Section 1 definition of "sawlog" BEFORE amended by BC Reg 287/2009, effective November 30, 2009.
"sawlog" has the same meaning as in the Scaling Regulation, B.C. Reg. 446/94, under the Schedule of Interior Timber Grades — All Species, and includes timber graded as Dead and Dry Sawlog, Grade Code 3;
Section 1 definitions of "grade", "sawlog" and "special forest product" BEFORE amended by BC Reg 390/2012, effective December 7, 2012.
"grade" means
(a) with respect to a coastal area, the quality of cut timber as defined in the Schedule of Coast Timber Grades under the Scaling Regulation, B.C. Reg. 446/94, and
(b) with respect to an interior area, the quality of cut timber as defined in the Schedule of Interior Timber Grades — All Species under the Scaling Regulation, B.C. Reg. 446/94;
"sawlog" has the same meaning as in the Scaling Regulation, B.C. Reg. 446/94, under the Schedule of Interior Timber Grades — All Species;
"special forest product" means a product of cut timber as defined in the Special Forest Products Regulation, B.C. Reg. 241/2003, made under the Forest Act;
Section 1 (1) definition of "valuation area" BEFORE amended by BC Reg 265/2015, effective December 23, 2015.
"valuation area" means
(a) with respect to a coastal area, the valuation areas numbered 1 to 4 on the map in Schedule A, and
(b) with respect to an interior area, the valuation areas numbered 5 to 9 on the map in Schedule A.
Section 2 BEFORE amended by BC Reg 390/2012, effective December 7, 2012.
Application
2 This regulation must be used for determinations of value for the purposes of assessment for the 2012 and subsequent taxation years.
[am. B.C. Regs. 305/2000, s. 1; 158/2001, s. 1; 278/2002, s. (a); 353/2003, s. (a); 378/2004, s. 3; 376/2005, s. (a); 291/2006, s. (a); 349/2007, s. 1; 287/2009, s. 2; 371/2010, s. 1; 220/2011, s. 1.
Section 2 BEFORE amended by BC Reg 251/2013, effective December 11, 2013.
Application
2 This regulation must be used for determinations of value for the purposes of assessment for the 2013 and subsequent taxation years.
[am. B.C. Regs. 305/2000, s. 1; 158/2001, s. 1; 278/2002, s. (a); 353/2003, s. (a); 378/2004, s. 3; 376/2005, s. (a); 291/2006, s. (a); 349/2007, s. 1; 287/2009, s. 2; 371/2010, s. 1; 220/2011, s. 1; 390/2012, App. s. 2.]
Section 2 BEFORE amended by BC Reg 234/2014, effective December 10, 2014.
Application
2 This regulation must be used for determinations of value for the purposes of assessment for the 2014 and subsequent taxation years.
[am. B.C. Regs. 305/2000, s. 1; 158/2001, s. 1; 278/2002, s. (a); 353/2003, s. (a); 378/2004, s. 3; 376/2005, s. (a); 291/2006, s. (a); 349/2007, s. 1; 287/2009, s. 2; 371/2010, s. 1; 220/2011, s. 1; 390/2012, App. s. 2; 251/2013, s. 1.]
Section 2 BEFORE amended by BC Reg 265/2015, effective December 23, 2015.
Application
2 This regulation must be used for determinations of value for the purposes of assessment for the 2015 and subsequent taxation years.
[am. B.C. Regs. 305/2000, s. 1; 158/2001, s. 1; 278/2002, s. (a); 353/2003, s. (a); 378/2004, s. 3; 376/2005, s. (a); 291/2006, s. (a); 349/2007, s. 1; 287/2009, s. 2; 371/2010, s. 1; 220/2011, s. 1; 390/2012, App. s. 2; 251/2013, s. 1; 234/2014, s. 1.]
Section 2 BEFORE amended by BC Reg 318/2016, effective December 19, 2016.
Application
2 This regulation must be used for determinations of value for the purposes of assessment for the 2016 and subsequent taxation years.
[am. B.C. Regs. 305/2000, s. 1; 158/2001, s. 1; 278/2002, s. (a); 353/2003, s. (a); 378/2004, s. 3; 376/2005, s. (a); 291/2006, s. (a); 349/2007, s. 1; 287/2009, s. 2; 371/2010, s. 1; 220/2011, s. 1; 390/2012, App. s. 2; 251/2013, s. 1; 234/2014, s. 1; 265/2015, s.2.]
Section 2 BEFORE amended by BC Reg 242/2017, effective December 20, 2017.
Application
2 This regulation must be used for determinations of value for the purposes of assessment for the 2017 and subsequent taxation years.
[am. B.C. Regs. 305/2000, s. 1; 158/2001, s. 1; 278/2002, s. (a); 353/2003, s. (a); 378/2004, s. 3; 376/2005, s. (a); 291/2006, s. (a); 349/2007, s. 1; 287/2009, s. 2; 371/2010, s. 1; 220/2011, s. 1; 390/2012, App. s. 2; 251/2013, s. 1; 234/2014, s. 1; 265/2015, s.2; 318/2016, s. 1.]
Section 2 BEFORE amended by BC Reg 280/2018, effective December 14, 2018.
Application
2 This regulation must be used for determinations of value for the purposes of assessment for the 2018 and subsequent taxation years.
[am. B.C. Regs. 305/2000, s. 1; 158/2001, s. 1; 278/2002, s. (a); 353/2003, s. (a); 378/2004, s. 3; 376/2005, s. (a); 291/2006, s. (a); 349/2007, s. 1; 287/2009, s. 2; 371/2010, s. 1; 220/2011, s. 1; 390/2012, App. s. 2; 251/2013, s. 1; 234/2014, s. 1; 265/2015, s. 2; 318/2016, s. 1; 242/2017, s. 1.]
Section 2 BEFORE amended by BC Reg 280/2019, effective December 18, 2019.
Application
2 This regulation must be used for determinations of value for the purposes of assessment for the 2019 and subsequent taxation years.
[am. B.C. Regs. 305/2000, s. 1; 158/2001, s. 1; 278/2002, s. (a); 353/2003, s. (a); 378/2004, s. 3; 376/2005, s. (a); 291/2006, s. (a); 349/2007, s. 1; 287/2009, s. 2; 371/2010, s. 1; 220/2011, s. 1; 390/2012, App. s. 2; 251/2013, s. 1; 234/2014, s. 1; 265/2015, s. 2; 318/2016, s. 1; 242/2017, s. 1; 280/2018, s. 1.]
Section 2 BEFORE amended by BC Reg 296/2020, effective December 21, 2020.
Application
2 This regulation must be used for determinations of value for the purposes of assessment for the 2020 and subsequent taxation years.
[am. B.C. Regs. 305/2000, s. 1; 158/2001, s. 1; 278/2002, s. (a); 353/2003, s. (a); 378/2004, s. 3; 376/2005, s. (a); 291/2006, s. (a); 349/2007, s. 1; 287/2009, s. 2; 371/2010, s. 1; 220/2011, s. 1; 390/2012, App. s. 2; 251/2013, s. 1; 234/2014, s. 1; 265/2015, s. 2; 318/2016, s. 1; 242/2017, s. 1; 280/2018, s. 1; 280/2019, s. 1.]
Section 2 BEFORE amended by BC Reg 311/2021, effective December 1, 2021.
Application
2 This regulation must be used for determinations of value for the purposes of assessment for the 2021 and subsequent taxation years.
[am. B.C. Regs. 305/2000, s. 1; 158/2001, s. 1; 278/2002, s. (a); 353/2003, s. (a); 378/2004, s. 3; 376/2005, s. (a); 291/2006, s. (a); 349/2007, s. 1; 287/2009, s. 2; 371/2010, s. 1; 220/2011, s. 1; 390/2012, App. s. 2; 251/2013, s. 1; 234/2014, s. 1; 265/2015, s. 2; 318/2016, s. 1; 242/2017, s. 1; 280/2018, s. 1; 280/2019, s. 1; 296/2020, s. 1.]
Section 2 BEFORE amended by BC Reg 257/2022, effective December 1, 2022.
Application
2 This regulation must be used for determinations of value for the purposes of assessment for the 2022 and subsequent taxation years.
[am. B.C. Regs. 305/2000, s. 1; 158/2001, s. 1; 278/2002, s. (a); 353/2003, s. (a); 378/2004, s. 3; 376/2005, s. (a); 291/2006, s. (a); 349/2007, s. 1; 287/2009, s. 2; 371/2010, s. 1; 220/2011, s. 1; 390/2012, App. s. 2; 251/2013, s. 1; 234/2014, s. 1; 265/2015, s. 2; 318/2016, s. 1; 242/2017, s. 1; 280/2018, s. 1; 280/2019, s. 1; 296/2020, s. 1; 311/2021, s. 1.]
Section 2 BEFORE amended by BC Reg 250/2023, effective December 1, 2023.
Application
2 This regulation must be used for determinations of value for the purposes of assessment for the 2023 and subsequent taxation years.
[am. B.C. Regs. 305/2000, s. 1; 158/2001, s. 1; 278/2002, s. (a); 353/2003, s. (a); 378/2004, s. 3; 376/2005, s. (a); 291/2006, s. (a); 349/2007, s. 1; 287/2009, s. 2; 371/2010, s. 1; 220/2011, s. 1; 390/2012, App. s. 2; 251/2013, s. 1; 234/2014, s. 1; 265/2015, s. 2; 318/2016, s. 1; 242/2017, s. 1; 280/2018, s. 1; 280/2019, s. 1; 296/2020, s. 1; 311/2021, s. 1; 257/2022, s. 1.]
Section 2 BEFORE amended by BC Reg 284/2024, effective December 16, 2024.
Application
2 This regulation must be used for determinations of value for the purposes of assessment for the 2024 and subsequent taxation years.
[am. B.C. Regs. 305/2000, s. 1; 158/2001, s. 1; 278/2002, s. (a); 353/2003, s. (a); 378/2004, s. 3; 376/2005, s. (a); 291/2006, s. (a); 349/2007, s. 1; 287/2009, s. 2; 371/2010, s. 1; 220/2011, s. 1; 390/2012, App. s. 2; 251/2013, s. 1; 234/2014, s. 1; 265/2015, s. 2; 318/2016, s. 1; 242/2017, s. 1; 280/2018, s. 1; 280/2019, s. 1; 296/2020, s. 1; 311/2021, s. 1; 257/2022, s. 1; 250/2023, s. 1.]
Section 2 BEFORE amended by BC Reg 241/2025, effective December 17, 2025.
Application
2 This regulation must be used for determinations of value for the purposes of assessment for the 2025 and subsequent taxation years.
[am. B.C. Regs. 305/2000, s. 1; 158/2001, s. 1; 278/2002, s. (a); 353/2003, s. (a); 378/2004, s. 3; 376/2005, s. (a); 291/2006, s. (a); 349/2007, s. 1; 287/2009, s. 2; 371/2010, s. 1; 220/2011, s. 1; 390/2012, App., s. 2; 251/2013, s. 1; 234/2014, s. 1; 265/2015, s. 2; 318/2016, s. 1; 242/2017, s. 1; 280/2018, s. 1; 280/2019, s. 1; 296/2020, s. 1; 311/2021, s. 1; 257/2022, s. 1; 250/2023, s. 1; 284/2024, s. 1.]
Section 5 (3) BEFORE amended by BC Reg 287/2009, effective November 30, 2009.
(3) The value of Grade Codes 4 and 5 in an interior area must be set at 50% of the sawlog value, and Grade Code 6 must be given a value of $1.00 per cubic metre or such value as is determined from time to time by the assessment authority.
Section 5 (2) BEFORE amended by BC Reg 318/2016, effective December 19, 2016.
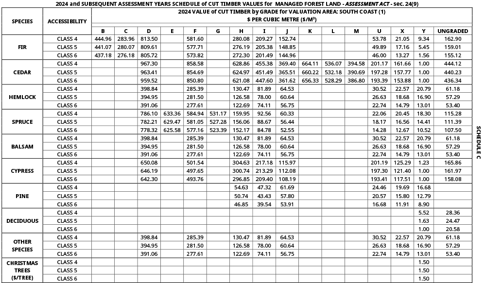
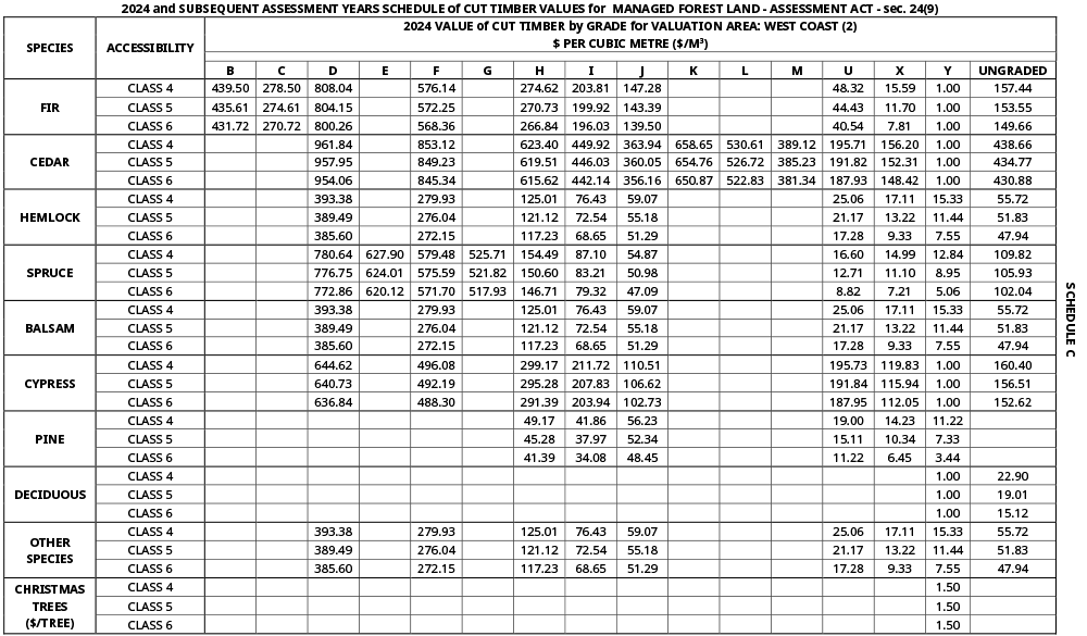
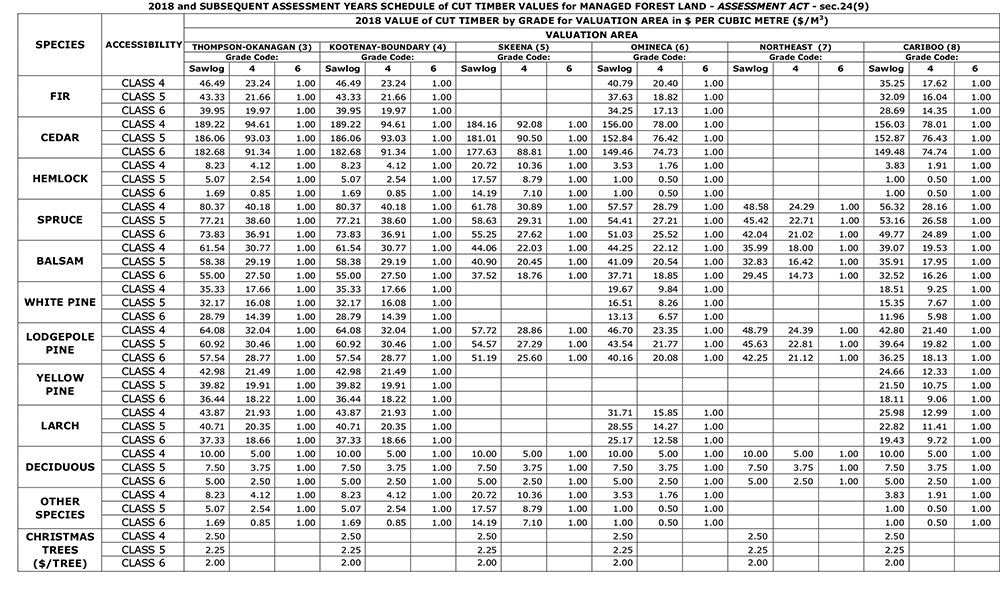
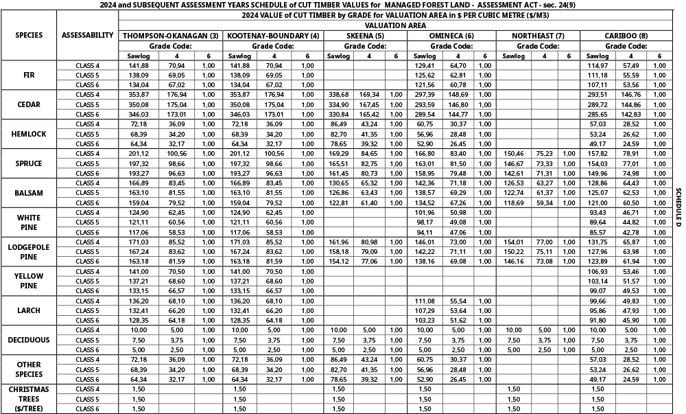
(2) The value of special forest products shall be determined using the rates shown in the column headed "ungraded" for species and grade in Schedule C, or the column headed "sawlog" in Schedule D as appropriate.
