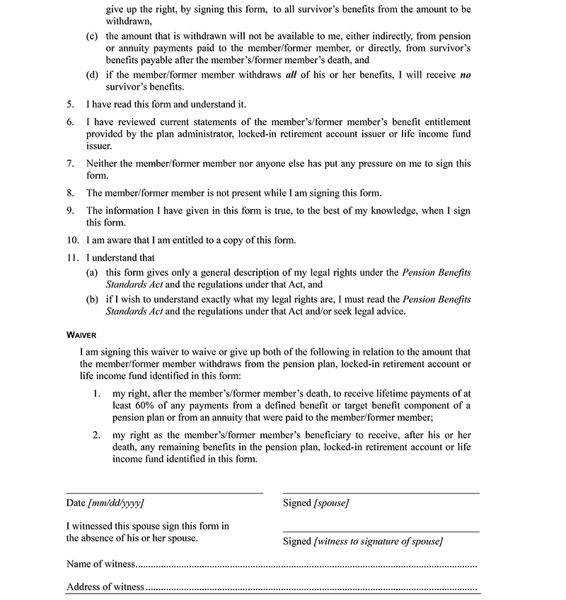
(a) a waiver in Form 4 of Schedule 3 signed by the spouse before the member's death in the presence of a witness and outside the presence of the member;
Section 74 (7) (a) and (b) BEFORE amended by BC Reg 64/2021, effective March 11, 2021.
(a) his or her locked-in retirement account;
(b) his or her life income fund;
Section 74 (9) BEFORE amended by BC Reg 64/2021, effective March 11, 2021.
(9) If, when a member who is receiving life income type benefits under a pension plan dies, he or she has a surviving spouse whose interest in the deceased member's life income type benefits has not been terminated within the meaning of subsection (11),
Section 74 (10) (a) and (b) BEFORE amended by BC Reg 64/2021, effective March 11, 2021.
(a) he or she is not survived by a spouse, or
(b) he or she is survived by a spouse but the spouse's interest has been terminated within the meaning of subsection (11),
Section 75 (1) BEFORE amended by BC Reg 64/2021, effective March 11, 2021.
(1) An active member of a pension plan of which the plan text document contains a defined contribution provision may, in any fiscal year in which the following conditions are met, exercise any entitlement that he or she may have under section 76 (1) of the Act to receive from the defined contribution component of the plan a lump-sum payment, provided that
Section 75 (3) (a) BEFORE amended by BC Reg 64/2021, effective March 11, 2021.
(a) 70% of the amount by which the active member's remuneration was reduced during the fiscal year as a result of the reduction in his or her working time during that year,
Section 75 (3) (d) BEFORE amended by BC Reg 64/2021, effective March 11, 2021.
(d) the commuted value of what would have been the active member's benefits if he or she had ceased to be an active member on the date of his or her application for payment of the lump sum.
Section 78 (3) (b) BEFORE amended by BC Reg 64/2021, effective March 11, 2021.
(b) the administrator of the plan must not pay the pension to which the eligible person would otherwise be entitled under section 64 (1) of the Act or that he or she would otherwise be eligible to receive under section 65 (1) of the Act,
Section 79 BEFORE re-enacted by BC Reg 264/2019, effective December 31, 2019.
Target benefit funded ratio
79 For the purposes of section 86 (b) of the Act, "target benefit funded ratio" means, in relation to a target benefit component of a pension plan, the lesser of 1 and the amount calculated as follows:
| going concern assets value of the target benefit component |
| going concern liabilities value of the target benefit component |
Section 80 (4) (a) BEFORE amended by BC Reg 64/2021, effective March 11, 2021.
(a) the administrator provides a written request to the superintendent for consent to delay making the transfer and includes in that request his or her assessment that the transfer would in fact materially impair the solvency of the plan component, and
Section 81 (1) (b) (i) BEFORE amended by BC Reg 9/2016, effective January 29, 2016.
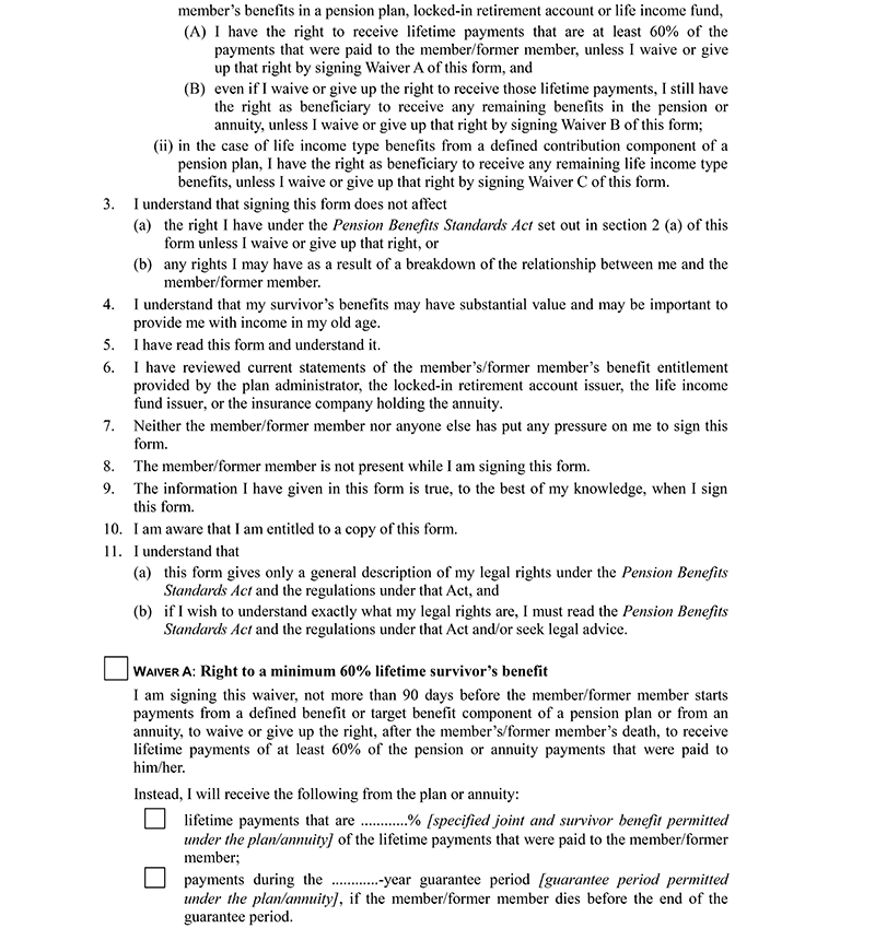
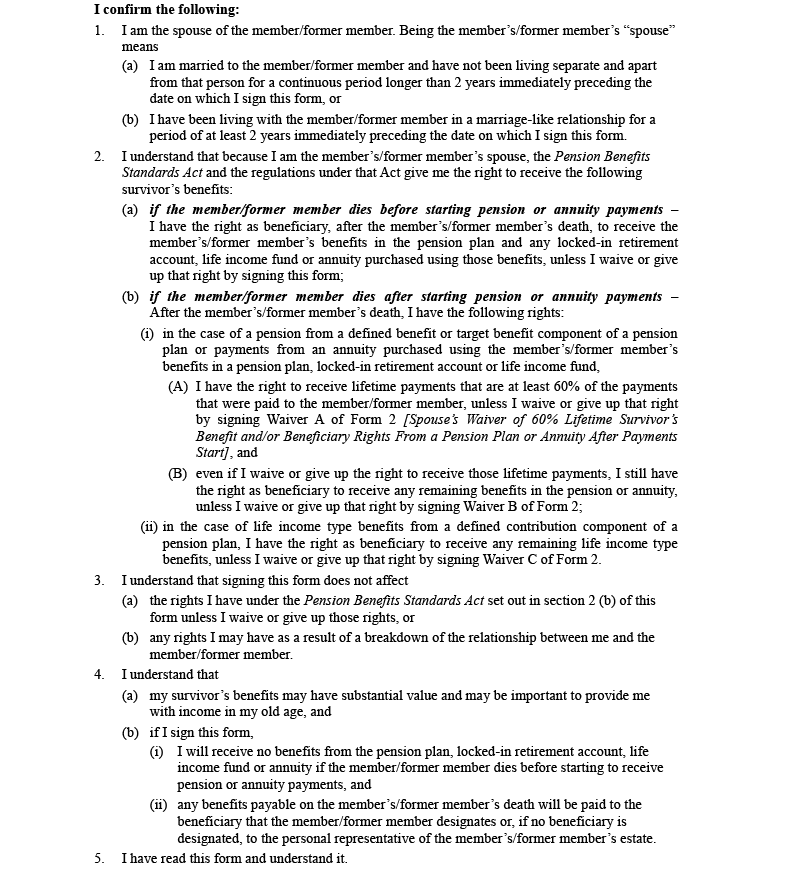
(i) a waiver in Form 2 of Schedule 3 signed by the spouse in the presence of a witness and outside the presence of the member not more than 90 days before the date that payments are to begin;
Section 81 (2) (a) BEFORE amended by BC Reg 9/2016, effective January 29, 2016.
(a) a waiver in Form 2 of Schedule 3 signed by the spouse before the member's death in the presence of a witness and outside the presence of the member;
Section 81 (1) (part) BEFORE amended by BC Reg 196/2022, effective December 31, 2022.