Schedule A exemption notice BEFORE amended editorially.
This map is exempt from publication. It may be seen at the offices of the
B.C. Assessment Authority, 1537 Hillside Avenue, Victoria, B.C. V8T 4Y2.
Schedule A BEFORE amended by BC Reg 265/2015, effective December 23, 2015.
Map of Valuation Areas
This map is exempt from publication. It may be seen at the offices of the
B.C. Assessment Authority, 400-3450 Uptown Blvd., Victoria, BC, V8Z 0B9.
Schedule B BEFORE amended by BC Reg 371/2010, effective December 17, 2010.
[en. B.C. Reg. 287/2009, s. 4.]
2010 and SUBSEQUENT ASSESSMENT YEARS SCHEDULE of LAND VALUES
for MANAGED FOREST LAND – ASSESSMENT ACT – sec. 24 (7)

Schedule B BEFORE amended by BC Reg 220/2011, effective December 5, 2011.
[en. B.C. Reg. 371/2010, s. 2.]
2011 and SUBSEQUENT ASSESSMENT YEARS SCHEDULE of LAND VALUES for MANAGED FOREST LAND — ASSESSMENT ACT — sec. 24 (7)
| TOPOGRAPHY | ACCESSIBILITY | SOIL QUALITY | LAND VALUES in $/HECTARE ($/ha) VALUATION AREA | ||||||||
| VANCOUVER (1) | WEST COAST (2) | MID COAST (3) | NORTH COAST (4) | SKEENA (5) | PRINCE GEORGE (6) | F. NELSON / PEACE (7) | CARIBOO (8) | SOUTHERN INTERIOR (9) | |||
| CLASS 1 | CLASS 4 | GOOD | 4,010 | 2,770 | 2,040 | 1,220 | 580 | 560 | 470 | 370 | 1,170 |
| MEDIUM | 2,540 | 1,660 | 1,240 | 740 | 460 | 380 | 330 | 250 | 780 | ||
| POOR | 1,260 | 910 | 680 | 410 | 250 | 200 | 150 | 140 | 440 | ||
| CLASS 5 | GOOD | 2,860 | 2,220 | 1,630 | 980 | 480 | 470 | 390 | 310 | 980 | |
| MEDIUM | 1,810 | 1,330 | 990 | 590 | 390 | 310 | 280 | 210 | 650 | ||
| POOR | 900 | 730 | 550 | 330 | 210 | 160 | 120 | 120 | 370 | ||
| CLASS 6 | GOOD | 2,150 | 1,660 | 1,220 | 730 | 390 | 370 | 310 | 250 | 780 | |
| MEDIUM | 1,360 | 1,000 | 740 | 450 | 310 | 250 | 220 | 170 | 520 | ||
| POOR | 680 | 550 | 410 | 250 | 170 | 130 | 100 | 90 | 290 | ||
| CLASS 2 | CLASS 4 | GOOD | 3,210 | 2,220 | 1,630 | 980 | 450 | 390 | 330 | 260 | 900 |
| MEDIUM | 2,030 | 1,330 | 990 | 590 | 360 | 260 | 230 | 170 | 600 | ||
| POOR | 1,010 | 730 | 550 | 330 | 190 | 140 | 100 | 100 | 340 | ||
| CLASS 5 | GOOD | 2,290 | 1,780 | 1,310 | 780 | 370 | 330 | 270 | 220 | 750 | |
| MEDIUM | 1,450 | 1,060 | 790 | 470 | 300 | 220 | 190 | 140 | 500 | ||
| POOR | 720 | 580 | 440 | 260 | 160 | 110 | 80 | 80 | 280 | ||
| CLASS 6 | GOOD | 1,720 | 1,330 | 980 | 590 | 300 | 260 | 220 | 170 | 600 | |
| MEDIUM | 1,090 | 800 | 590 | 360 | 240 | 180 | 150 | 120 | 400 | ||
| POOR | 540 | 440 | 330 | 200 | 130 | 90 | 70 | 70 | 230 | ||
| CLASS 3 | CLASS 4 | GOOD | 2,410 | 1,660 | 1,220 | 730 | 310 | 220 | 190 | 150 | 630 |
| MEDIUM | 1,520 | 1,000 | 740 | 450 | 250 | 150 | 130 | 100 | 420 | ||
| POOR | 760 | 550 | 410 | 250 | 130 | 80 | 60 | 60 | 240 | ||
| CLASS 5 | GOOD | 1,720 | 1,330 | 980 | 590 | 260 | 190 | 160 | 120 | 530 | |
| MEDIUM | 1,090 | 800 | 590 | 360 | 210 | 130 | 110 | 80 | 350 | ||
| POOR | 540 | 440 | 330 | 200 | 110 | 70 | 50 | 50 | 200 | ||
| CLASS 6 | GOOD | 1,290 | 1,000 | 730 | 440 | 210 | 150 | 130 | 100 | 420 | |
| MEDIUM | 820 | 600 | 450 | 270 | 170 | 100 | 90 | 70 | 280 | ||
| POOR | 410 | 330 | 250 | 150 | 90 | 50 | 40 | 40 | 160 | ||
| ALL | ALL | INOPERABLE | 210 | 170 | 130 | 80 | 50 | 30 | 20 | 20 | 80 |
| ALL | ALL | NON-PRODUCTIVE | 10 | 10 | 10 | 10 | 10 | 10 | 10 | 10 | 10 |
Schedule B BEFORE amended by BC Reg 390/2012, effective December 7, 2012.
[en. B.C. Reg. 220/2011, s. 2.]
2012 and SUBSEQUENT ASSESSMENT YEARS SCHEDULE of LAND VALUES for MANAGED FOREST LAND — ASSESSMENT ACT — sec. 24 (7)
| TOPOGRAPHY | ACCESSIBILITY | SOIL QUALITY | 2012 LAND VALUES in $/HECTARE ($/ha) VALUATION AREA | ||||||||
| VANCOUVER (1) | WEST COAST (2) | MID COAST (3) | NORTH COAST (4) | SKEENA (5) | PRINCE GEORGE (6) | F. NELSON / PEACE (7) | CARIBOO (8) | SOUTHERN INTERIOR (9) | |||
| CLASS 1 | CLASS 4 | GOOD | $3,670 | $2,550 | $1,870 | $1,120 | $480 | $480 | $400 | $320 | $990 |
| MEDIUM | $2,320 | $1,520 | $1,130 | $680 | $380 | $320 | $280 | $210 | $670 | ||
| POOR | $1,160 | $840 | $630 | $380 | $210 | $170 | $120 | $120 | $370 | ||
| CLASS 5 | GOOD | $2,620 | $2,040 | $1,500 | $900 | $400 | $400 | $330 | $270 | $830 | |
| MEDIUM | $1,660 | $1,220 | $910 | $540 | $320 | $270 | $230 | $180 | $550 | ||
| POOR | $830 | $670 | $500 | $300 | $170 | $140 | $100 | $100 | $310 | ||
| CLASS 6 | GOOD | $1,960 | $1,530 | $1,120 | $670 | $320 | $320 | $270 | $210 | $660 | |
| MEDIUM | $1,240 | $910 | $680 | $410 | $250 | $210 | $190 | $140 | $440 | ||
| POOR | $620 | $500 | $380 | $230 | $140 | $110 | $80 | $80 | $250 | ||
| CLASS 2 | CLASS 4 | GOOD | $2,930 | $2,040 | $1,500 | $900 | $370 | $340 | $280 | $220 | $760 |
| MEDIUM | $1,860 | $1,220 | $910 | $540 | $290 | $230 | $200 | $150 | $510 | ||
| POOR | $920 | $670 | $500 | $300 | $160 | $120 | $90 | $80 | $290 | ||
| CLASS 5 | GOOD | $2,100 | $1,630 | $1,200 | $720 | $310 | $280 | $230 | $190 | $640 | |
| MEDIUM | $1,330 | $980 | $730 | $440 | $240 | $190 | $160 | $120 | $430 | ||
| POOR | $660 | $540 | $400 | $240 | $130 | $100 | $70 | $70 | $240 | ||
| CLASS 6 | GOOD | $1,570 | $1,220 | $900 | $540 | $240 | $220 | $190 | $150 | $510 | |
| MEDIUM | $1,000 | $730 | $540 | $330 | $200 | $150 | $130 | $100 | $340 | ||
| POOR | $500 | $400 | $300 | $180 | $110 | $80 | $60 | $60 | $190 | ||
| CLASS 3 | CLASS 4 | GOOD | $2,200 | $1,530 | $1,120 | $670 | $260 | $190 | $160 | $130 | $540 |
| MEDIUM | $1,390 | $910 | $680 | $410 | $210 | $130 | $110 | $90 | $360 | ||
| POOR | $690 | $500 | $380 | $230 | $110 | $70 | $50 | $50 | $200 | ||
| CLASS 5 | GOOD | $1,570 | $1,220 | $900 | $540 | $210 | $160 | $130 | $110 | $450 | |
| MEDIUM | $1,000 | $730 | $540 | $330 | $170 | $110 | $90 | $70 | $300 | ||
| POOR | $500 | $400 | $300 | $180 | $90 | $60 | $40 | $40 | $170 | ||
| CLASS 6 | GOOD | $1,180 | $920 | $670 | $400 | $170 | $130 | $110 | $90 | $360 | |
| MEDIUM | $750 | $550 | $410 | $250 | $140 | $90 | $80 | $60 | $240 | ||
| POOR | $370 | $300 | $230 | $140 | $70 | $40 | $30 | $30 | $130 | ||
| ALL | ALL | INOPERABLE | $190 | $150 | $120 | $70 | $40 | $20 | $20 | $20 | $70 |
| ALL | ALL | NON-PRODUCTIVE | $10 | $10 | $10 | $10 | $10 | $10 | $10 | $10 | $10 |
Schedule B BEFORE amended by BC Reg 251/2013, effective December 11, 2013.
[en. B.C. Reg. 390/2012, App. s. 3.]
2013 and SUBSEQUENT ASSESSMENT YEARS SCHEDULE of LAND VALUES for MANAGED FOREST LAND — ASSESSMENT ACT — sec. 24 (7)
| TOPOGRAPHY | ACCESSIBILITY | SOIL QUALITY | 2013 LAND VALUES in $/HECTARE ($/ha) VALUATION AREA | ||||||||
| VANCOUVER (1) | WEST COAST (2) | MID COAST (3) | NORTH COAST (4) | SKEENA (5) | PRINCE GEORGE (6) | FT.NELSON / PEACE (7) | CARIBOO (8) | SOUTHERN INTERIOR (9) | |||
| CLASS 1 | CLASS 4 | GOOD | $3,500 | $2,850 | $2,070 | $1,270 | $420 | $380 | $320 | $310 | $890 |
| MEDIUM | $2,210 | $1,710 | $1,250 | $770 | $340 | $260 | $220 | $210 | $600 | ||
| POOR | $1,100 | $940 | $690 | $430 | $180 | $130 | $100 | $120 | $330 | ||
| CLASS 5 | GOOD | $2,500 | $2,280 | $1,650 | $1,020 | $350 | $320 | $270 | $260 | $740 | |
| MEDIUM | $1,580 | $1,370 | $1,000 | $620 | $280 | $210 | $190 | $170 | $500 | ||
| POOR | $790 | $750 | $550 | $340 | $150 | $110 | $80 | $100 | $280 | ||
| CLASS 6 | GOOD | $1,870 | $1,710 | $1,240 | $760 | $280 | $260 | $210 | $210 | $590 | |
| MEDIUM | $1,190 | $1,020 | $750 | $460 | $220 | $170 | $150 | $140 | $400 | ||
| POOR | $590 | $560 | $410 | $260 | $120 | $90 | $70 | $80 | $220 | ||
| CLASS 2 | CLASS 4 | GOOD | $2,800 | $2,280 | $1,650 | $1,020 | $320 | $270 | $220 | $220 | $690 |
| MEDIUM | $1,770 | $1,370 | $1,000 | $620 | $260 | $180 | $160 | $150 | $460 | ||
| POOR | $880 | $750 | $550 | $340 | $140 | $90 | $70 | $80 | $260 | ||
| CLASS 5 | GOOD | $2,000 | $1,830 | $1,320 | $810 | $270 | $220 | $190 | $180 | $570 | |
| MEDIUM | $1,270 | $1,090 | $800 | $490 | $220 | $150 | $130 | $120 | $380 | ||
| POOR | $630 | $600 | $440 | $270 | $120 | $80 | $60 | $70 | $210 | ||
| CLASS 6 | GOOD | $1,500 | $1,370 | $990 | $610 | $220 | $180 | $150 | $150 | $460 | |
| MEDIUM | $950 | $820 | $600 | $370 | $170 | $120 | $100 | $100 | $310 | ||
| POOR | $470 | $450 | $330 | $200 | $90 | $60 | $50 | $50 | $170 | ||
| CLASS 3 | CLASS 4 | GOOD | $2,100 | $1,710 | $1,240 | $760 | $230 | $150 | $130 | $120 | $480 |
| MEDIUM | $1,330 | $1,020 | $750 | $460 | $180 | $100 | $90 | $80 | $320 | ||
| POOR | $660 | $560 | $410 | $260 | $100 | $50 | $40 | $50 | $180 | ||
| CLASS 5 | GOOD | $1,500 | $1,370 | $990 | $610 | $190 | $130 | $110 | $100 | $400 | |
| MEDIUM | $950 | $820 | $600 | $370 | $150 | $90 | $70 | $70 | $270 | ||
| POOR | $470 | $450 | $330 | $200 | $80 | $40 | $30 | $40 | $150 | ||
| CLASS 6 | GOOD | $1,120 | $1,030 | $740 | $460 | $150 | $100 | $90 | $80 | $320 | |
| MEDIUM | $710 | $610 | $450 | $280 | $120 | $70 | $60 | $60 | $210 | ||
| POOR | $350 | $340 | $250 | $150 | $70 | $40 | $30 | $30 | $120 | ||
| ALL | ALL | INOPERABLE | $180 | $170 | $130 | $80 | $40 | $20 | $20 | $20 | $60 |
| ALL | ALL | NON-PRODUCTIVE | $10 | $10 | $10 | $10 | $10 | $10 | $10 | $10 | $10 |
Schedule B BEFORE amended by BC Reg 234/2014, effective December 10, 2014.
[en. B.C. Reg. 251/2013, s. 2.]
2014 and SUBSEQUENT ASSESSMENT YEARS SCHEDULE of LAND VALUES for MANAGED FOREST LAND — ASSESSMENT ACT — sec. 24 (7)
| TOPOGRAPHY | ACCESSIBILITY | SOIL QUALITY | 2014 LAND VALUES in $/HECTARE ($/ha) VALUATION AREA | ||||||||
| VANCOUVER (1) | WEST COAST (2) | MID COAST (3) | NORTH COAST (4) | SKEENA (5) | PRINCE GEORGE (6) | FT.NELSON / PEACE (7) | CARIBOO (8) | SOUTHERN INTERIOR (9) | |||
| CLASS 1 | CLASS 4 | GOOD | $3,280 | $2,850 | $2,030 | $1,300 | $380 | $280 | $240 | $260 | $810 |
| MEDIUM | $2,080 | $1,710 | $1,230 | $790 | $310 | $190 | $170 | $180 | $540 | ||
| POOR | $1,030 | $940 | $680 | $440 | $170 | $100 | $70 | $100 | $300 | ||
| CLASS 5 | GOOD | $2,340 | $2,280 | $1,630 | $1,040 | $320 | $240 | $200 | $220 | $680 | |
| MEDIUM | $1,480 | $1,360 | $990 | $630 | $260 | $160 | $140 | $150 | $450 | ||
| POOR | $740 | $750 | $540 | $350 | $140 | $80 | $60 | $80 | $250 | ||
| CLASS 6 | GOOD | $1,760 | $1,710 | $1,220 | $780 | $260 | $190 | $160 | $180 | $540 | |
| MEDIUM | $1,110 | $1,020 | $740 | $470 | $200 | $130 | $110 | $120 | $360 | ||
| POOR | $550 | $560 | $410 | $260 | $110 | $70 | $50 | $70 | $200 | ||
| CLASS 2 | CLASS 4 | GOOD | $2,620 | $2,280 | $1,630 | $1,040 | $300 | $200 | $170 | $190 | $620 |
| MEDIUM | $1,660 | $1,360 | $990 | $630 | $240 | $130 | $120 | $120 | $420 | ||
| POOR | $830 | $750 | $540 | $350 | $130 | $70 | $50 | $70 | $230 | ||
| CLASS 5 | GOOD | $1,870 | $1,830 | $1,300 | $830 | $250 | $160 | $140 | $150 | $520 | |
| MEDIUM | $1,190 | $1,090 | $790 | $510 | $200 | $110 | $100 | $100 | $350 | ||
| POOR | $590 | $600 | $440 | $280 | $110 | $60 | $40 | $60 | $200 | ||
| CLASS 6 | GOOD | $1,400 | $1,370 | $980 | $630 | $200 | $130 | $110 | $120 | $420 | |
| MEDIUM | $890 | $820 | $590 | $380 | $160 | $90 | $80 | $80 | $280 | ||
| POOR | $440 | $450 | $330 | $210 | $90 | $50 | $30 | $50 | $160 | ||
| CLASS 3 | CLASS 4 | GOOD | $1,970 | $1,710 | $1,220 | $780 | $210 | $110 | $90 | $110 | $440 |
| MEDIUM | $1,250 | $1,020 | $740 | $470 | $170 | $80 | $70 | $70 | $290 | ||
| POOR | $620 | $560 | $410 | $260 | $90 | $40 | $30 | $40 | $160 | ||
| CLASS 5 | GOOD | $1,400 | $1,370 | $980 | $630 | $170 | $90 | $80 | $90 | $360 | |
| MEDIUM | $890 | $820 | $590 | $380 | $140 | $60 | $60 | $60 | $240 | ||
| POOR | $440 | $450 | $330 | $210 | $70 | $30 | $20 | $30 | $140 | ||
| CLASS 6 | GOOD | $1,050 | $1,030 | $730 | $470 | $140 | $80 | $60 | $70 | $290 | |
| MEDIUM | $670 | $610 | $440 | $280 | $110 | $50 | $40 | $50 | $190 | ||
| POOR | $330 | $340 | $250 | $160 | $60 | $30 | $20 | $30 | $110 | ||
| ALL | ALL | INOPERABLE | $170 | $170 | $130 | $80 | $30 | $20 | $10 | $20 | $60 |
| ALL | ALL | NON-PRODUCTIVE | $10 | $10 | $10 | $10 | $10 | $10 | $10 | $10 | $10 |
Schedule B BEFORE amended by BC Reg 265/2015, effective December 23, 2015.
[en. B.C. Reg. 234/2014, s. 2.]
2015 and SUBSEQUENT ASSESSMENT YEARS SCHEDULE of LAND VALUES for MANAGED FOREST LAND — ASSESSMENT ACT — sec. 24 (7)
| TOPOGRAPHY | ACCESSIBILITY | SOIL QUALITY | 2015 LAND VALUES in $/HECTARE ($/ha) | |||||||||||
| VALUATION AREA | ||||||||||||||
| VANCOUVER (1) | WEST COAST (2) | MID COAST (3) | NORTH COAST (4) | SKEENA (5) | PRINCE GEORGE (6) | FT.NELSON / PEACE (7) | CARIBOO (8) | SOUTHERN INTERIOR (9) | ||||||
| CLASS 1 | CLASS 4 | GOOD | $3,450 | $2,520 | $2,170 | $1,520 | $420 | $270 | $230 | $260 | $850 | |||
| MEDIUM | $2,180 | $1,510 | $1,320 | $920 | $340 | $180 | $160 | $180 | $570 | |||||
| POOR | $1,090 | $830 | $730 | $510 | $180 | $100 | $70 | $100 | $320 | |||||
| CLASS 5 | GOOD | $2,460 | $2,010 | $1,740 | $1,220 | $350 | $230 | $190 | $220 | $710 | ||||
| MEDIUM | $1,560 | $1,200 | $1,050 | $740 | $280 | $150 | $130 | $150 | $470 | |||||
| POOR | $780 | $660 | $580 | $410 | $150 | $80 | $60 | $80 | $270 | |||||
| CLASS 6 | GOOD | $1,850 | $1,510 | $1,300 | $910 | $280 | $180 | $150 | $180 | $560 | ||||
| MEDIUM | $1,170 | $900 | $790 | $550 | $230 | $120 | $110 | $120 | $380 | |||||
| POOR | $580 | $500 | $440 | $310 | $120 | $60 | $50 | $70 | $210 | |||||
| CLASS 2 | CLASS 4 | GOOD | $2,760 | $2,010 | $1,740 | $1,220 | $330 | $190 | $160 | $180 | $650 | |||
| MEDIUM | $1,750 | $1,200 | $1,050 | $740 | $260 | $130 | $110 | $120 | $440 | |||||
| POOR | $870 | $660 | $580 | $410 | $140 | $70 | $50 | $70 | $240 | |||||
| CLASS 5 | GOOD | $1,970 | $1,610 | $1,390 | $980 | $270 | $160 | $130 | $150 | $540 | ||||
| MEDIUM | $1,250 | $960 | $840 | $590 | $220 | $110 | $90 | $100 | $360 | |||||
| POOR | $620 | $530 | $470 | $330 | $120 | $60 | $40 | $60 | $200 | |||||
| CLASS 6 | GOOD | $1,480 | $1,210 | $1,040 | $730 | $220 | $130 | $110 | $120 | $430 | ||||
| MEDIUM | $940 | $720 | $630 | $440 | $170 | $90 | $70 | $80 | $290 | |||||
| POOR | $470 | $400 | $350 | $240 | $90 | $40 | $30 | $50 | $160 | |||||
| CLASS 3 | CLASS 4 | GOOD | $2,070 | $1,510 | $1,300 | $910 | $230 | $110 | $90 | $110 | $460 | |||
| MEDIUM | $1,310 | $900 | $790 | $550 | $180 | $70 | $60 | $70 | $310 | |||||
| POOR | $650 | $500 | $440 | $310 | $100 | $40 | $30 | $40 | $170 | |||||
| CLASS 5 | GOOD | $1,480 | $1,210 | $1,040 | $730 | $190 | $90 | $80 | $90 | $380 | ||||
| MEDIUM | $940 | $720 | $630 | $440 | $150 | $60 | $50 | $60 | $250 | |||||
| POOR | $470 | $400 | $350 | $240 | $80 | $30 | $20 | $30 | $140 | |||||
| CLASS 6 | GOOD | $1,110 | $910 | $780 | $550 | $150 | $70 | $60 | $70 | $300 | ||||
| MEDIUM | $700 | $540 | $470 | $330 | $120 | $50 | $40 | $50 | $200 | |||||
| POOR | $350 | $300 | $260 | $180 | $70 | $30 | $20 | $30 | $110 | |||||
| ALL | ALL | INOPERABLE | $180 | $150 | $130 | $90 | $40 | $20 | $10 | $20 | $60 | |||
| ALL | ALL | NON-PRODUCTIVE | $10 | $10 | $10 | $10 | $10 | $10 | $10 | $10 | $10 | |||
Schedule B BEFORE re-enacted by BC Reg 318/2016, effective December 19, 2016.
[en. B.C. Reg. 265/2015, s. 3.]
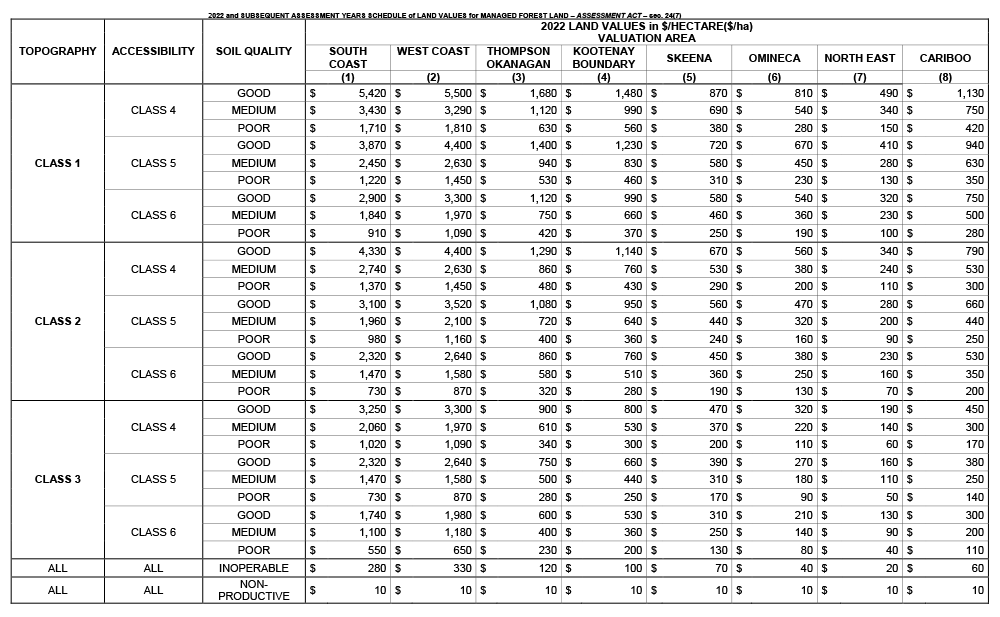
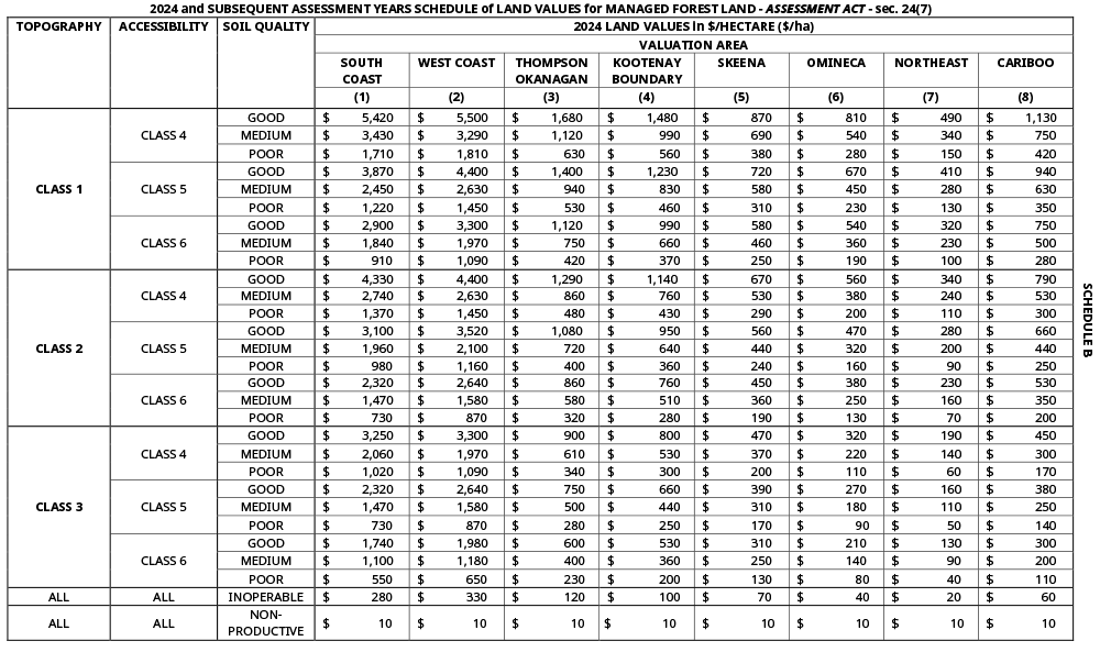
2016 and SUBSEQUENT ASSESSMENT YEARS SCHEDULE of LAND VALUES for MANAGED FOREST LAND — ASSESSMENT ACT — sec. 24 (7)
| TOPOGRAPHY | ACCESSIBILITY | SOIL QUALITY | 2016 LAND VALUES in $/HECTARE ($/ha) | |||||||
| VALUATION AREA | ||||||||||
| SOUTH COAST (1) | WEST COAST (2) | THOMPSON OKANAGAN (3) | KOOTENAY BOUNDARY (4) | SKEENA (5) | OMINECA (6) | NORTHEAST (7) | CARIBOO (8) | |||
| CLASS 1 | CLASS 4 | GOOD | $3,650 | $3,910 | $920 | $870 | $560 | $460 | $220 | $640 |
| MEDIUM | $2,310 | $2,340 | $610 | $580 | $450 | $310 | $150 | $430 | ||
| POOR | $1,150 | $1,290 | $340 | $330 | $240 | $160 | $70 | $240 | ||
| CLASS 5 | GOOD | $2,610 | $3,130 | $920 | $870 | $470 | $380 | $180 | $530 | |
| MEDIUM | $1,650 | $1,870 | $610 | $580 | $370 | $260 | $130 | $360 | ||
| POOR | $820 | $1,030 | $340 | $330 | $200 | $130 | $60 | $200 | ||
| CLASS 6 | GOOD | $1,960 | $2,340 | $730 | $700 | $380 | $310 | $140 | $430 | |
| MEDIUM | $1,240 | $1,400 | $490 | $470 | $300 | $210 | $100 | $290 | ||
| POOR | $620 | $770 | $280 | $260 | $160 | $110 | $40 | $160 | ||
| CLASS 2 | CLASS 4 | GOOD | $2,920 | $3,130 | $700 | $670 | $430 | $320 | $150 | $450 |
| MEDIUM | $1,850 | $1,870 | $470 | $450 | $350 | $220 | $110 | $300 | ||
| POOR | $920 | $1,030 | $260 | $250 | $190 | $110 | $50 | $170 | ||
| CLASS 5 | GOOD | $2,090 | $2,500 | $700 | $670 | $360 | $270 | $130 | $370 | |
| MEDIUM | $1,320 | $1,500 | $470 | $450 | $290 | $180 | $90 | $250 | ||
| POOR | $660 | $820 | $260 | $250 | $160 | $90 | $40 | $140 | ||
| CLASS 6 | GOOD | $1,560 | $1,880 | $560 | $540 | $290 | $220 | $100 | $300 | |
| MEDIUM | $990 | $1,120 | $380 | $360 | $230 | $140 | $70 | $200 | ||
| POOR | $490 | $620 | $210 | $200 | $120 | $80 | $30 | $110 | ||
| CLASS 3 | CLASS 4 | GOOD | $2,190 | $2,340 | $490 | $470 | $300 | $180 | $90 | $260 |
| MEDIUM | $1,390 | $1,400 | $330 | $310 | $240 | $120 | $60 | $170 | ||
| POOR | $690 | $770 | $190 | $180 | $130 | $60 | $30 | $100 | ||
| CLASS 5 | GOOD | $1,560 | $1,880 | $490 | $470 | $250 | $150 | $70 | $210 | |
| MEDIUM | $990 | $1,120 | $330 | $310 | $200 | $100 | $50 | $140 | ||
| POOR | $490 | $620 | $190 | $180 | $110 | $50 | $20 | $80 | ||
| CLASS 6 | GOOD | $1,170 | $1,410 | $390 | $370 | $200 | $120 | $60 | $170 | |
| MEDIUM | $740 | $840 | $260 | $250 | $160 | $80 | $40 | $110 | ||
| POOR | $370 | $460 | $150 | $140 | $90 | $40 | $20 | $60 | ||
| ALL | ALL | INOPERABLE | $190 | $230 | $80 | $70 | $50 | $20 | $10 | $30 |
| ALL | ALL | NON-PRODUCTIVE | $10 | $10 | $10 | $10 | $10 | $10 | $10 | $10 |
Schedule B BEFORE re-enacted by BC Reg 242/2017, effective December 20, 2017.