(1) The administrator of a pension plan of which the plan text document of which contains a defined contribution provision must not make a transfer under section 88 (1) (a) (iii) or (b) (i) of the Act on behalf of a member who has a spouse unless
Section 83 (3) (d) (i) BEFORE amended by BC Reg 9/2016, effective January 29, 2016.
(i) a waiver in Form 2 of Schedule 3 signed by the spouse in the presence of a witness and outside the presence of the annuitant not more than 90 days before the date that payments are to begin;
Section 83 (3) (e) (i) BEFORE amended by BC Reg 9/2016, effective January 29, 2016.
(i) a waiver in Form 2 of Schedule 3 signed by the spouse before the annuitant's death in the presence of a witness and outside the presence of the annuitant;
Section 83 (4) (a) (i) BEFORE amended by BC Reg 9/2016, effective January 29, 2016.
(i) a waiver in Form 2 of Schedule 3 signed by the spouse before the member's death in the presence of a witness and outside the presence of the deferred member;
Section 83 (3) (part) BEFORE amended by BC Reg 64/2021, effective March 11, 2021.
(3) The administrator must not transfer assets from the defined benefit component of a pension plan to purchase an annuity under section 89.1 of the Act in respect of a deferred member who is entitled to a benefit from the component unless the annuity provides as follows:
Section 83 (3) (a) BEFORE amended by BC Reg 64/2021, effective March 11, 2021.
(a) if the annuitant dies before payments from the annuity begin and he or she is survived by a spouse, the annuitant's entitlement under the annuity contract must be provided to the surviving spouse, unless paragraph (b) applies;
Section 83 (3) (b) (i) and (ii) (part) BEFORE amended by BC Reg 64/2021, effective March 11, 2021.
(i) he or she is not survived by a spouse, or
(ii) he or she is survived by a spouse and one of the following has been provided to the insurance company:
Section 83 (3) (d) (part) BEFORE amended by BC Reg 64/2021, effective March 11, 2021.
(d) if, at the time the annuitant elects to begin receiving payments from the annuity, he or she has a spouse, the annuity must be in the form of a joint and survivor pension referred to in section 80 (2) of the Act unless one of the following has been provided to the insurance company:
Section 83 (5) (a) BEFORE amended by BC Reg 64/2021, effective March 11, 2021.
(a) the plan text document of a pension plan provides, in relation to a defined benefit component, that the excess in relation to a deferred member whose pension commencement date does not immediately follow his or her termination of active membership is to be recalculated as at the member's pension commencement date and is not to be allocated or distributed until that recalculation is done, and
Section 89 (a) (i) BEFORE amended by BC Reg 9/2016, effective January 29, 2016.
(i) if an event or transaction referred to in section 87 materially affects the cost of benefits provided by the plan or creates an unfunded liability or a solvency deficiency, an actuarial valuation report and cost certificate prepared, or the current actuarial valuation report and cost certificate revised, as at the effective date of the event or transaction,
Section 91 (1) BEFORE amended by BC Reg 64/2021, effective March 11, 2021.
(1) If an event or transaction referred to in section 87 occurs that does not result in the transfer of an active member's membership to the successor plan, the member is, if he or she becomes an employee of the successor employer as a result of that event or transaction, immediately entitled to become an active member of the successor plan.
Section 91 (2) BEFORE amended by BC Reg 64/2021, effective March 11, 2021.