[en. B.C. Reg. 318/2016, s. 3.]
2017 and SUBSEQUENT ASSESSMENT YEARS SCHEDULE of LAND VALUES for MANAGED FOREST LAND — ASSESSMENT ACT — sec. 24 (7)
| TOPOGRAPHY | ACCESSIBILITY | SOIL QUALITY | 2017 LAND VALUES in $/HECTARE ($/ha) | |||||||
| VALUATION AREA | ||||||||||
| SOUTH COAST (1) | WEST COAST (2) | THOMPSON OKANAGAN (3) | KOOTENAY BOUNDARY (4) | SKEENA (5) | OMINECA (6) | NORTHEAST (7) | CARIBOO (8) | |||
| CLASS 1 | CLASS 4 | GOOD | $4,300 | $4,460 | $1,300 | $1,170 | $670 | $560 | $260 | $750 |
| MEDIUM | $2,720 | $2,670 | $870 | $790 | $540 | $380 | $190 | $500 | ||
| POOR | $1,360 | $1,470 | $490 | $440 | $290 | $200 | $80 | $280 | ||
| CLASS 5 | GOOD | $3,070 | $3,570 | $1,080 | $980 | $560 | $470 | $220 | $630 | |
| MEDIUM | $1,940 | $2,140 | $720 | $660 | $450 | $320 | $150 | $420 | ||
| POOR | $970 | $1,170 | $410 | $370 | $240 | $160 | $70 | $240 | ||
| CLASS 6 | GOOD | $2,300 | $2,680 | $860 | $780 | $450 | $380 | $180 | $500 | |
| MEDIUM | $1,460 | $1,600 | $580 | $520 | $360 | $250 | $120 | $330 | ||
| POOR | $730 | $880 | $320 | $290 | $190 | $130 | $50 | $190 | ||
| CLASS 2 | CLASS 4 | GOOD | $3,440 | $3,570 | $1,000 | $900 | $520 | $390 | $180 | $530 |
| MEDIUM | $2,180 | $2,140 | $670 | $600 | $410 | $260 | $130 | $350 | ||
| POOR | $1,080 | $1,170 | $370 | $340 | $220 | $140 | $60 | $200 | ||
| CLASS 5 | GOOD | $2,460 | $2,860 | $830 | $750 | $430 | $330 | $150 | $440 | |
| MEDIUM | $1,560 | $1,710 | $560 | $500 | $340 | $220 | $110 | $290 | ||
| POOR | $770 | $940 | $310 | $280 | $190 | $110 | $50 | $160 | ||
| CLASS 6 | GOOD | $1,840 | $2,140 | $660 | $600 | $350 | $260 | $120 | $350 | |
| MEDIUM | $1,170 | $1,280 | $450 | $400 | $280 | $180 | $90 | $230 | ||
| POOR | $580 | $700 | $250 | $230 | $150 | $90 | $40 | $130 | ||
| CLASS 3 | CLASS 4 | GOOD | $2,580 | $2,680 | $700 | $630 | $360 | $230 | $110 | $300 |
| MEDIUM | $1,630 | $1,600 | $470 | $420 | $290 | $150 | $70 | $200 | ||
| POOR | $810 | $880 | $260 | $240 | $160 | $80 | $30 | $110 | ||
| CLASS 5 | GOOD | $1,840 | $2,140 | $580 | $530 | $300 | $190 | $90 | $250 | |
| MEDIUM | $1,170 | $1,280 | $390 | $350 | $240 | $130 | $60 | $170 | ||
| POOR | $580 | $700 | $220 | $200 | $130 | $70 | $30 | $90 | ||
| CLASS 6 | GOOD | $1,380 | $1,610 | $470 | $420 | $240 | $150 | $70 | $200 | |
| MEDIUM | $880 | $960 | $310 | $280 | $190 | $100 | $50 | $130 | ||
| POOR | $440 | $530 | $170 | $160 | $100 | $50 | $20 | $80 | ||
| ALL | ALL | INOPERABLE | $220 | $270 | $90 | $80 | $50 | $30 | $10 | $40 |
| ALL | ALL | NON-PRODUCTIVE | $10 | $10 | $10 | $10 | $10 | $10 | $10 | $10 |
Schedule B BEFORE re-enacted by BC Reg 280/2018, effective December 14, 2018.
[en. B.C. Reg. 242/2017, s. 2.]

Schedule B BEFORE re-enacted by BC Reg 280/2019, effective December 18, 2019.
[en. B.C. Reg. 280/2018, s. 2.]

Schedule B BEFORE re-enacted by BC Reg 296/2020, effective December 21, 2020.
[en. B.C. Reg. 280/2019, s. 2.]

Schedule B BEFORE re-enacted by BC Reg 311/2021, effective December 1, 2021.
[en. B.C. Reg. 296/2020, s. 2.]

Schedule B BEFORE re-enacted by BC Reg 257/2022, effective December 1, 2022.
[en. B.C. Reg. 311/2021, s. 2.]

Schedule B BEFORE re-enacted by BC Reg 250/2023, effective December 1, 2023.
[en. B.C. Reg. 250/2023, s. 2.]

Schedule B BEFORE re-enacted by BC Reg 284/2024, effective December 16, 2024.
[en. B.C. Reg. 250/2023, s. 2.]

Schedule C BEFORE amended by BC Reg 371/2010, effective December 17, 2010.
[en. B.C. Reg. 287/2009, s. 4.]
2010 and SUBSEQUENT ASSESSMENT YEARS SCHEDULE of CUT TIMBER VALUES
for MANAGED FOREST LAND - ASSESSMENT ACT - see sec. 24 (9)

Schedule C (cont'd)
2010 and SUBSEQUENT ASSESSMENT YEARS SCHEDULE of CUT TIMBER VALUES
for MANAGED FOREST LAND - ASSESSMENT ACT - see sec. 24 (9)

Schedule C (cont'd)
2010 and SUBSEQUENT ASSESSMENT YEARS SCHEDULE of CUT TIMBER VALUES
for MANAGED FOREST LAND - ASSESSMENT ACT - see sec. 24 (9)

Schedule C (cont'd)
2010 and SUBSEQUENT ASSESSMENT YEARS SCHEDULE of CUT TIMBER VALUES
for MANAGED FOREST LAND - ASSESSMENT ACT - see sec. 24 (9)

Schedule C (cont'd)
2010 and SUBSEQUENT ASSESSMENT YEARS SCHEDULE of CUT TIMBER VALUES
for MANAGED FOREST LAND - ASSESSMENT ACT - see sec. 24 (9)

Schedule C BEFORE amended by BC Reg 220/2011, effective December 5, 2011.
[en. B.C. Reg. 371/2010, s. 2.]
2011 and SUBSEQUENT ASSESSMENT YEARS SCHEDULE of CUT TIMBER VALUES for MANAGED FOREST LAND — ASSESSMENT ACT — sec. 24 (9)
| SPECIES | ACCESSIBILITY | 2011 VALUE of CUT TIMBER by GRADE for VALUATION AREA: VANCOUVER (1) $ PER CUBIC METRE ($/m3) | |||||||||||||||
| B | C | D | E | F | G | H | I | J | K | L | M | U | X | Y | UNGRADED | ||
| FIR | CLASS 4 | 162.69 | 84.03 | 340.67 | 225.86 | 89.31 | 50.55 | 33.51 | 17.92 | 8.18 | 1.00 | 58.63 | |||||
| CLASS 5 | 159.73 | 81.07 | 337.71 | 222.90 | 86.35 | 47.59 | 30.55 | 14.96 | 5.22 | 1.00 | 55.67 | ||||||
| CLASS 6 | 156.77 | 78.11 | 334.75 | 219.94 | 83.39 | 44.63 | 27.59 | 12.00 | 2.26 | 1.00 | 52.71 | ||||||
| CEDAR | CLASS 4 | 274.29 | 208.78 | 119.16 | 75.93 | 83.01 | 125.61 | 89.21 | 49.49 | 16.99 | 7.93 | 1.00 | 79.58 | ||||
| CLASS 5 | 271.33 | 205.82 | 116.20 | 72.97 | 80.05 | 122.65 | 86.25 | 46.53 | 14.03 | 4.97 | 1.00 | 76.62 | |||||
| CLASS 6 | 268.37 | 202.86 | 113.24 | 70.01 | 77.09 | 119.69 | 83.29 | 43.57 | 11.07 | 2.01 | 1.00 | 73.66 | |||||
| HEMLOCK | CLASS 4 | 96.06 | 73.66 | 39.32 | 25.56 | 22.80 | 18.33 | 18.20 | 16.01 | 25.47 | |||||||
| CLASS 5 | 93.10 | 70.70 | 36.36 | 22.60 | 19.84 | 15.37 | 15.24 | 13.05 | 22.51 | ||||||||
| CLASS 6 | 90.14 | 67.74 | 33.40 | 19.64 | 16.88 | 12.41 | 12.28 | 10.09 | 19.55 | ||||||||
| SPRUCE | CLASS 4 | 366.08 | 294.13 | 272.04 | 183.62 | 98.35 | 48.23 | 28.77 | 19.00 | 19.76 | 12.08 | 76.96 | |||||
| CLASS 5 | 363.12 | 291.17 | 269.08 | 180.66 | 95.39 | 45.27 | 25.81 | 16.04 | 16.80 | 9.12 | 74.00 | ||||||
| CLASS 6 | 360.16 | 288.21 | 266.12 | 177.70 | 92.43 | 42.31 | 22.85 | 13.08 | 13.84 | 6.16 | 71.04 | ||||||
| BALSAM | CLASS 4 | 96.06 | 73.66 | 39.32 | 25.56 | 22.80 | 18.33 | 18.20 | 16.02 | 25.47 | |||||||
| CLASS 5 | 93.10 | 70.70 | 36.36 | 22.60 | 19.84 | 15.37 | 15.24 | 13.06 | 22.51 | ||||||||
| CLASS 6 | 90.14 | 67.74 | 33.40 | 19.64 | 16.88 | 12.41 | 12.28 | 10.10 | 19.55 | ||||||||
| CYPRESS | CLASS 4 | 386.47 | 237.00 | 131.14 | 76.18 | 66.02 | 31.35 | 13.18 | 1.00 | 87.16 | |||||||
| CLASS 5 | 383.51 | 234.04 | 128.18 | 73.22 | 63.06 | 28.39 | 10.22 | 1.00 | 84.20 | ||||||||
| CLASS 6 | 380.55 | 231.08 | 125.22 | 70.26 | 60.10 | 25.43 | 7.26 | 1.00 | 81.24 | ||||||||
| PINE | CLASS 4 | 34.92 | 33.18 | 33.12 | 34.97 | 10.68 | 1.00 | 1.00 | 30.97 | ||||||||
| CLASS 5 | 31.96 | 30.22 | 30.16 | 32.01 | 7.72 | 1.00 | 1.00 | 28.01 | |||||||||
| CLASS 6 | 29.00 | 27.26 | 27.20 | 29.05 | 4.76 | 1.00 | 1.00 | 25.05 | |||||||||
| DECIDUOUS | CLASS 4 | 3.28 | 20.74 | ||||||||||||||
| CLASS 5 | 1.00 | 17.78 | |||||||||||||||
| CLASS 6 | 1.00 | 14.82 | |||||||||||||||
| OTHER SPECIES | CLASS 4 | 96.06 | 73.66 | 39.32 | 25.56 | 22.80 | 18.33 | 18.20 | 16.01 | 25.47 | |||||||
| CLASS 5 | 93.10 | 70.70 | 36.36 | 22.60 | 19.84 | 15.37 | 15.24 | 13.05 | 22.51 | ||||||||
| CLASS 6 | 90.14 | 67.74 | 33.40 | 19.64 | 16.88 | 12.41 | 12.28 | 10.09 | 19.55 | ||||||||
| CHRISTMAS TREES ($/TREE) | CLASS 4 | 2.50 | 2.50 | ||||||||||||||
| CLASS 5 | 2.25 | 2.25 | |||||||||||||||
| CLASS 6 | 2.00 | 2.00 | |||||||||||||||
Schedule C cont'd.