(2) If an event or transaction referred to in section 87 occurs as a result of which an employee of the predecessor employer becomes an employee of the successor employer, the employee's years of employment with the predecessor employer are to be considered as years of employment with the successor employer for the purposes of determining his or her entitlement under section 29 (1) of the Act to become a member of the successor plan.
Section 103 (4) (d) (ii) (A) BEFORE amended by BC Reg 9/2016, effective January 29, 2016.
(A) a waiver in Form 2 of Schedule 3 signed by the spouse in the presence of a witness and outside the presence of the member owner not more than 90 days before the date that payments are to begin;
Section 106 (1) (part) BEFORE amended by BC Reg 64/2021, effective March 11, 2021.
(1) Subject to subsection (2), if a member owner of a locked-in retirement account dies and he or she is survived by a spouse, the locked-in retirement account issuer must transfer the money in the locked-in retirement account to whichever of the following the surviving spouse elects:
Section 106 (2) (a) and (b) (part) BEFORE amended by BC Reg 64/2021, effective March 11, 2021.
(2) If a member owner of a locked-in retirement account dies and
(a) he or she is not survived by a spouse, or
(b) he or she is survived by a spouse and one of the following has been provided to the locked-in retirement account issuer:
Section 110 (4) (c), (d) and (e) BEFORE amended by BC Reg 64/2021, effective March 11, 2021.
(c) the owner or his or her spouse has received a written demand in respect of arrears in the payment of rent for the owner's or spouse's principal residence, and the owner or spouse is facing eviction if the arrears remain unpaid,
(d) the owner or his or her spouse has received a written demand in respect of default on a mortgage that is secured against the owner's or spouse's principal residence, and the owner or spouse is facing foreclosure if the default is not rectified, or
(e) the owner requires the withdrawal to be able to pay the first month's rent, security deposit or pet damage deposit required to be paid to obtain a principal residence for the owner or his or her spouse.
Section 110 (6) BEFORE amended by BC Reg 64/2021, effective March 11, 2021.
(6) If an owner is seeking a withdrawal under section 69 (4) (c) of the Act on the basis of financial hardship within the meaning of subsection (4) (a) of this section, the owner seeking the withdrawal must include in the application for the withdrawal a statement signed by the owner setting out the amount of his or her expected total income from all sources, before taxes, for the 12 months after the date on which the application is signed.
Section 111 (a) BEFORE amended by BC Reg 9/2016, effective January 29, 2016.
(a) a waiver in Form 1 of Schedule 3 signed by the spouse in the presence of a witness and outside the presence of the member owner not more than 90 days before the date of the withdrawal;
Section 121 (3) (c) (ii) (A) BEFORE amended by BC Reg 9/2016, effective January 29, 2016.
(A) a waiver in Form 2 of Schedule 3 signed by the spouse in the presence of a witness and outside the presence of the member owner not more than 90 days before the date that the payments are to begin;
Section 125 (1) and (2) (part) BEFORE amended by BC Reg 64/2021, effective March 11, 2021.
(1) If a member owner of a life income fund dies and he or she is survived by a spouse, the life income fund issuer must pay, as a lump-sum payment, the money in the life income fund to the surviving spouse, unless subsection (2) applies.
Section 125 (2) (a) and (b) (part) BEFORE amended by BC Reg 64/2021, effective March 11, 2021.
(2) If a member owner of a life income fund dies and
(a) he or she is not survived by a spouse, or
(b) he or she is survived by a spouse and one of the following has been provided to the life income fund issuer:
Section 129 (4) (c), (d) and (e) BEFORE amended by BC Reg 64/2021, effective March 11, 2021.
(c) the owner or his or her spouse has received a written demand in respect of arrears in the payment of rent for the owner's or spouse's principal residence, and the owner or spouse is facing eviction if the arrears remain unpaid,
(d) the owner or his or her spouse has received a written demand in respect of default on a mortgage that is secured against the owner's or spouse's principal residence, and the owner or spouse is facing foreclosure if the default is not rectified, or
(e) the owner requires the withdrawal to be able to pay the first month's rent, security deposit or pet damage deposit required to be paid to obtain a principal residence for the owner or his or her spouse.
Section 129 (6) BEFORE amended by BC Reg 64/2021, effective March 11, 2021.
(6) If an owner is seeking a withdrawal under section 69 (4) (c) of the Act on the basis of financial hardship within the meaning of subsection (4) (a) of this section, the owner seeking the withdrawal must include in the application for the withdrawal a statement, signed by the owner, setting out the amount of his or her expected total income from all sources, before taxes, for the 12 months after the date on which the application is signed.
Section 130 (a) BEFORE amended by BC 9/2016, effective January 29, 2016.
(a) a waiver in Form 1 of Schedule 3 signed by the spouse in the presence of a witness and outside the presence of the member owner not more than 90 days before the date of the withdrawal;
Section 135 (9) (d) and (e) BEFORE amended by BC Reg 264/2019, effective December 31, 2019.
(d) if the defined benefit component has one or more unfunded liabilities as at the effective date of the termination of the plan, assets unallocated under paragraph (a) or (b) must be allocated to each of those persons;
(e) if under paragraph (c) or (d) there are insufficient unallocated assets to fully provide for the benefits referred to in one of those paragraphs, the unallocated assets must be allocated proportionately among the persons referred to in that paragraph.
Section 135 (10) BEFORE amended by BC Reg 264/2019, effective December 31, 2019.
(10) For the purposes of section 9 (d),
(a) if there is an unfunded liability that
(i) has not been amortized as at the effective date of the termination of the plan, and
(ii) is the result of a benefit improvement,
the benefits that led to the establishment of the unfunded liability must be reduced in proportion to the extent to which those benefits remain unfunded, and
(b) each unfunded liability must be dealt with separately and applied only to the benefits in respect of which it was established.
Section 135 (1) (part) BEFORE amended by BC Reg 196/2022, effective December 31, 2022.
(1) If, at the time that the assets of a defined benefit component of a pension plan are to be distributed as a result of the winding-up of the plan, the assets of the defined benefit component are not sufficient to pay all benefits,
Section 135 (1) (a) and (b) (part) BEFORE amended by BC Reg 196/2022, effective December 31, 2022.