2011 and SUBSEQUENT ASSESSMENT YEARS SCHEDULE of CUT TIMBER VALUES for MANAGED FOREST LAND — ASSESSMENT ACT — sec. 24 (9)
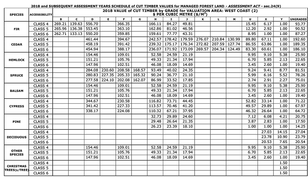
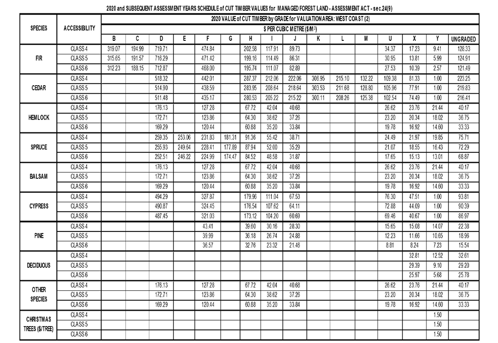
| SPECIES | ACCESSIBILITY | 2011 VALUE of CUT TIMBER by GRADE for VALUATION AREA: WEST COAST (2) $ PER CUBIC METRE ($/m3) | |||||||||||||||
| B | C | D | E | F | G | H | I | J | K | L | M | U | X | Y | UNGRADED | ||
| FIR | CLASS 4 | 158.53 | 79.87 | 336.51 | 221.70 | 85.15 | 46.39 | 29.35 | 13.76 | 4.02 | 1.00 | 54.47 | |||||
| CLASS 5 | 155.57 | 76.91 | 333.55 | 218.74 | 82.19 | 43.43 | 26.39 | 10.80 | 1.06 | 1.00 | 51.51 | ||||||
| CLASS 6 | 152.61 | 73.95 | 330.59 | 215.78 | 79.23 | 40.47 | 23.43 | 7.84 | 1.00 | 1.00 | 48.55 | ||||||
| CEDAR | CLASS 4 | 270.13 | 204.62 | 115.00 | 71.77 | 78.85 | 121.45 | 85.05 | 45.33 | 12.83 | 3.77 | 1.00 | 75.42 | ||||
| CLASS 5 | 267.17 | 201.66 | 112.04 | 68.81 | 75.89 | 118.49 | 82.09 | 42.37 | 9.87 | 1.00 | 1.00 | 72.46 | |||||
| CLASS 6 | 264.21 | 198.70 | 109.08 | 65.85 | 72.93 | 115.53 | 79.13 | 39.41 | 6.91 | 1.00 | 1.00 | 69.50 | |||||
| HEMLOCK | CLASS 4 | 91.90 | 69.50 | 35.16 | 21.40 | 18.64 | 14.17 | 14.04 | 11.85 | 21.31 | |||||||
| CLASS 5 | 88.94 | 66.54 | 32.20 | 18.44 | 15.68 | 11.21 | 11.08 | 8.89 | 18.35 | ||||||||
| CLASS 6 | 85.98 | 63.58 | 29.24 | 15.48 | 12.72 | 8.25 | 8.12 | 5.93 | 15.39 | ||||||||
| SPRUCE | CLASS 4 | 361.92 | 289.97 | 267.88 | 179.46 | 94.19 | 44.07 | 24.61 | 14.84 | 15.60 | 7.92 | 72.80 | |||||
| CLASS 5 | 358.96 | 287.01 | 264.92 | 176.50 | 91.23 | 41.11 | 21.65 | 11.88 | 12.64 | 4.96 | 69.84 | ||||||
| CLASS 6 | 356.00 | 284.05 | 261.96 | 173.54 | 88.27 | 38.15 | 18.69 | 8.92 | 9.68 | 2.00 | 66.88 | ||||||
| BALSAM | CLASS 4 | 91.90 | 69.50 | 35.16 | 21.40 | 18.64 | 14.17 | 14.04 | 11.86 | 21.31 | |||||||
| CLASS 5 | 88.94 | 66.54 | 32.20 | 18.44 | 15.68 | 11.21 | 11.08 | 8.90 | 18.35 | ||||||||
| CLASS 6 | 85.98 | 63.58 | 29.24 | 15.48 | 12.72 | 8.25 | 8.12 | 5.94 | 15.39 | ||||||||
| CYPRESS | CLASS 4 | 382.31 | 232.84 | 126.98 | 72.02 | 61.86 | 27.19 | 9.02 | 1.00 | 83.00 | |||||||
| CLASS 5 | 379.35 | 229.88 | 124.02 | 69.06 | 58.90 | 24.23 | 6.06 | 1.00 | 80.04 | ||||||||
| CLASS 6 | 376.39 | 226.92 | 121.06 | 66.10 | 55.94 | 21.27 | 3.10 | 1.00 | 77.08 | ||||||||
| PINE | CLASS 4 | 30.76 | 29.02 | 28.96 | 30.81 | 6.52 | 1.00 | 1.00 | 26.81 | ||||||||
| CLASS 5 | 27.80 | 26.06 | 26.00 | 27.85 | 3.56 | 1.00 | 1.00 | 23.85 | |||||||||
| CLASS 6 | 24.84 | 23.10 | 23.04 | 24.89 | 1.00 | 1.00 | 1.00 | 20.89 | |||||||||
| DECIDUOUS | CLASS 4 | 1.00 | 16.58 | ||||||||||||||
| CLASS 5 | 1.00 | 13.62 | |||||||||||||||
| CLASS 6 | 1.00 | 10.66 | |||||||||||||||
| OTHER SPECIES | CLASS 4 | 91.90 | 69.50 | 35.16 | 21.40 | 18.64 | 14.17 | 14.04 | 11.85 | 21.31 | |||||||
| CLASS 5 | 88.94 | 66.54 | 32.20 | 18.44 | 15.68 | 11.21 | 11.08 | 8.89 | 18.35 | ||||||||
| CLASS 6 | 85.98 | 63.58 | 29.24 | 15.48 | 12.72 | 8.25 | 8.12 | 5.93 | 15.39 | ||||||||
| CHRISTMAS TREES ($/TREE) | CLASS 4 | 2.50 | 2.50 | ||||||||||||||
| CLASS 5 | 2.25 | 2.25 | |||||||||||||||
| CLASS 6 | 2.00 | 2.00 | |||||||||||||||
Schedule C cont'd.
2011 and SUBSEQUENT ASSESSMENT YEARS SCHEDULE of CUT TIMBER VALUES for MANAGED FOREST LAND — ASSESSMENT ACT — sec. 24 (9)
| SPECIES | ACCESSIBILITY | 2011 VALUE of CUT TIMBER by GRADE for VALUATION AREA: MID COAST (3) $ PER CUBIC METRE ($/m3) | |||||||||||||||
| B | C | D | E | F | G | H | I | J | K | L | M | U | X | Y | UNGRADED | ||
| FIR | CLASS 4 | 156.55 | 77.89 | 334.53 | 219.72 | 83.17 | 44.41 | 27.37 | 11.78 | 2.04 | 1.00 | 52.49 | |||||
| CLASS 5 | 153.59 | 74.93 | 331.57 | 216.76 | 80.21 | 41.45 | 24.41 | 8.82 | 1.00 | 1.00 | 49.53 | ||||||
| CLASS 6 | 150.63 | 71.97 | 328.61 | 213.80 | 77.25 | 38.49 | 21.45 | 5.86 | 1.00 | 1.00 | 46.57 | ||||||
| CEDAR | CLASS 4 | 268.15 | 202.64 | 113.02 | 69.79 | 76.87 | 119.47 | 83.07 | 43.35 | 10.85 | 1.79 | 1.00 | 73.44 | ||||
| CLASS 5 | 265.19 | 199.68 | 110.06 | 66.83 | 73.91 | 116.51 | 80.11 | 40.39 | 7.89 | 1.00 | 1.00 | 70.48 | |||||
| CLASS 6 | 262.23 | 196.72 | 107.10 | 63.87 | 70.95 | 113.55 | 77.15 | 37.43 | 4.93 | 1.00 | 1.00 | 67.52 | |||||
| HEMLOCK | CLASS 4 | 89.92 | 67.52 | 33.18 | 19.42 | 16.66 | 12.19 | 12.06 | 9.87 | 19.33 | |||||||
| CLASS 5 | 86.96 | 64.56 | 30.22 | 16.46 | 13.70 | 9.23 | 9.10 | 6.91 | 16.37 | ||||||||
| CLASS 6 | 84.00 | 61.60 | 27.26 | 13.50 | 10.74 | 6.27 | 6.14 | 3.95 | 13.41 | ||||||||
| SPRUCE | CLASS 4 | 359.94 | 287.99 | 265.90 | 177.48 | 92.21 | 42.09 | 22.63 | 12.86 | 13.62 | 5.94 | 70.82 | |||||
| CLASS 5 | 356.98 | 285.03 | 262.94 | 174.52 | 89.25 | 39.13 | 19.67 | 9.90 | 10.66 | 2.98 | 67.86 | ||||||
| CLASS 6 | 354.02 | 282.07 | 259.98 | 171.56 | 86.29 | 36.17 | 16.71 | 6.94 | 7.70 | 1.00 | 64.90 | ||||||
| BALSAM | CLASS 4 | 89.92 | 67.52 | 33.18 | 19.42 | 16.66 | 12.19 | 12.06 | 9.88 | 19.33 | |||||||
| CLASS 5 | 86.96 | 64.56 | 30.22 | 16.46 | 13.70 | 9.23 | 9.10 | 6.92 | 16.37 | ||||||||
| CLASS 6 | 84.00 | 61.60 | 27.26 | 13.50 | 10.74 | 6.27 | 6.14 | 3.96 | 13.41 | ||||||||
| CYPRESS | CLASS 4 | 380.33 | 230.86 | 125.00 | 70.04 | 59.88 | 25.21 | 7.04 | 1.00 | 81.02 | |||||||
| CLASS 5 | 377.37 | 227.90 | 122.04 | 67.08 | 56.92 | 22.25 | 4.08 | 1.00 | 78.06 | ||||||||
| CLASS 6 | 374.41 | 224.94 | 119.08 | 64.12 | 53.96 | 19.29 | 1.12 | 1.00 | 75.10 | ||||||||
| PINE | CLASS 4 | 28.78 | 27.04 | 26.98 | 28.83 | 4.54 | 1.00 | 1.00 | 24.83 | ||||||||
| CLASS 5 | 25.82 | 24.08 | 24.02 | 25.87 | 1.58 | 1.00 | 1.00 | 21.87 | |||||||||
| CLASS 6 | 22.86 | 21.12 | 21.06 | 22.91 | 1.00 | 1.00 | 1.00 | 18.91 | |||||||||
| DECIDUOUS | CLASS 4 | 1.00 | 14.60 | ||||||||||||||
| CLASS 5 | 1.00 | 11.64 | |||||||||||||||
| CLASS 6 | 1.00 | 8.68 | |||||||||||||||
| OTHER SPECIES | CLASS 4 | 89.92 | 67.52 | 33.18 | 19.42 | 16.66 | 12.19 | 12.06 | 9.87 | 19.33 | |||||||
| CLASS 5 | 86.96 | 64.56 | 30.22 | 16.46 | 13.70 | 9.23 | 9.10 | 6.91 | 16.37 | ||||||||
| CLASS 6 | 84.00 | 61.60 | 27.26 | 13.50 | 10.74 | 6.27 | 6.14 | 3.95 | 13.41 | ||||||||
| CHRISTMAS TREES ($/TREE) | CLASS 4 | 2.50 | 2.50 | ||||||||||||||
| CLASS 5 | 2.25 | 2.25 | |||||||||||||||
| CLASS 6 | 2.00 | 2.00 | |||||||||||||||
Schedule C cont'd.
2011 and SUBSEQUENT ASSESSMENT YEARS SCHEDULE of CUT TIMBER VALUES for MANAGED FOREST LAND — ASSESSMENT ACT — sec. 24 (9)
| SPECIES | ACCESSIBILITY | 2011 VALUE of CUT TIMBER by GRADE for VALUATION AREA: NORTH COAST (4) $ PER CUBIC METRE ($/m3) | |||||||||||||||
| B | C | D | E | F | G | H | I | J | K | L | M | U | X | Y | UNGRADED | ||
| FIR | CLASS 4 | 152.56 | 73.90 | 330.54 | 215.73 | 79.18 | 40.42 | 23.38 | 7.79 | 1.00 | 1.00 | 48.50 | |||||
| CLASS 5 | 149.59 | 70.93 | 327.57 | 212.76 | 76.21 | 37.45 | 20.41 | 4.82 | 1.00 | 1.00 | 45.53 | ||||||
| CLASS 6 | 146.63 | 67.97 | 324.61 | 209.80 | 73.25 | 34.49 | 17.45 | 1.86 | 1.00 | 1.00 | 42.57 | ||||||
| CEDAR | CLASS 4 | 264.16 | 198.65 | 109.03 | 65.80 | 72.88 | 115.48 | 79.08 | 39.36 | 6.86 | 1.00 | 1.00 | 69.45 | ||||
| CLASS 5 | 261.19 | 195.68 | 106.06 | 62.83 | 69.91 | 112.51 | 76.11 | 36.39 | 3.89 | 1.00 | 1.00 | 66.48 | |||||
| CLASS 6 | 258.23 | 192.72 | 103.10 | 59.87 | 66.95 | 109.55 | 73.15 | 33.43 | 1.00 | 1.00 | 1.00 | 63.52 | |||||
| HEMLOCK | CLASS 4 | 85.93 | 63.53 | 29.19 | 15.43 | 12.67 | 8.20 | 8.07 | 5.88 | 15.34 | |||||||
| CLASS 5 | 82.96 | 60.56 | 26.22 | 12.46 | 9.70 | 5.23 | 5.10 | 2.91 | 12.37 | ||||||||
| CLASS 6 | 80.00 | 57.60 | 23.26 | 9.50 | 6.74 | 2.27 | 2.14 | 1.00 | 9.41 | ||||||||
| SPRUCE | CLASS 4 | 355.95 | 284.00 | 261.91 | 173.49 | 88.22 | 38.10 | 18.64 | 8.87 | 9.63 | 1.95 | 66.83 | |||||
| CLASS 5 | 352.98 | 281.03 | 258.94 | 170.52 | 85.25 | 35.13 | 15.67 | 5.90 | 6.66 | 1.00 | 63.86 | ||||||
| CLASS 6 | 350.02 | 278.07 | 255.98 | 167.56 | 82.29 | 32.17 | 12.71 | 2.94 | 3.70 | 1.00 | 60.90 | ||||||
| BALSAM | CLASS 4 | 85.93 | 63.53 | 29.19 | 15.43 | 12.67 | 8.20 | 8.07 | 5.89 | 15.34 | |||||||
| CLASS 5 | 82.96 | 60.56 | 26.22 | 12.46 | 9.70 | 5.23 | 5.10 | 2.92 | 12.37 | ||||||||
| CLASS 6 | 80.00 | 57.60 | 23.26 | 9.50 | 6.74 | 2.27 | 2.14 | 1.00 | 9.41 | ||||||||
| CYPRESS | CLASS 4 | 376.34 | 226.87 | 121.01 | 66.05 | 55.89 | 21.22 | 3.05 | 1.00 | 77.03 | |||||||
| CLASS 5 | 373.37 | 223.90 | 118.04 | 63.08 | 52.92 | 18.25 | 1.00 | 1.00 | 74.06 | ||||||||
| CLASS 6 | 370.41 | 220.94 | 115.08 | 60.12 | 49.96 | 15.29 | 1.00 | 1.00 | 71.10 | ||||||||
| PINE | CLASS 4 | 24.79 | 23.05 | 22.99 | 24.84 | 1.00 | 1.00 | 1.00 | 20.84 | ||||||||
| CLASS 5 | 21.82 | 20.08 | 20.02 | 21.87 | 1.00 | 1.00 | 1.00 | 17.87 | |||||||||
| CLASS 6 | 18.86 | 17.12 | 17.06 | 18.91 | 1.00 | 1.00 | 1.00 | 14.91 | |||||||||
| DECIDUOUS | CLASS 4 | 1.00 | 10.61 | ||||||||||||||
| CLASS 5 | 1.00 | 7.64 | |||||||||||||||
| CLASS 6 | 1.00 | 4.68 | |||||||||||||||
| OTHER SPECIES | CLASS 4 | 85.93 | 63.53 | 29.19 | 15.43 | 12.67 | 8.20 | 8.07 | 5.88 | 15.34 | |||||||
| CLASS 5 | 82.96 | 60.56 | 26.22 | 12.46 | 9.70 | 5.23 | 5.10 | 2.91 | 12.37 | ||||||||
| CLASS 6 | 80.00 | 57.60 | 23.26 | 9.50 | 6.74 | 2.27 | 2.14 | 1.00 | 9.41 | ||||||||
| CHRISTMAS TREES ($/TREE) | CLASS 4 | 2.50 | 2.50 | ||||||||||||||
| CLASS 5 | 2.25 | 2.25 | |||||||||||||||
| CLASS 6 | 2.00 | 2.00 | |||||||||||||||
Schedule C BEFORE amended by BC Reg 390/2012, effective December 7, 2012.
[en. B.C. Reg. 220/2011, s. 2.]