(a) the assets of the defined benefit component must be allocated and distributed in accordance with subsections (2) to (8) if, on the effective date of the termination of the plan, the defined benefit component of the plan has a solvency deficiency and special payments are required to be made under section 132 (2),
(b) the assets of the defined benefit component must be allocated and distributed in accordance with subsections (9) to (11) if, on the effective date of the termination of the plan, the defined benefit component of the plan has a solvency deficiency and one of the following applies:
Section 138 (1) (a) (i) and (ii) BEFORE amended by BC Reg 260/2019, effective January 15, 2020.
(i) $6.15 for each person who is an active member of the plan at the time of filing, and
(ii) $4.50 for each deferred or retired member of the plan at the time of filing;
Section 138 (1) (b) (i) and (ii) BEFORE amended by BC Reg 260/2019, effective January 15, 2020.
(i) $6.15 for each person who was an active member of the plan at the end of the fiscal year of the plan, and
(ii) $4.50 for each deferred or retired member of the plan at the end of the fiscal year of the plan.
Section 138 (2) BEFORE amended by BC Reg 260/2019, effective January 15, 2020.
(2) Despite the number of active members, deferred members and retired members in a plan, the fee payable under each of subsection (1) (a) and (b) must be no less than $200 and no more than $75 000.
Section 139 (2) BEFORE amended by BC Reg 64/2021, effective March 11, 2021.
(2) If a statement, information or a notice is returned because the intended recipient is not at his or her last known postal address, the requirement under the Act that an administrator provide the statement, information or notice does not apply to that intended recipient unless a subsequent written request is received for the statement, information or notice.
Section 142 (4) (b) BEFORE amended by BC Reg 264/2019, effective December 31, 2019.
(b) an appeal of a reconsideration by the superintendent confirming the revocation is made to the tribunal under section 127 of the Act, or
Schedule 1, section 6 (3) (d) (ii) (A) BEFORE amended by BC 9/2016, effective January 29, 2016.
(A) a waiver in Form 2 of Schedule 3 of the Regulation signed by the spouse in the presence of a witness and outside the presence of the member not more than 90 days before the date that payments are to begin;
Schedule 1, section 7 (1) BEFORE amended by BC 64/2021, effective March 11, 2021.
(1) Subject to subsection (2), if this locked-in retirement account is owned by a member owner who has died and he or she is survived by a spouse, the locked-in retirement account issuer must transfer the money in the locked-in retirement account to whichever of the following the surviving spouse elects:
Schedule 1, section 7 (2) (a) BEFORE amended by BC 64/2021, effective March 11, 2021.
(a) he or she is not survived by a spouse, or
Schedule 1, section 7 (2) (b) (part) BEFORE amended by BC 64/2021, effective March 11, 2021.
(b) he or she is survived by a spouse and one of the following has been provided to the locked-in retirement account issuer:
Schedule 1, section 11 (1) (b) (i) BEFORE amended by BC 9/2016, effective January 29, 2016.
(i) a waiver in Form 1 of Schedule 3 of the Regulation signed by the spouse in the presence of a witness and outside the presence of the member owner not more than 90 days before the date of the withdrawal;
Schedule 1, section 12 (1) (b) (i) BEFORE amended by BC 9/2016, effective January 29, 2016.
(i) a waiver in Form 1 of Schedule 3 of the Regulation signed by the spouse in the presence of a witness and outside the presence of the member owner not more than 90 days before the date of the withdrawal;
Schedule 1, section 13 (1) (b) (i) BEFORE amended by BC 9/2016, effective January 29, 2016.
(i) a waiver in Form 1 of Schedule 3 of the Regulation signed by the spouse in the presence of a witness and outside the presence of the member owner not more than 90 days before the date of the withdrawal;
Schedule 2, section (7) (1) (d) (ii) (A) BEFORE amended by BC Reg 9/2016, effective January 29, 2016.
(A) a waiver in Form 2 of Schedule 3 of the Regulation signed by the spouse in the presence of a witness and outside the presence of the member not more than 90 days before the date that payments are to begin;
Schedule 2, section 12 (1) (b) (i) BEFORE amended by BC Reg 9/2016, effective January 29, 2016.
(i) a waiver in Form 1 of Schedule 3 of the Regulation signed by the spouse in the presence of a witness and outside the presence of the member owner not more than 90 days before the date of the withdrawal;
Schedule 2, section 13 (1) (b) (i) BEFORE amended by BC Reg 9/2016, effective January 29, 2016.
(i) a waiver in Form 1 of Schedule 3 of the Regulation signed by the spouse in the presence of a witness and outside the presence of the member owner not more than 90 days before the date of the withdrawal;
Schedule 2, section 14 (1) (b) (i) BEFORE amended by BC Reg 9/2016, effective January 29, 2016.
(i) a waiver in Form 1 of Schedule 3 of the Regulation signed by the spouse in the presence of a witness and outside the presence of the member owner not more than 90 days before the date of the withdrawal;
Schedule 2, section 8 (1) BEFORE amended by BC 64/2021, effective March 11, 2021.
(1) Subject to subsection (2), if this life income fund is owned by a member owner who has died and he or she is survived by a spouse, the life income fund issuer must pay the money in this life income fund to the surviving spouse.
Schedule 2, section 8 (2) (a) and (b) BEFORE amended by BC 64/2021, effective March 11, 2021.
(a) he or she is not survived by a spouse, or
(b) he or she is survived by a spouse and one of the following has been provided to the life income fund issuer:
Schedule 3, Forms 1 to 4 BEFORE re-enacted by BC 9/2016, effective January 29, 2016.
(sections 72 (4), 111 (a) and 130 (a))
Spouse's Waiver to Permit Benefits in a Pension Plan, Locked-In Retirement Account or Life Income Fund to Be Unlocked




(sections 74 (11), 77, 81 (1) (b) (i) and (2) (a), 83 (3) (d) (i) and (e) (i) and (4) (a) (i), 103 (4) (d) (ii) (A) and 121 (3) (c) (ii) (A))
Spouse's Waiver of 60% Lifetime Survivor's Benefit and/or Beneficiary Rights From a Pension Plan or Annuity After Payments Start




(sections 74 (3) (a) and (8) (a) (i), 103 (2) (c) (i) and 121 (1) (b) (ii) (A))
Spouse's Consent to a Transfer to a Life Income Fund or Establishment of a Life Income Type Benefits Account



(sections 76, 83 (3) (b) (ii) (A), 106 (2) (b) (i) and 125 (2) (b) (i))
Spouse's Waiver of Beneficiary Right to Benefits in a Pension Plan, Locked-In Retirement Account, Life Income Fund or Annuity Before Pension or Annuity Payments Start



Schedule 3, Forms 1 to 4 BEFORE amended by BC 64/2021, effective March 11, 2021.