2012 and SUBSEQUENT ASSESSMENT YEARS SCHEDULE of CUT TIMBER VALUES for MANAGED FOREST LAND — ASSESSMENT ACT — sec. 24 (9)
| SPECIES | ACCESSIBILITY | 2012 VALUE of CUT TIMBER by GRADE for VALUATION AREA: VANCOUVER (1) $ PER CUBIC METRE ($/m3) | |||||||||||||||
| B | C | D | E | F | G | H | I | J | K | L | M | U | X | Y | UNGRADED | ||
| FIR | CLASS 4 | $153.79 | $92.47 | $352.82 | — | $223.18 | — | $96.52 | $41.13 | $33.61 | — | — | — | $20.97 | $8.94 | $3.12 | $67.20 |
| CLASS 5 | $150.77 | $89.45 | $349.80 | — | $220.16 | — | $93.50 | $38.11 | $30.59 | — | — | — | $17.95 | $5.92 | $1.00 | $64.18 | |
| CLASS 6 | $147.74 | $86.42 | $346.77 | — | $217.13 | — | $90.47 | $35.08 | $27.56 | — | — | — | $14.92 | $2.89 | $1.00 | $61.15 | |
| CEDAR | CLASS 4 | — | — | $266.03 | — | $217.82 | — | $137.66 | $72.53 | $114.58 | $119.47 | $79.58 | $44.39 | $25.54 | $10.03 | $1.00 | $84.55 |
| CLASS 5 | — | — | $263.01 | — | $214.80 | — | $134.64 | $69.51 | $111.56 | $116.45 | $76.56 | $41.37 | $22.52 | $7.01 | $1.00 | $81.53 | |
| CLASS 6 | — | — | $259.98 | — | $211.77 | — | $131.61 | $66.48 | $108.53 | $113.42 | $73.53 | $38.34 | $19.49 | $3.98 | $1.00 | $78.50 | |
| HEMLOCK | CLASS 4 | — | — | $107.43 | — | $81.28 | — | $40.98 | $25.04 | $21.49 | — | — | — | $18.20 | $18.43 | $14.47 | $24.35 |
| CLASS 5 | — | — | $104.41 | — | $78.26 | — | $37.96 | $22.02 | $18.47 | — | — | — | $15.18 | $15.41 | $11.45 | $21.33 | |
| CLASS 6 | — | — | $101.38 | — | $75.23 | — | $34.93 | $18.99 | $15.44 | — | — | — | $12.15 | $12.38 | $8.42 | $18.30 | |
| SPRUCE | CLASS 4 | — | — | $350.24 | $276.78 | $233.53 | $167.53 | $98.52 | $55.07 | $23.77 | — | — | — | $18.83 | $18.06 | $16.91 | $76.88 |
| CLASS 5 | — | — | $347.22 | $273.76 | $230.51 | $164.51 | $95.50 | $52.05 | $20.75 | — | — | — | $15.81 | $15.04 | $13.89 | $73.86 | |
| CLASS 6 | — | — | $344.19 | $270.73 | $227.48 | $161.48 | $92.47 | $49.02 | $17.72 | — | — | — | $12.78 | $12.01 | $10.86 | $70.83 | |
| BALSAM | CLASS 4 | — | — | $107.43 | — | $81.28 | — | $40.98 | $25.04 | $21.49 | — | — | — | $18.20 | $18.43 | $14.47 | $24.35 |
| CLASS 5 | — | - | $104.41 | — | $78.26 | — | $37.96 | $22.02 | $18.47 | — | — | — | $15.18 | $15.41 | $11.45 | $21.33 | |
| CLASS 6 | — | — | $101.38 | — | $75.23 | — | $34.93 | $18.99 | $15.44 | — | — | — | $12.15 | $12.38 | $8.42 | $18.30 | |
| CYPRESS | CLASS 4 | — | — | $356.36 | — | $243.76 | — | $129.20 | $77.63 | $72.12 | — | — | — | $29.53 | $16.90 | $1.00 | $86.75 |
| CLASS 5 | — | — | $353.34 | — | $240.74 | — | $126.18 | $74.61 | $69.10 | — | — | — | $26.51 | $13.88 | $1.00 | $83.73 | |
| CLASS 6 | — | — | $350.31 | — | $237.71 | — | $123.15 | $71.58 | $66.07 | — | — | — | $23.48 | $10.85 | $1.00 | $80.70 | |
| PINE | CLASS 4 | — | — | $16.08 | — | $39.78 | — | $25.05 | $21.91 | $32.87 | — | — | — | $9.53 | $8.51 | $11.28 | $28.06 |
| CLASS 5 | — | — | $13.06 | — | $36.76 | — | $22.03 | $18.89 | $29.85 | — | — | — | $6.51 | $5.49 | $8.26 | $25.04 | |
| CLASS 6 | — | — | $10.03 | — | $33.73 | — | $19.00 | $15.86 | $26.82 | — | — | — | $3.48 | $2.46 | $5.23 | $22.01 | |
| DECIDUOUS | CLASS 4 | — | — | — | — | — | — | — | — | — | — | — | — | — | — | $38.99 | $35.92 |
| CLASS 5 | — | — | — | — | — | — | — | — | — | — | — | — | — | — | $35.97 | $32.90 | |
| CLASS 6 | — | — | — | — | — | — | — | — | — | — | — | — | — | — | $32.94 | $29.87 | |
| OTHER SPECIES | CLASS 4 | — | — | $107.43 | — | $81.28 | — | $40.98 | $25.04 | $21.49 | — | — | — | $18.20 | $18.43 | $14.47 | $24.35 |
| CLASS 5 | — | — | $104.41 | — | $78.26 | — | $37.96 | $22.02 | $18.47 | — | — | — | $15.18 | $15.41 | $11.45 | $21.33 | |
| CLASS 6 | — | — | $101.38 | — | $75.23 | — | $34.93 | $18.99 | $15.44 | — | — | — | $12.15 | $12.38 | $8.42 | $18.30 | |
| CHRISTMAS TREES ($/TREE) | CLASS 4 | — | — | — | — | — | — | — | — | — | — | — | — | — | — | $2.50 | $2.50 |
| CLASS 5 | — | — | — | — | — | — | — | — | — | — | — | — | — | — | $2.25 | $2.25 | |
| CLASS 6 | — | — | — | — | — | — | — | — | — | — | — | — | — | — | $2.00 | $2.00 | |
Schedule C cont'd.
2012 and SUBSEQUENT ASSESSMENT YEARS SCHEDULE of CUT TIMBER VALUES for MANAGED FOREST LAND — ASSESSMENT ACT — sec. 24 (9)
| SPECIES | ACCESSIBILITY | 2012 VALUE of CUT TIMBER by GRADE for VALUATION AREA: WEST COAST (2) $ PER CUBIC METRE ($/m3) | |||||||||||||||
| B | C | D | E | F | G | H | I | J | K | L | M | U | X | Y | UNGRADED | ||
| FIR | CLASS 4 | $149.55 | $88.23 | $348.58 | — | $218.94 | — | $92.28 | $36.89 | $29.37 | — | — | — | $16.73 | $4.70 | $1.00 | $62.96 |
| CLASS 5 | $146.53 | $85.21 | $345.56 | — | $215.92 | — | $89.26 | $33.87 | $26.35 | — | — | — | $13.71 | $1.68 | $1.00 | $59.94 | |
| CLASS 6 | $143.51 | $82.19 | $342.54 | — | $212.90 | — | $86.24 | $30.85 | $23.33 | — | — | — | $10.69 | $1.00 | $1.00 | $56.92 | |
| CEDAR | CLASS 4 | — | — | $261.79 | — | $213.58 | — | $133.42 | $68.29 | $110.34 | $115.23 | $75.34 | $40.15 | $21.30 | $5.79 | $1.00 | $80.31 |
| CLASS 5 | — | — | $258.77 | — | $210.56 | — | $130.40 | $65.27 | $107.32 | $112.21 | $72.32 | $37.13 | $18.28 | $2.77 | $1.00 | $77.29 | |
| CLASS 6 | — | — | $255.75 | — | $207.54 | — | $127.38 | $62.25 | $104.30 | $109.19 | $69.30 | $34.11 | $15.26 | $1.00 | $1.00 | $74.27 | |
| HEMLOCK | CLASS 4 | — | — | $103.19 | — | $77.04 | — | $36.74 | $20.80 | $17.25 | — | — | — | $13.96 | $14.19 | $10.23 | $20.11 |
| CLASS 5 | — | — | $100.17 | — | $74.02 | — | $33.72 | $17.78 | $14.23 | — | — | — | $10.94 | $11.17 | $7.21 | $17.09 | |
| CLASS 6 | — | — | $97.15 | — | $71.00 | — | $30.70 | $14.76 | $11.21 | — | — | — | $7.92 | $8.15 | $4.19 | $14.07 | |
| SPRUCE | CLASS 4 | — | — | $346.00 | $272.54 | $229.29 | $163.29 | $94.28 | $50.83 | $19.53 | — | — | — | $14.59 | $13.82 | $12.67 | $72.64 |
| CLASS 5 | — | — | $342.98 | $269.52 | $226.27 | $160.27 | $91.26 | $47.81 | $16.51 | — | — | — | $11.57 | $10.80 | $9.65 | $69.62 | |
| CLASS 6 | — | — | $339.96 | $266.50 | $223.25 | $157.25 | $88.24 | $44.79 | $13.49 | — | — | — | $8.55 | $7.78 | $6.63 | $66.60 | |
| BALSAM | CLASS 4 | — | — | $103.19 | — | $77.04 | — | $36.74 | $20.80 | $17.25 | — | — | — | $13.96 | $14.19 | $10.23 | $20.11 |
| CLASS 5 | — | — | $100.17 | — | $74.02 | — | $33.72 | $17.78 | $14.23 | — | — | — | $10.94 | $11.17 | $7.21 | $17.09 | |
| CLASS 6 | — | — | $97.15 | — | $71.00 | — | $30.70 | $14.76 | $11.21 | — | — | — | $7.92 | $8.15 | $4.19 | $14.07 | |
| CYPRESS | CLASS 4 | — | — | $352.12 | — | $239.52 | — | $124.96 | $73.39 | $67.88 | — | — | — | $25.29 | $12.66 | $1.00 | $82.51 |
| CLASS 5 | — | — | $349.10 | — | $236.50 | — | $121.94 | $70.37 | $64.86 | — | — | — | $22.27 | $9.64 | $1.00 | $79.49 | |
| CLASS 6 | — | — | $346.08 | — | $233.48 | — | $118.92 | $67.35 | $61.84 | — | — | — | $19.25 | $6.62 | $1.00 | $76.47 | |
| PINE | CLASS 4 | — | — | $346.08 | — | $233.48 | — | $118.92 | $67.35 | $61.84 | — | — | — | $19.25 | $6.62 | $1.00 | $76.47 |
| CLASS 5 | — | — | $8.82 | — | $32.52 | — | $17.79 | $14.65 | $25.61 | — | — | — | $2.27 | $1.25 | $4.02 | $20.80 | |
| CLASS 6 | — | — | $5.80 | — | $29.50 | — | $14.77 | $11.63 | $22.59 | — | — | - | $1.00 | $1.00 | $1.00 | $17.78 | |
| DECIDUOUS | CLASS 4 | — | — | — | — | — | — | — | — | — | — | — | — | — | — | $34.75 | $31.68 |
| CLASS 5 | — | — | — | — | — | — | — | — | — | — | — | — | — | — | $31.73 | $28.66 | |
| CLASS 6 | — | — | — | — | — | — | — | — | — | — | — | — | — | — | $28.71 | $25.64 | |
| OTHER SPECIES | CLASS 4 | — | — | 103.19 | — | $77.04 | — | $36.74 | $20.80 | $17.25 | — | — | — | $13.96 | $14.19 | $10.23 | $20.11 |
| CLASS 5 | — | — | $100.17 | — | $74.02 | — | $33.72 | $17.78 | $14.23 | — | — | — | $10.94 | $11.17 | $7.21 | $17.09 | |
| CLASS 6 | — | — | $97.15 | — | $71.00 | — | $30.70 | $14.76 | $11.21 | — | — | — | $7.92 | $8.15 | $4.19 | $14.07 | |
| CHRISTMAS TREES ($/TREE) | CLASS 4 | — | — | — | — | — | — | — | — | — | — | — | — | — | — | $2.50 | $2.50 |
| CLASS 5 | — | — | — | — | — | — | — | — | — | — | — | — | — | — | $2.25 | $2.25 | |
| CLASS 6 | — | — | — | — | — | — | — | — | — | — | — | — | — | — | $2.00 | $2.00 | |
Schedule C cont'd.
2012 and SUBSEQUENT ASSESSMENT YEARS SCHEDULE of CUT TIMBER VALUES for MANAGED FOREST LAND — ASSESSMENT ACT — sec. 24 (9)
| SPECIES | ACCESSIBILITY | 2012 VALUE of CUT TIMBER by GRADE for VALUATION AREA: MID COAST (3) $ PER CUBIC METRE ($/m3) | |||||||||||||||
| B | C | D | E | F | G | H | I | J | K | L | M | U | X | Y | UNGRADED | ||
| FIR | CLASS 4 | $147.53 | $86.21 | $346.56 | — | $216.92 | — | $90.26 | $34.87 | $27.35 | — | — | — | $14.71 | $2.68 | $1.00 | $60.94 |
| CLASS 5 | $144.51 | $83.19 | $343.54 | — | $213.90 | — | $87.24 | $31.85 | $24.33 | — | — | — | $11.69 | $1.00 | $1.00 | $57.92 | |
| CLASS 6 | $141.49 | $80.17 | $340.52 | — | $210.88 | — | $84.22 | $28.83 | $21.31 | — | — | — | $8.67 | $1.00 | $1.00 | $54.90 | |
| CEDAR | CLASS 4 | — | — | $259.77 | — | $211.56 | — | $131.40 | $66.27 | $108.32 | $113.21 | $73.32 | $38.13 | $19.28 | $3.77 | $1.00 | $78.29 |
| CLASS 5 | — | — | $256.75 | — | $208.54 | — | $128.38 | $63.25 | $105.30 | $110.19 | $70.30 | $35.11 | $16.26 | $1.00 | $1.00 | $75.27 | |
| CLASS 6 | — | — | $253.73 | — | $205.52 | — | $125.36 | $60.23 | $102.28 | $107.17 | $67.28 | $32.09 | $13.24 | $1.00 | $1.00 | $72.25 | |
| HEMLOCK | CLASS 4 | — | — | 101.17 | — | $75.02 | — | $34.72 | $18.78 | $15.23 | — | — | — | $11.94 | $12.17 | $8.21 | $18.09 |
| CLASS 5 | — | — | $98.15 | — | $72.00 | — | $31.70 | $15.76 | $12.21 | — | — | — | $8.92 | $9.15 | $5.19 | $15.07 | |
| CLASS 6 | — | — | $95.13 | — | $68.98 | — | $28.68 | $12.74 | $9.19 | — | — | — | $5.90 | $6.13 | $2.17 | $12.05 | |
| SPRUCE | CLASS 4 | — | — | $343.98 | $270.52 | $227.27 | $161.27 | $92.26 | $48.81 | $17.51 | — | — | — | $12.57 | $11.80 | $10.65 | $70.62 |
| CLASS 5 | — | — | $340.96 | $267.50 | $224.25 | $158.25 | $89.24 | $45.79 | $14.49 | — | — | — | $9.55 | $8.78 | $7.63 | $67.60 | |
| CLASS 6 | — | — | $337.94 | $264.48 | $221.23 | $155.23 | $86.22 | $42.77 | $11.47 | — | — | — | $6.53 | $5.76 | $4.61 | $64.58 | |
| BALSAM | CLASS 4 | — | — | $101.17 | — | $75.02 | — | $34.72 | $18.78 | $15.23 | — | — | — | $11.94 | $12.17 | $8.21 | $18.09 |
| CLASS 5 | — | — | $98.15 | — | $72.00 | — | $31.70 | $15.76 | $12.21 | — | — | — | $8.92 | $9.15 | $5.19 | $15.07 | |
| CLASS 6 | — | — | $95.13 | — | $68.98 | — | $28.68 | $12.74 | $9.19 | — | — | — | $5.90 | $6.13 | $2.17 | $12.05 | |
| CYPRESS | CLASS 4 | — | — | $350.10 | — | $237.50 | — | $122.94 | $71.37 | $65.86 | — | — | — | $23.27 | $10.64 | $1.00 | $80.49 |
| CLASS 5 | — | — | $347.08 | — | $234.48 | — | $119.92 | $68.35 | $62.84 | — | — | — | $20.25 | $7.62 | $1.00 | $77.47 | |
| CLASS 6 | — | — | $344.06 | — | $231.46 | — | $116.90 | $65.33 | $59.82 | — | — | — | $17.23 | $4.60 | $1.00 | $74.45 | |
| PINE | CLASS 4 | — | — | $9.82 | — | $33.52 | — | $18.79 | $15.65 | $26.61 | — | — | — | $3.27 | $2.25 | $5.02 | $21.80 |
| CLASS 5 | — | — | $6.80 | — | $30.50 | — | $15.77 | $12.63 | $23.59 | — | — | — | $1.00 | $1.00 | $2.00 | $18.78 | |
| CLASS 6 | — | — | $3.78 | — | $27.48 | — | $12.75 | $9.61 | $20.57 | — | — | — | $1.00 | $1.00 | $1.00 | $15.76 | |
| DECIDUOUS | CLASS 4 | — | — | — | — | — | — | — | — | — | — | — | — | — | — | $32.73 | $29.66 |
| CLASS 5 | — | — | — | — | — | — | — | — | — | — | — | — | — | — | $29.71 | $26.64 | |
| CLASS 6 | — | — | — | — | — | — | — | — | — | — | — | — | — | — | $26.69 | $23.62 | |
| OTHER SPECIES | CLASS 4 | — | — | $101.17 | — | $75.02 | — | $34.72 | $18.78 | $15.23 | — | — | — | $11.94 | $12.17 | $8.21 | $18.09 |
| CLASS 5 | — | — | $98.15 | — | $72.00 | — | $31.70 | $15.76 | $12.21 | — | — | — | $8.92 | $9.15 | $5.19 | $15.07 | |
| CLASS 6 | — | — | $95.13 | — | $68.98 | — | $28.68 | $12.74 | $9.19 | — | — | — | $5.90 | $6.13 | $2.17 | $12.05 | |
| CHRISTMAS TREES ($/TREE) | CLASS 4 | — | — | — | — | — | — | — | — | — | — | — | — | — | — | $2.50 | $2.50 |
| CLASS 5 | — | — | — | — | — | — | — | — | — | — | — | — | — | — | $2.25 | $2.25 | |
| CLASS 6 | — | — | — | — | — | — | — | — | — | — | — | — | — | — | $2.00 | $2.00 | |
Schedule C cont'd.