(sections 72 (4), 111 (a) and 130 (a))
Spouse's Waiver to Permit Benefits in a Pension Plan, Locked-In Retirement Account or Life Income Fund to Be Unlocked




(sections 74 (11), 77, 81 (1) (b) (i) and (2) (a), 83 (3) (d) (i) and (e) (i) and (4) (a) (i), 103 (4) (d) (ii) (A) and 121 (3) (c) (ii) (A))
Spouse's Waiver of 60% Lifetime Survivor's Benefit and/or Beneficiary Rights From a Pension Plan or Annuity After Payments Start




(sections 74 (3) (a) and (8) (a) (i), 103 (2) (c) (i) and 121 (1) (b) (ii) (A))
Spouse's Consent to a Transfer to a Life Income Fund or Establishment of a Life Income Type Benefits Account



(sections 76, 83 (3) (b) (ii) (A), 106 (2) (b) (i) and 125 (2) (b) (i))
Spouse's Waiver of Beneficiary Right to Benefits in a Pension Plan, Locked-In Retirement Account, Life Income Fund or Annuity Before Pension or Annuity Payments Start



Schedule 5 BEFORE repealed by BC Reg 264/2019, effective December 31, 2019.
(section 10 (12))
Multi-Employer Negotiated Cost Plan Exemption
Definitions and application
"exemption period" means the period described in section 2 (2) and includes any extension under section 3 (3);
"MENC plan" means a defined benefit multi-employer negotiated cost plan.
MENC plans and section 57 (2) (c) — consent to exemption
2 (1) In accordance with this section, the superintendent may, on application by the administrator of a MENC plan, consent in writing to the exemption of a participating employer from the requirement to make the special payments into the MENC plan that are required by section 57 (2) (c) of this regulation.
(2) Subject to section 3, an exemption under subsection (1) may be for a period, not exceeding the period that begins on the date that is specified in the consent and ends on December 31, 2017, on condition that
(a) as soon as the exemption period ends, the administrator will have an actuarial valuation report prepared, and
(b) if the actuarial valuation report determines that a solvency deficiency exists, the administrator will immediately notify the superintendent of the steps that will be taken so that the amount of contributions will become sufficient to meet the funding requirements of this regulation or, subject to section 20 (2) (a), (b) and (c) of the Act, to reduce benefits or entitlements under the plan.
(3) An application under subsection (1) must be made
(a) on or before December 31, 2016, and
(b) in the form and manner required by the superintendent.
(4) The administrator must submit, together with the application under subsection (1),
(a) an actuarial valuation report as at the review date, not being before December 31, 2014, to which the application relates, and
(b) any other information or records required by the superintendent.
(5) The administrator must, within 270 days after the end of the exemption period, file the actuarial valuation report prepared under subsection (2) (a).
(6) An administrator who wishes to have the exemption under subsection (1) cancelled may do so during the exemption period by notifying the superintendent in writing of that intention and by filing the actuarial valuation report referred to in subsection (2) (a).
(7) In addition to the conditions set out in subsection (2), the superintendent's consent under subsection (1) applies or continues to apply only if
(a) sections 45 and 52 of the Act and section 57, other than section 57 (2) (c), of this regulation and the other provisions of this Schedule continue to be complied with,
(b) despite section 57 (10) of this regulation, no benefits are improved
(i) while the application for exemption under subsection (1) is pending, or
(ii) during the exemption period,
(c) the plan has no unfunded liability or, if there is an unfunded liability, the participating employers adopt a schedule of special payments to
(i) amortize each unfunded liability established on or after the review date to which the application relates over a period not exceeding 10 years from its establishment, and
(ii) amortize each unfunded liability that was established before the review date to which the application relates over the lesser of
(A) 10 years from that review date to which the application relates, and
(B) the remainder of the 15-year amortization period under which it was initially established, and
(d) any other relevant conditions imposed by the superintendent under section 6 of the Act are complied with.
(8) During the exemption period, the administrator of the MENC plan must disclose to active members, in the annual statement required under section 30 of this regulation, and to persons who are receiving pensions, in the annual statement required under section 31 of this regulation, the fact of obtaining the exemption and, at the same time, disclose that fact to deferred members.
(9) Disclosure under subsection (8) must also contain the following information:
(a) the solvency ratio in relation to the plan as at the latest review date;
(b) a description of how the security of benefits may be affected as a result of the exemption from the requirement to make special payments under section 57 (2) (c) of this regulation;
(c) the conditions described in section 2 (2) and (7) of this Schedule relating to that exemption.
(10) At the end of the exemption period,
(a) the administrator of the MENC plan must have an actuarial valuation report prepared,
(b) if the actuarial valuation report determines that a solvency deficiency exists, the administrator must immediately notify the superintendent of the steps that will be taken so that the amount of contributions is sufficient to meet the funding requirements of this regulation or, subject to section 20 (2) (a), (b) and (c) of the Act, to reduce benefits or entitlements under the plan, and
(c) if at any time during the exemption period the plan had an unfunded liability and the participating employers were required to adopt a schedule of special payments under subsection (7) (c) of this section, the participating employers must make the special payments referred to, and in accordance with, that provision.
Conversion of defined benefit provision under section 20 (2) (d) of Act
3 (1) Subject to subsections (2) and (3) of this section, section 2 no longer applies on and after the effective date of any amendment to the plan text document of the MENC plan under section 20 (2) (d) of the Act to convert the defined benefit provision of the plan to a target benefit provision.
(2) Subsection (1) applies only in the following circumstances:
(a) the effective date of the amendment referred to in that subsection is December 31, 2017 or earlier;
(b) the superintendent registers the amendment on or before December 31, 2017;
(c) the registration of the amendment is not revoked by the superintendent or, if revoked, the revocation is rescinded on reconsideration, appeal or judicial review.
(3) If the registration of an amendment referred to in subsection (1) is revoked and
(a) a notice of objection concerning the revocation is served on the superintendent under section 126 of the Act, or
(b) an appeal of a reconsideration by the superintendent confirming the revocation is made to the tribunal under section 127 of the Act,
the exemption period is extended until the date on which the revocation is rescinded or confirmed by the superintendent or the tribunal, as the case may be.
(4) If the plan text document of a MENC plan is amended under section 20 (2) (d) of the Act to convert the defined benefit provision of the MENC plan to a target benefit provision and, in accordance with this section, section 2 no longer applies, a participating employer in respect of whom a consent to an exemption from the requirement to make payments was given by the superintendent under section 2 (1) is exempt from the requirement to make the payments.
Schedule 6, section 2 (1) (part) BEFORE amended by BC Reg 169/2018, effective July 27, 2018.
(1) On the conditions set out in section 3 and subject to subsection (2), the plan and participating employer are exempt from the following:
Schedule 6 BEFORE repealed by BC Reg 264/2019, effective December 31, 2019.
[am. B.C. Regs. 169/2018, ss. 2 and 3; 52/2019.]
(section 10 (13))
Catalyst Paper Corporation Retirement Plan for Salaried Employees Exemption
Definitions
1 In this Schedule:
"2012 actuarial valuation report" means the actuarial valuation report concerning the plan, with a review date of December 31, 2012, that is filed with the superintendent;
"exemption period" means the period beginning on the date this Schedule comes into force up to and including the earlier of
(b) the date the unfunded liability and solvency deficiency identified in the 2012 actuarial valuation report are amortized;
"participating employer" means the participating employer that is required under the Act to make contributions to the plan;
"plan" means the Catalyst Paper Corporation Retirement Plan for Salaried Employees.
Exemption of plan and application of exemption
2 (1) On the conditions set out in sections 3 and 4 and subject to subsection (2), the plan and participating employer are exempt from the following:
(a) sections 45 and 52 (2) of the Act;
(b) section 57 (2) (b) and (c) and (4) of this regulation.
(2) The exemptions in subsection (1) apply during the exemption period in respect of the unfunded liability and solvency deficiency of the plan that are identified in the 2012 actuarial valuation report.
Conditions of exemptions
3 (1) The exemptions under section 2 are made on all of the following conditions:
(a) the participating employer makes, at least quarterly over the exemption period, equal payments into the plan, the amount of which must be at least 133 1/3% of the amount that would otherwise be sufficient to amortize the unfunded liability identified in the 2012 actuarial valuation report;
(b) the participating employer makes, on or before June 30, 2028, a payment into the plan that is sufficient to amortize the solvency deficiency identified in the 2012 actuarial valuation report;
(c) despite section 57 (10) of this regulation, the participating employer does not amend the plan text document to improve benefits under a defined benefit provision, unless the benefit improvement is required to comply with the Act or the Income Tax Act (Canada);
(d) in respect of the exemption period, the administrator discloses, within 180 days after the end of each fiscal year, the following information to each deferred member and the surviving spouse of each deceased deferred member who is entitled to benefits from the defined benefit component of the plan:
(i) the information referred to in section 30 (4) (c) of this regulation;
(ii) a statement of the right under section 37 (2) and (4) of the Act of the deferred member, or, if the deferred member is deceased, the surviving spouse, designated beneficiary or personal representative of the estate of the deferred member, to examine or to obtain from the administrator additional information and records referred to in section 43 of this regulation;
(e) if an actuarial valuation report filed after the 2012 actuarial valuation report reveals that the plan has actuarial gains, the actuarial gains must not be used to amortize or reduce the outstanding balance of the unfunded liability identified in the 2012 actuarial valuation report;
(f) for the purposes of determining the solvency asset adjustment for the defined benefit component of the plan during the exemption period, the administrator of the plan includes in the calculation of the solvency asset adjustment, in respect of the unfunded liability and solvency deficiency identified in the 2012 actuarial valuation report, the actuarial present value of the payments that are yet to be paid under section 3 (1) (a) and (b) of this Schedule.
(2) Subsection (1) (d) does not apply if the administrator has, within 180 days after the end of the fiscal year referred to in that paragraph,
(a) provided the surviving spouse with an annual statement under section 31 of this regulation, or
(b) provided the surviving spouse with a pre-retirement death benefits statement under section 37 of this regulation or received proof of the death of the deferred member.
Additional conditions of exemptions
"Catalyst BC asset corporation" means a Catalyst corporation that has a direct or indirect legal or beneficial interest in a Catalyst property;
"Catalyst BC asset partnership" means a Catalyst partnership that has a direct or indirect legal or beneficial interest in a Catalyst property;
"Catalyst corporation" means the Catalyst Paper Corporation or any affiliate, within the meaning of section 2 of the Business Corporations Act, of the Catalyst Paper Corporation;
"Catalyst partnership" means a partnership composed of partners that are Catalyst corporations;
"Catalyst property" means any of the following properties that are operated by one or more Catalyst corporations, one or more Catalyst partnerships or a combination of Catalyst corporations and Catalyst partnerships:
(b) the corporate headquarters;
"corporate headquarters" means the property and undertaking owned or leased by a Catalyst corporation or Catalyst partnership and the business operation comprising the corporate headquarters located at 3600 Lysander Lane in Richmond;
"distribution centre" means the property and undertaking owned or leased by a Catalyst corporation or Catalyst partnership and the business operation comprising the distribution centre located at 10555 Timberland Road in Surrey;
"mill" means the property and undertaking owned or leased by a Catalyst corporation or Catalyst partnership and the business operation comprising a paper or pulp and paper mill that is located at or near Crofton, Port Alberni or Powell River.
(2) The conditions in this section apply to the period beginning on the date this section comes into force up to and including the end of the exemption period.