2012 and SUBSEQUENT ASSESSMENT YEARS SCHEDULE of CUT TIMBER VALUES for MANAGED FOREST LAND — ASSESSMENT ACT — sec. 24 (9)
| SPECIES | ACCESSIBILITY | 2012 VALUE of CUT TIMBER by GRADE for VALUATION AREA: NORTH COAST (4) $ PER CUBIC METRE ($/m3) | |||||||||||||||
| B | C | D | E | F | G | H | I | J | K | L | M | U | X | Y | UNGRADED | ||
| FIR | CLASS 4 | $143.45 | $82.13 | $342.48 | — | $212.84 | — | $86.18 | $30.79 | $23.27 | — | — | — | $10.63 | $1.00 | $1.00 | $56.86 |
| CLASS 5 | $140.43 | $79.11 | $339.46 | — | $209.82 | — | $83.16 | $27.77 | $20.25 | — | — | — | $7.61 | $1.00 | $1.00 | $53.84 | |
| CLASS 6 | $137.41 | $76.09 | $336.44 | — | $206.80 | — | $80.14 | $24.75 | $17.23 | — | — | — | $4.59 | $1.00 | $1.00 | $50.82 | |
| CEDAR | CLASS 4 | — | — | $255.69 | — | $207.48 | — | $127.32 | $62.19 | $104.24 | $109.13 | $69.24 | $34.05 | $15.20 | $1.00 | $1.00 | $74.21 |
| CLASS 5 | — | — | $252.67 | — | $204.46 | — | $124.30 | $59.17 | $101.22 | $106.11 | $66.22 | $31.03 | $12.18 | $1.00 | $1.00 | $71.19 | |
| CLASS 6 | — | — | $249.65 | — | $201.44 | — | $121.28 | $56.15 | $98.20 | $103.09 | $63.20 | $28.01 | $9.16 | $1.00 | $1.00 | $68.17 | |
| HEMLOCK | CLASS 4 | — | — | $97.09 | — | $70.94 | — | $30.64 | $14.70 | $11.15 | — | — | — | $7.86 | $8.09 | $4.13 | $14.01 |
| CLASS 5 | — | — | $94.07 | — | $67.92 | — | $27.62 | $11.68 | $8.13 | — | — | — | $4.84 | $5.07 | $1.11 | $10.99 | |
| CLASS 6 | — | — | $91.05 | — | $64.90 | — | $24.60 | $8.66 | $5.11 | — | — | — | $1.82 | $2.05 | $1.00 | $7.97 | |
| SPRUCE | CLASS 4 | — | — | $339.90 | $266.44 | $223.19 | $157.19 | $88.18 | $44.73 | $13.43 | — | — | — | $8.49 | $7.72 | $6.57 | $66.54 |
| CLASS 5 | — | — | $336.88 | $263.42 | $220.17 | $154.17 | $85.16 | $41.71 | $10.41 | — | — | — | $5.47 | $4.70 | $3.55 | $63.52 | |
| CLASS 6 | — | — | $333.86 | $260.40 | $217.15 | $151.15 | $82.14 | $38.69 | $7.39 | — | — | — | $2.45 | $1.68 | $1.00 | $60.50 | |
| BALSAM | CLASS 4 | — | — | $97.09 | — | $70.94 | — | $30.64 | $14.70 | $11.15 | — | — | — | $7.86 | $8.09 | $4.13 | $14.01 |
| CLASS 5 | — | — | $94.07 | — | $67.92 | — | $27.62 | $11.68 | $8.13 | — | — | — | $4.84 | $5.07 | $1.11 | $10.99 | |
| CLASS 6 | — | — | $91.05 | — | $64.90 | — | $24.60 | $8.66 | $5.11 | — | — | — | $1.82 | $2.05 | $1.00 | $7.97 | |
| CYPRESS | CLASS 4 | — | — | $346.02 | — | $233.42 | — | $118.86 | $67.29 | $61.78 | — | — | — | $19.19 | $6.56 | $1.00 | $76.41 |
| CLASS 5 | — | — | $343.00 | — | $230.40 | — | $115.84 | $64.27 | $58.76 | — | — | — | $16.17 | $3.54 | $1.00 | $73.39 | |
| CLASS 6 | — | — | $339.98 | — | $227.38 | — | $112.82 | $61.25 | $55.74 | — | — | — | $13.15 | $1.00 | $1.00 | $70.37 | |
| PINE | CLASS 4 | — | — | $5.74 | — | $29.44 | — | $14.71 | $11.57 | $22.53 | — | — | — | $1.00 | $1.00 | $1.00 | $17.72 |
| CLASS 5 | — | — | $2.72 | — | $26.42 | — | $11.69 | $8.55 | $19.51 | — | — | — | $1.00 | $1.00 | $1.00 | $14.70 | |
| CLASS 6 | — | — | $1.00 | — | $23.40 | — | $8.67 | $5.53 | $16.49 | — | — | — | $1.00 | $1.00 | $1.00 | $11.68 | |
| DECIDUOUS | CLASS 4 | — | — | — | — | — | — | — | — | — | — | — | — | — | — | $28.65 | $25.58 |
| CLASS 5 | — | — | — | — | — | — | — | — | — | — | — | — | — | — | $25.63 | $22.56 | |
| CLASS 6 | — | — | — | — | — | — | — | — | — | — | — | — | — | — | $22.61 | $19.54 | |
| OTHER SPECIES | CLASS 4 | — | — | $97.09 | — | $70.94 | — | $30.64 | $14.70 | $11.15 | — | — | — | $7.86 | $8.09 | $4.13 | $14.01 |
| CLASS 5 | — | — | $94.07 | — | $67.92 | — | $27.62 | $11.68 | $8.13 | — | — | — | $4.84 | $5.07 | $1.11 | $10.99 | |
| CLASS 6 | — | — | $91.05 | — | $64.90 | — | $24.60 | $8.66 | $5.11 | — | — | — | $1.82 | $2.05 | $1.00 | $7.97 | |
| CHRISTMAS TREES ($/TREE) | CLASS 4 | — | — | — | — | — | — | — | — | — | — | — | — | — | — | $2.50 | $2.50 |
| CLASS 5 | — | — | — | — | — | — | — | — | — | — | — | — | — | — | $2.25 | $2.25 | |
| CLASS 6 | — | — | — | — | — | — | — | — | — | — | — | — | — | — | $2.00 | $2.00 | |
Schedule C BEFORE amended by BC Reg 251/2013, effective December 11, 2013.
[en. B.C. Reg. 390/2012, App. s. 3.]
2013 and SUBSEQUENT ASSESSMENT YEARS SCHEDULE of CUT TIMBER VALUES for MANAGED FOREST LAND — ASSESSMENT ACT — sec. 24 (9)
| SPECIES | ACCESSIBILITY | 2013 VALUE of CUT TIMBER by GRADE for VALUATION AREA: VANCOUVER (1) $ PER CUBIC METRE ($/m3) | |||||||||||||||
| B | C | D | E | F | G | H | I | J | K | L | M | U | X | Y | UNGRADED | ||
| FIR | CLASS 4 | 145.17 | 106.81 | 370.32 | 208.84 | 103.47 | 48.32 | 37.83 | 26.76 | 17.72 | 8.66 | 62.48 | |||||
| CLASS 5 | 142.15 | 103.79 | 367.30 | 205.82 | 100.45 | 45.30 | 34.81 | 23.74 | 14.70 | 5.64 | 59.46 | ||||||
| CLASS 6 | 139.12 | 100.76 | 364.27 | 202.79 | 97.42 | 42.27 | 31.78 | 20.71 | 11.67 | 2.61 | 56.43 | ||||||
| CEDAR | CLASS 4 | 235.84 | 192.32 | 132.17 | 78.37 | 90.29 | 120.82 | 91.41 | 56.71 | 29.49 | 14.57 | 1.00 | 93.09 | ||||
| CLASS 5 | 232.82 | 189.30 | 129.15 | 75.35 | 87.27 | 117.80 | 88.39 | 53.69 | 26.47 | 11.55 | 1.00 | 90.07 | |||||
| CLASS 6 | 229.79 | 186.27 | 126.12 | 72.32 | 84.24 | 114.77 | 85.36 | 50.66 | 23.44 | 8.52 | 1.00 | 87.04 | |||||
| HEMLOCK | CLASS 4 | 115.22 | 88.34 | 47.00 | 33.12 | 30.31 | 26.49 | 26.01 | 22.43 | 32.36 | |||||||
| CLASS 5 | 112.20 | 85.32 | 43.98 | 30.10 | 27.29 | 23.47 | 22.99 | 19.41 | 29.34 | ||||||||
| CLASS 6 | 109.17 | 82.29 | 40.95 | 27.07 | 24.26 | 20.44 | 19.96 | 16.38 | 26.31 | ||||||||
| SPRUCE | CLASS 4 | 350.57 | 304.05 | 227.32 | 197.20 | 113.93 | 43.59 | 32.38 | 26.77 | 24.81 | 19.55 | 72.88 | |||||
| CLASS 5 | 347.55 | 301.03 | 224.30 | 194.18 | 110.91 | 40.57 | 29.36 | 23.75 | 21.79 | 16.53 | 69.86 | ||||||
| CLASS 6 | 344.52 | 298.00 | 221.27 | 191.15 | 107.88 | 37.54 | 26.33 | 20.72 | 18.76 | 13.50 | 66.83 | ||||||
| BALSAM | CLASS 4 | 115.22 | 88.34 | 47.00 | 33.12 | 30.31 | 26.49 | 26.01 | 22.43 | 32.36 | |||||||
| CLASS 5 | 112.20 | 85.32 | 43.98 | 30.10 | 27.29 | 23.47 | 22.99 | 19.41 | 29.34 | ||||||||
| CLASS 6 | 109.17 | 82.29 | 40.95 | 27.07 | 24.26 | 20.44 | 19.96 | 16.38 | 26.31 | ||||||||
| CYPRESS | CLASS 4 | 370.32 | 238.43 | 132.33 | 84.84 | 68.62 | 34.73 | 43.99 | 43.99 | 1.00 | 77.77 | ||||||
| CLASS 5 | 367.30 | 235.41 | 129.31 | 81.82 | 65.60 | 31.71 | 40.97 | 40.97 | 1.00 | 74.75 | |||||||
| CLASS 6 | 364.27 | 232.38 | 126.28 | 78.79 | 62.57 | 28.68 | 37.94 | 37.94 | 1.00 | 71.72 | |||||||
| PINE | CLASS 4 | 33.14 | 60.41 | 48.51 | 34.27 | 33.92 | 20.87 | 14.84 | 6.47 | 30.26 | |||||||
| CLASS 5 | 30.12 | 57.39 | 45.49 | 31.25 | 30.90 | 17.85 | 11.82 | 3.45 | 27.24 | ||||||||
| CLASS 6 | 27.09 | 54.36 | 42.46 | 28.22 | 27.87 | 14.82 | 8.79 | 1.00 | 24.21 | ||||||||
| DECIDUOUS | CLASS 4 | 29.40 | 36.87 | ||||||||||||||
| CLASS 5 | 26.38 | 33.85 | |||||||||||||||
| CLASS 6 | 23.35 | 30.82 | |||||||||||||||
| OTHER SPECIES | CLASS 4 | 115.22 | 88.34 | 47.00 | 33.12 | 30.31 | 26.49 | 26.01 | 22.43 | 32.36 | |||||||
| CLASS 5 | 112.20 | 85.32 | 43.98 | 30.10 | 27.29 | 23.47 | 22.99 | 19.41 | 29.34 | ||||||||
| CLASS 6 | 109.17 | 82.29 | 40.95 | 27.07 | 24.26 | 20.44 | 19.96 | 16.38 | 26.31 | ||||||||
| CHRISTMAS TREES ($/TREE) | CLASS 4 | 2.50 | 2.50 | ||||||||||||||
| CLASS 5 | 2.25 | 2.25 | |||||||||||||||
| CLASS 6 | 2.00 | 2.00 | |||||||||||||||
| SPECIES | ACCESSIBILITY | 2013 VALUE of CUT TIMBER by GRADE for VALUATION AREA: WEST COAST (2) $ PER CUBIC METRE ($/m3) | |||||||||||||||
| B | C | D | E | F | G | H | I | J | K | L | M | U | X | Y | UNGRADED | ||
| FIR | CLASS 4 | 140.93 | 102.57 | 366.08 | 204.60 | 99.23 | 44.08 | 33.59 | 22.52 | 13.48 | 4.42 | 58.24 | |||||
| CLASS 5 | 137.91 | 99.55 | 363.06 | 201.58 | 96.21 | 41.06 | 30.57 | 19.50 | 10.46 | 1.40 | 55.22 | ||||||
| CLASS 6 | 134.89 | 96.53 | 360.04 | 198.56 | 93.19 | 38.04 | 27.55 | 16.48 | 7.44 | 1.00 | 52.20 | ||||||
| CEDAR | CLASS 4 | 231.60 | 188.08 | 127.93 | 74.13 | 86.05 | 116.58 | 87.17 | 52.47 | 25.25 | 10.33 | 1.00 | 88.85 | ||||
| CLASS 5 | 228.58 | 185.06 | 124.91 | 71.11 | 83.03 | 113.56 | 84.15 | 49.45 | 22.23 | 7.31 | 1.00 | 85.83 | |||||
| CLASS 6 | 225.56 | 182.04 | 121.89 | 68.09 | 80.01 | 110.54 | 81.13 | 46.43 | 19.21 | 4.29 | 1.00 | 82.81 | |||||
| HEMLOCK | CLASS 4 | 110.98 | 84.10 | 42.76 | 28.88 | 26.07 | 22.25 | 21.77 | 18.19 | 28.12 | |||||||
| CLASS 5 | 107.96 | 81.08 | 39.74 | 25.86 | 23.05 | 19.23 | 18.75 | 15.17 | 25.10 | ||||||||
| CLASS 6 | 104.94 | 78.06 | 36.72 | 22.84 | 20.03 | 16.21 | 15.73 | 12.15 | 22.08 | ||||||||
| SPRUCE | CLASS 4 | 346.33 | 299.81 | 223.08 | 192.96 | 109.69 | 39.35 | 28.14 | 22.53 | 20.57 | 15.31 | 68.64 | |||||
| CLASS 5 | 343.31 | 296.79 | 220.06 | 189.94 | 106.67 | 36.33 | 25.12 | 19.51 | 17.55 | 12.29 | 65.62 | ||||||
| CLASS 6 | 340.29 | 293.77 | 217.04 | 186.92 | 103.65 | 33.31 | 22.10 | 16.49 | 14.53 | 9.27 | 62.60 | ||||||
| BALSAM | CLASS 4 | 110.98 | 84.10 | 42.76 | 28.88 | 26.07 | 22.25 | 21.77 | 18.19 | 28.12 | |||||||
| CLASS 5 | 107.96 | 81.08 | 39.74 | 25.86 | 23.05 | 19.23 | 18.75 | 15.17 | 25.10 | ||||||||
| CLASS 6 | 104.94 | 78.06 | 36.72 | 22.84 | 20.03 | 16.21 | 15.73 | 12.15 | 22.08 | ||||||||
| CYPRESS | CLASS 4 | 366.08 | 234.19 | 128.09 | 80.60 | 64.38 | 30.49 | 39.75 | 1.00 | 73.53 | |||||||