(3) In addition to the conditions set out in section 3, the exemptions under section 2 are made on all of the following conditions:
(a) no sale, transfer, lease or other disposition or conveyance of any kind of all or part of a Catalyst property occurs and no agreement to do any of those things is entered into, other than a disposition, conveyance or agreement made or entered into in the ordinary course of business;
(b) no petition or other document that starts a proceeding is filed in a court of competent jurisdiction or with an appropriate public officer for the liquidation or winding up of a Catalyst BC asset corporation, no order is made granting such relief and no Catalyst BC asset corporation passes a resolution for such relief;
(c) no Catalyst BC asset partnership is dissolved and there is no agreement among partners of a Catalyst BC asset partnership to dissolve the partnership;
(d) no Catalyst BC asset corporation or Catalyst BC asset partnership files an assignment for the general benefit of creditors under the Bankruptcy and Insolvency Act (Canada) or makes a proposal under that Act or seeks relief under the United States Bankruptcy Code, and no Catalyst BC asset corporation passes a resolution to make such an assignment or proposal or to seek such relief;
(e) no Catalyst BC asset corporation passes a resolution or files a petition or other document that starts a proceeding to seek relief under the Companies' Creditors Arrangement Act (Canada);
(f) there is no agreement among partners of a Catalyst BC asset partnership to seek relief under the Companies' Creditors Arrangement Act (Canada) and no Catalyst BC asset partnership files a petition or other document that starts a proceeding to seek relief under that Act;
(g) no receiver or receiver manager is appointed in respect of all or part of a Catalyst property;
(h) subject to paragraph (i), no person who is a creditor of or has a claim against a Catalyst BC asset corporation or Catalyst BC asset partnership files
(i) a petition or other document that starts a proceeding to seek relief under the Companies' Creditors Arrangement Act (Canada) in respect of a Catalyst BC asset corporation or Catalyst BC asset partnership,
(ii) an application with a court of competent jurisdiction for the appointment of a receiver or a receiver manager for all or part of a Catalyst property, or
(iii) an application with a court of competent jurisdiction for a bankruptcy order under the Bankruptcy and Insolvency Act (Canada) or an order under the United States Bankruptcy Code against a Catalyst BC asset corporation or Catalyst BC asset partnership;
(i) paragraph (h) does not apply if the Catalyst BC asset corporation or Catalyst BC asset partnership against whom the proceeding or application is brought opposes in good faith the proceeding or application before the earlier of the following:
(i) the day before the day that the hearing is scheduled;
(ii) the last day for filing notice that the Catalyst BC asset corporation or Catalyst BC asset partnership opposes the proceeding or application;
(j) no Catalyst BC asset corporation or Catalyst BC asset partnership ceases to carry on business in the ordinary course;
(k) no change occurs in the ownership of shares of a Catalyst BC asset corporation that results in one shareholder holding or beneficially owning, other than by way of security only, enough shares to elect a majority of the corporation's directors, unless the owner acquiring the shares is a Catalyst corporation or Catalyst partnership;
(l) no legal or beneficial interest in a Catalyst BC asset partnership is transferred to a person who is not a Catalyst corporation or Catalyst partnership;
(m) no Catalyst BC asset corporation amalgamates with another corporation other than a Catalyst corporation or agrees to amalgamate with another corporation other than a Catalyst corporation.
Events where certain conditions do not apply
4.1 (1) In this section, "2018 agreement" means the arrangement agreement dated October 5, 2018 among Paper Excellence Canada Holdings Corporation, CPE Investment Canada Inc. and Catalyst Paper Corporation in which CPE Investment Canada Inc. agrees to acquire all of the shares of Catalyst Paper Corporation.
(2) The conditions set out in section 4 (3) (k) and (l) do not apply to the acquisition of all of the shares of Catalyst Paper Corporation by CPE Investment Canada Inc. under the 2018 agreement if the shares are acquired before April 1, 2019.
(3) The condition set out in section 4 (3) (a) does not apply to an event described in subsection (4) of this section if
(i) after the shares of Catalyst Paper Corporation are acquired by CPE Investment Canada Inc. under the 2018 agreement, and
(ii) before March 15, 2021, and
(b) the event is not in the ordinary course of business.
(4) The events for the purposes of subsection (3) are as follows:
(a) all or a part of a Catalyst property, within the meaning of section 4 (1), is sold, transferred, leased or otherwise disposed of or conveyed to a corporation that Paper Excellence Canada Holdings Corporation controls within the meaning of section 2 (3) of the Business Corporations Act;
(b) an agreement is entered into to do any of the things referred to in paragraph (a) with respect to all or a part of a Catalyst property within the meaning of section 4 (1).
(5) The conditions set out in section 4 (3) (c) and (j) do not apply to an event described in paragraph (a) or (b) of this subsection if the event occurs after the shares of Catalyst Paper Corporation are acquired by CPE Investment Canada Inc. under the 2018 agreement and if the event occurs before March 15, 2021:
(a) the Catalyst Paper General Partnership is dissolved;
(b) Catalyst Pulp Operations Limited and Catalyst Paper Corporation agree to dissolve the Catalyst Paper General Partnership.
Requirements if exemption ceases
5 (1) In this section, "2012 solvency deficiency" means the solvency deficiency of the plan identified in the 2012 actuarial valuation report.
(2) If the plan and participating employer cease to be exempt from the provisions of the Act and this regulation set out in section 2 (1) because a condition set out in section 3 or 4 has not been met,
(a) despite section 57 (8) of this regulation, an actuarial gain identified in an actuarial valuation report filed after the 2012 actuarial report must not be used to reduce or eliminate the 2012 solvency deficiency, and
(b) despite section 64 (1) (c) of this regulation, the participating employer must immediately remit contributions to the plan that are sufficient to eliminate the balance of the 2012 solvency deficiency as that balance is set out in the current actuarial valuation report.
Schedule 7 BEFORE repealed by BC Reg 264/2019, effective December 31, 2019.
(section 10 (14))
Retirement Plan for Non-Teaching Employees of School District No. 43 (Coquitlam) Exemption
Definitions
1 In this Schedule:
"exemption period" means the period beginning on the date this Schedule comes into force and ending on October 26, 2017;
"participating employer" means the participating employer that is required under the Act to make contributions to the plan;
"plan" means the Retirement Plan for Non-Teaching Employees of School District No. 43 (Coquitlam).
Exemption of plan and employer and application of exemption
2 (1) On the conditions set out in section 3 and subject to subsection (2), the plan and participating employer are exempt from the following in respect of any solvency deficiency of the plan:
(a) sections 45 and 52 (2) of the Act;
(b) section 57 (2) (c) of this regulation.
(2) The exemptions under subsection (1) apply to any special payments referred to in section 57 (2) (c) of this regulation that the participating employer would otherwise be required to make during the exemption period.
Conditions of exemptions
3 The exemptions under section 2 are made on all of the following conditions:
(a) the administrator discloses to active members, in the annual statement required under section 30 of this regulation, for each fiscal year that includes any portion of the exemption period, the following:
(i) the fact of the exemption from the requirement to make special payments under section 57 (2) (c) of this regulation;
(ii) the condition set out in paragraph (d) of this section;
(iii) a description of how the benefits for active members may be affected as a result of the exemption from the requirement to make special payments under section 57 (2) (c) of this regulation;
(b) the administrator discloses to persons who are receiving pensions, in the annual statement required under section 31 of this regulation, for each fiscal year that includes any portion of the exemption period, the following:
(i) the information referred to in paragraph (a) (i) and (ii);
(ii) a description of how the security of the pension being received by those persons may be affected as a result of the exemption from the requirement to make special payments under section 57 (2) (c) of this regulation;
(c) the administrator discloses, within 180 days after the end of each fiscal year that includes any portion of the exemption period, to deferred members and surviving spouses of deceased active and deferred members who are entitled to a benefit the following:
(i) the information referred to in paragraph (a) (i) and (ii);
(ii) the solvency ratio in relation to the plan as at the latest review date;
(iii) a description of how the benefits for deferred members and surviving spouses of deceased active and deferred members who are entitled to a benefit may be affected as a result of the exemption from the requirement to make special payments under section 57 (2) (c) of this regulation;
(d) despite section 57 (10) of this regulation, the participating employer does not amend the plan text document to improve benefits under the plan during the exemption period, unless the benefit improvement is required to comply with the Act or the Income Tax Act (Canada);
(e) for the purposes of preparing an actuarial valuation report with a review date falling within the exemption period, the administrator of the plan includes in the calculation of the solvency asset adjustment the actuarial present value of the special payments under section 57 (2) (c) of this regulation that the participating employer would be required to make during the remainder of the exemption period but for the exemptions made under section 2 of this Schedule.
Schedule 8, section 1 (1) definitions of "exemption period", "plan contributor and "specified review date" BEFORE amended by BC Reg 12/2019, effective January 24, 2019.
"exemption period", in relation to a defined benefit component for which an election is made under section 2, means the period beginning on the date the written notice of election is received by the superintendent and ending on the earlier of
(a) the date every solvency deficiency of the defined benefit component established on or before the specified review date is eliminated, and
(b) the end date of the 10-year period referred to in section 4 (a);
"plan contributor", in relation to a pension plan for which an election is made under section 2, means the plan contributor as defined in section 56 of the regulation that is required under the Act to make contributions to the plan;
"specified review date", in relation to a pension plan for which an election is made under section 2, means the review date specified in the written notice of election.
Schedule 8, section 1 (1), definitions of "establishment date", "solvency asset adjustment" and "solvency deficiency payment period" were added by BC Reg 264/2019, effective December 31, 2019.
Schedule 8, section 1 (1), definitions of "exemption period" and "plan contributor" BEFORE amended by BC Reg 264/2019, effective December 31, 2019.
"exemption period",
(a) in relation to a defined benefit component for which an election is made under section 2 or 2.1 (1) (a), means the period beginning on the date the written notice of election is received by the superintendent and ending on the earlier of
(i) the date every solvency deficiency of the defined benefit component established on or before the specified review date is eliminated, and
(ii) the end date of the 10-year period referred to in section 4 (a), and
(b) in relation to a defined benefit component for which an election is made under section 2.1 (1) (b), means the period beginning on the date the written notice of election is received by the superintendent and ending on the earlier of
(i) the date the solvency deficiency of the defined benefit component established on the specified review date is eliminated, and
(ii) the end date of the 10-year period referred to in section 4 (a);
"plan contributor", in relation to a pension plan for which an election is made under section 2 or 2.1, means the plan contributor as defined in section 56 of the regulation that is required under the Act to make contributions to the plan;
Schedule 8, section 1 (3) was added by BC Reg 264/2019, effective December 31, 2019.
Schedule 8, section 2 (2) (c) (i) BEFORE amended by BC Reg 12/2019, effective January 24, 2019.
(i) an amortization schedule, prepared by a Fellow of the Canadian Institute of Actuaries, for the series of payments required under section 4 (a) of this Schedule, and
Schedule 8, section 3 (1) (part) and (2) BEFORE amended by BC Reg 12/2019, effective January 24, 2019.
(1) On the conditions set out in section 4 and subject to subsection (2), if the administrator of a pension plan makes an election under section 2, the plan and plan contributor are exempt from
(2) The exemptions under subsection (1) apply during the exemption period to any payments referred to in section 57 (2) (c) of this regulation that the plan contributor would otherwise be required to make in relation to any solvency deficiency, established on or before the specified review date, of the defined benefit component for which an election is made under section 2 of this Schedule.
Schedule 8, section 4 (a) BEFORE amended by BC Reg 12/2019, effective January 24, 2019.
(a) the plan contributor makes a series of payments into the plan, or, in the case of a divisional multi-employer plan, makes the plan contributor's share of a series of payments into the plan, that are made at least monthly, which series of payments must be sufficient, in the opinion of the actuary who prepared the amortization schedule referred to in section 2 (2) (c) (i), to amortize the solvency deficiencies, established on or before the specified review date, of the defined benefit component for which an election is made under section 2 over the 10-year period that begins on the specified review date, or, in the case of a jointly sponsored plan, on the first anniversary of that review date;
Schedule 8, section 5 (1) and (2) BEFORE amended by BC Reg 12/2019, effective January 24, 2019.
(1) Subject to this section, sections 46 (4) (d) (ii), 57 (9) and (12) and 63 of this regulation continue to apply during the exemption period in respect of the solvency deficiencies, established on or before the specified review date, of a defined benefit component for which an election is made under section 2 of this Schedule.
(2) For the purposes of subsection (1),
(a) the payments required to be made under section 4 (a) of this Schedule in respect of the solvency deficiencies referred to in subsection (1) of this section are deemed to be payments required to be made under section 57 (2) (c) of the regulation in respect of those solvency deficiencies, and
(b) the 10-year period referred to in section 4 (a) of this Schedule in respect of the solvency deficiencies referred to in subsection (1) of this section is deemed to be the applicable solvency deficiency payment period in relation to those solvency deficiencies.
Schedule 8, section 5 (2) (a) BEFORE amended by BC Reg 264/2019, effective December 31, 2019.
(a) the payments required to be made under section 4 (a) in respect of the solvency deficiencies referred to in subsection (1) of this section are deemed to be payments required to be made under section 57 (2) (c) of the regulation in respect of those solvency deficiencies, and