| CLASS 5 | 363.06 | 231.17 | 125.07 | 77.58 | 61.36 | 27.47 | 36.73 | 1.00 | 70.51 | ||||||||
| CLASS 6 | 360.04 | 228.15 | 122.05 | 74.56 | 58.34 | 24.45 | 33.71 | 1.00 | 67.49 | ||||||||
| PINE | CLASS 4 | 28.90 | 56.17 | 44.27 | 30.03 | 29.68 | 16.63 | 10.60 | 2.23 | 26.02 | |||||||
| CLASS 5 | 25.88 | 53.15 | 41.25 | 27.01 | 26.66 | 13.61 | 7.58 | 1.00 | 23.00 | ||||||||
| CLASS 6 | 22.86 | 50.13 | 38.23 | 23.99 | 23.64 | 10.59 | 4.56 | 1.00 | 19.98 | ||||||||
| DECIDUOUS | CLASS 4 | 25.16 | 32.63 | ||||||||||||||
| CLASS 5 | 22.14 | 29.61 | |||||||||||||||
| CLASS 6 | 19.12 | 26.59 | |||||||||||||||
| OTHER SPECIES | CLASS 4 | 110.98 | 84.10 | 42.76 | 28.88 | 26.07 | 22.25 | 21.77 | 18.19 | 28.12 | |||||||
| CLASS 5 | 107.96 | 81.08 | 39.74 | 25.86 | 23.05 | 19.23 | 18.75 | 15.17 | 25.10 | ||||||||
| CLASS 6 | 104.94 | 78.06 | 36.72 | 22.84 | 20.03 | 16.21 | 15.73 | 12.15 | 22.08 | ||||||||
| CHRISTMAS TREES ($/TREE) | CLASS 4 | 2.50 | 2.50 | ||||||||||||||
| CLASS 5 | 2.25 | 2.25 | |||||||||||||||
| CLASS 6 | 2.00 | 2.00 | |||||||||||||||
| SPECIES | ACCESSIBILITY | 2013 VALUE of CUT TIMBER by GRADE for VALUATION AREA: MID COAST (3) $ PER CUBIC METRE ($/m3) | |||||||||||||||
| B | C | D | E | F | G | H | I | J | K | L | M | U | X | Y | UNGRADED | ||
| FIR | CLASS 4 | 138.91 | 100.55 | 364.06 | 202.58 | 97.21 | 42.06 | 31.57 | 20.50 | 11.46 | 2.40 | 56.22 | |||||
| CLASS 5 | 135.89 | 97.53 | 361.04 | 199.56 | 94.19 | 39.04 | 28.55 | 17.48 | 8.44 | 1.00 | 53.20 | ||||||
| CLASS 6 | 132.87 | 94.51 | 358.02 | 196.54 | 91.17 | 36.02 | 25.53 | 14.46 | 5.42 | 1.00 | 50.18 | ||||||
| CEDAR | CLASS 4 | 229.58 | 186.06 | 125.91 | 72.11 | 84.03 | 114.56 | 85.15 | 50.45 | 23.23 | 8.31 | 1.00 | 86.83 | ||||
| CLASS 5 | 226.56 | 183.04 | 122.89 | 69.09 | 81.01 | 111.54 | 82.13 | 47.43 | 20.21 | 5.29 | 1.00 | 83.81 | |||||
| CLASS 6 | 223.54 | 180.02 | 119.87 | 66.07 | 77.99 | 108.52 | 79.11 | 44.41 | 17.19 | 2.27 | 1.00 | 80.79 | |||||
| HEMLOCK | CLASS 4 | 108.96 | 82.08 | 40.74 | 26.86 | 24.05 | 20.23 | 19.75 | 16.17 | 26.10 | |||||||
| CLASS 5 | 105.94 | 79.06 | 37.72 | 23.84 | 21.03 | 17.21 | 16.73 | 13.15 | 23.08 | ||||||||
| CLASS 6 | 102.92 | 76.04 | 34.70 | 20.82 | 18.01 | 14.19 | 13.71 | 10.13 | 20.06 | ||||||||
| SPRUCE | CLASS 4 | 344.31 | 297.79 | 221.06 | 190.94 | 107.67 | 37.33 | 26.12 | 20.51 | 18.55 | 13.29 | 66.62 | |||||
| CLASS 5 | 341.29 | 294.77 | 218.04 | 187.92 | 104.65 | 34.31 | 23.10 | 17.49 | 15.53 | 10.27 | 63.60 | ||||||
| CLASS 6 | 338.27 | 291.75 | 215.02 | 184.90 | 101.63 | 31.29 | 20.08 | 14.47 | 12.51 | 7.25 | 60.58 | ||||||
| BALSAM | CLASS 4 | 108.96 | 82.08 | 40.74 | 26.86 | 24.05 | 20.23 | 19.75 | 16.17 | 26.10 | |||||||
| CLASS 5 | 105.94 | 79.06 | 37.72 | 23.84 | 21.03 | 17.21 | 16.73 | 13.15 | 23.08 | ||||||||
| CLASS 6 | 102.92 | 76.04 | 34.70 | 20.82 | 18.01 | 14.19 | 13.71 | 10.13 | 20.06 | ||||||||
| CYPRESS | CLASS 4 | 364.06 | 232.17 | 126.07 | 78.58 | 62.36 | 28.47 | 37.73 | 1.00 | 71.51 | |||||||
| CLASS 5 | 361.04 | 229.15 | 123.05 | 75.56 | 59.34 | 25.45 | 34.71 | 1.00 | 68.49 | ||||||||
| CLASS 6 | 358.02 | 226.13 | 120.03 | 72.54 | 56.32 | 22.43 | 31.69 | 1.00 | 65.47 | ||||||||
| PINE | CLASS 4 | 26.88 | 54.15 | 42.25 | 28.01 | 27.66 | 14.61 | 8.58 | 1.00 | 24.00 | |||||||
| CLASS 5 | 23.86 | 51.13 | 39.23 | 24.99 | 24.64 | 11.59 | 5.56 | 1.00 | 20.98 | ||||||||
| CLASS 6 | 20.84 | 48.11 | 36.21 | 21.97 | 21.62 | 8.57 | 2.54 | 1.00 | 17.96 | ||||||||
| DECIDUOUS | CLASS 4 | 23.14 | 30.61 | ||||||||||||||
| CLASS 5 | 20.12 | 27.59 | |||||||||||||||
| CLASS 6 | 17.10 | 24.57 | |||||||||||||||
| OTHER SPECIES | CLASS 4 | 108.96 | 82.08 | 40.74 | 26.86 | 24.05 | 20.23 | 19.75 | 16.17 | 26.10 | |||||||
| CLASS 5 | 105.94 | 79.06 | 37.72 | 23.84 | 21.03 | 17.21 | 16.73 | 13.15 | 23.08 | ||||||||
| CLASS 6 | 102.92 | 76.04 | 34.70 | 20.82 | 18.01 | 14.19 | 13.71 | 10.13 | 20.06 | ||||||||
| CHRISTMAS TREES ($/TREE) | CLASS 4 | 2.50 | 2.50 | ||||||||||||||
| CLASS 6 | 2.25 | 2.25 | |||||||||||||||
| CLASS 6 | 2.00 | 2.00 | |||||||||||||||
| SPECIES | ACCESSIBILITY | 2013 VALUE of CUT TIMBER by GRADE for VALUATION AREA: NORTH COAST (4) $ PER CUBIC METRE ($/m3) | |||||||||||||||
| B | C | D | E | F | G | H | I | J | K | L | M | U | X | Y | UNGRADED | ||
| FIR | CLASS 4 | 134.83 | 96.47 | 359.98 | 198.50 | 93.13 | 37.98 | 27.49 | 16.42 | 7.38 | 1.00 | 52.14 | |||||
| CLASS 5 | 131.81 | 93.45 | 356.96 | 195.48 | 90.11 | 34.96 | 24.47 | 13.40 | 4.36 | 1.00 | 49.12 | ||||||
| CLASS 6 | 128.79 | 90.43 | 353.94 | 192.46 | 87.09 | 31.94 | 21.45 | 10.38 | 1.34 | 1.00 | 46.10 | ||||||
| CEDAR | CLASS 4 | 225.50 | 181.98 | 121.83 | 68.03 | 79.95 | 110.48 | 81.07 | 46.37 | 19.15 | 4.23 | 1.00 | 82.75 | ||||
| CLASS 5 | 222.48 | 178.96 | 118.81 | 65.01 | 76.93 | 107.46 | 78.05 | 43.35 | 16.13 | 1.21 | 1.00 | 79.73 | |||||
| CLASS 6 | 219.46 | 175.94 | 115.79 | 61.99 | 73.91 | 104.44 | 75.03 | 40.33 | 13.11 | 1.00 | 1.00 | 76.71 | |||||
| HEMLOCK | CLASS 4 | 104.88 | 78.00 | 36.66 | 22.78 | 19.97 | 16.15 | 15.67 | 12.09 | 22.02 | |||||||
| CLASS 5 | 101.86 | 74.98 | 33.64 | 19.76 | 16.95 | 13.13 | 12.65 | 9.07 | 19.00 | ||||||||
| CLASS 6 | 98.84 | 71.96 | 30.62 | 16.74 | 13.93 | 10.11 | 9.63 | 6.05 | 15.98 | ||||||||
| SPRUCE | CLASS 4 | 340.23 | 293.71 | 216.98 | 186.86 | 103.59 | 33.25 | 22.04 | 16.43 | 14.47 | 9.21 | 62.54 | |||||
| CLASS 5 | 337.21 | 290.69 | 213.96 | 183.84 | 100.57 | 30.23 | 19.02 | 13.41 | 11.45 | 6.19 | 59.52 | ||||||
| CLASS 6 | 334.19 | 287.67 | 210.94 | 180.82 | 97.55 | 27.21 | 16.00 | 10.39 | 8.43 | 3.17 | 56.50 | ||||||
| BALSAM | CLASS 4 | 104.88 | 78.00 | 36.66 | 22.78 | 19.97 | 16.15 | 15.67 | 12.09 | 22.02 | |||||||
| CLASS 5 | 101.86 | 74.98 | 33.64 | 19.76 | 16.95 | 13.13 | 12.65 | 9.07 | 19.00 | ||||||||
| CLASS 6 | 98.84 | 71.96 | 30.62 | 16.74 | 13.93 | 10.11 | 9.63 | 6.05 | 15.98 | ||||||||
| CYPRESS | CLASS 4 | 359.98 | 228.09 | 121.99 | 74.50 | 58.28 | 24.39 | 33.65 | 1.00 | 67.43 | |||||||
| CLASS 5 | 356.96 | 225.07 | 118.97 | 71.48 | 55.26 | 21.37 | 30.63 | 1.00 | 64.41 | ||||||||
| CLASS 6 | 353.94 | 222.05 | 115.95 | 68.46 | 52.24 | 18.35 | 27.61 | 1.00 | 61.39 | ||||||||
| PINE | CLASS 4 | 22.80 | 50.07 | 38.17 | 23.93 | 23.58 | 10.53 | 4.50 | 1.00 | 19.92 | |||||||
| CLASS 5 | 19.78 | 47.05 | 35.15 | 20.91 | 20.56 | 7.51 | 1.48 | 1.00 | 16.90 | ||||||||
| CLASS 6 | 16.76 | 44.03 | 32.13 | 17.89 | 17.54 | 4.49 | 1.00 | 1.00 | 13.88 | ||||||||
| DECIDUOUS | CLASS 4 | 19.06 | 26.53 | ||||||||||||||
| CLASS 5 | 16.04 | 23.51 | |||||||||||||||
| CLASS 6 | 13.02 | 20.49 | |||||||||||||||
| OTHER SPECIES | CLASS 4 | 104.88 | 78.00 | 36.66 | 22.78 | 19.97 | 16.15 | 15.67 | 12.09 | 22.02 | |||||||
| CLASS 5 | 101.86 | 74.98 | 33.64 | 19.76 | 16.95 | 13.13 | 12.65 | 9.07 | 19.00 | ||||||||
| CLASS 6 | 98.84 | 71.96 | 30.62 | 16.74 | 13.93 | 10.11 | 9.63 | 6.05 | 15.98 | ||||||||
| CHRISTMAS TREES ($/TREE) | CLASS 4 | 2.50 | 2.50 | ||||||||||||||
| CLASS 5 | 2.25 | 2.25 | |||||||||||||||
| CLASS 6 | 2.00 | 2.00 | |||||||||||||||
Schedule C BEFORE amended by BC Reg 234/2014, effective December 10, 2014.
[en. B.C. Reg. 251/2013, s. 2.]
2014 and SUBSEQUENT ASSESSMENT YEARS SCHEDULE of CUT TIMBER VALUES for MANAGED FOREST LAND — ASSESSMENT ACT — sec. 24 (9)
| SPECIES | ACCESSIBILITY | 2014 VALUE of CUT TIMBER by GRADE for VALUATION AREA: VANCOUVER (1) $ PER CUBIC METRE ($/m3) | |||||||||||||||
| B | C | D | E | F | G | H | I | J | K | L | M | U | X | Y | UNGRADED | ||
| FIR | CLASS 4 | 164.07 | 107.61 | 316.37 | 219.82 | 96.35 | 45.77 | 36.60 | 20.28 | 14.42 | 8.10 | 67.96 | |||||
| CLASS 5 | 160.96 | 104.50 | 313.26 | 216.71 | 93.24 | 42.66 | 33.49 | 17.17 | 11.31 | 4.99 | 64.85 | ||||||
| CLASS 6 | 157.85 | 101.39 | 310.15 | 213.60 | 90.13 | 39.55 | 30.38 | 14.06 | 8.20 | 1.88 | 61.74 | ||||||
| CEDAR | CLASS 4 | 255.22 | 232.63 | 149.49 | 101.33 | 91.53 | 144.75 | 113.34 | 73.34 | 35.35 | 17.66 | 1.00 | 114.21 | ||||
| CLASS 5 | 252.11 | 229.52 | 146.38 | 98.22 | 88.42 | 141.64 | 110.23 | 70.23 | 32.24 | 14.55 | 1.00 | 111.10 | |||||
| CLASS 6 | 249.00 | 226.41 | 143.27 | 95.11 | 85.31 | 138.53 | 107.12 | 67.12 | 29.13 | 11.44 | 1.00 | 107.99 | |||||
| HEMLOCK | CLASS 4 | 115.20 | 84.06 | 42.74 | 28.25 | 27.41 | 19.38 | 19.93 | 19.35 | 27.21 | |||||||
| CLASS 5 | 112.09 | 80.95 | 39.63 | 25.14 | 24.30 | 16.27 | 16.82 | 16.24 | 24.10 | ||||||||
| CLASS 6 | 108.98 | 77.84 | 36.52 | 22.03 | 21.19 | 13.16 | 13.71 | 13.13 | 20.99 | ||||||||
| SPRUCE | CLASS 4 | 440.72 | 390.22 | 288.65 | 260.47 | 150.52 | 47.86 | 20.96 | 20.31 | 20.00 | 18.65 | 73.88 | |||||
| CLASS 5 | 437.61 | 387.11 | 285.54 | 257.36 | 147.41 | 44.75 | 17.85 | 17.20 | 16.89 | 15.54 | 70.77 | ||||||
| CLASS 6 | 434.50 | 384.00 | 282.43 | 254.25 | 144.30 | 41.64 | 14.74 | 14.09 | 13.78 | 12.43 | 67.66 | ||||||
| BALSAM | CLASS 4 | 115.20 | 84.06 | 42.74 | 28.25 | 27.41 | 19.38 | 19.93 | 19.35 | 27.21 | |||||||
| CLASS 5 | 112.09 | 80.95 | 39.63 | 25.14 | 24.30 | 16.27 | 16.82 | 16.24 | 24.10 | ||||||||
| CLASS 6 | 108.98 | 77.84 | 36.52 | 22.03 | 21.19 | 13.16 | 13.71 | 13.13 | 20.99 | ||||||||
| CYPRESS | CLASS 4 | 405.09 | 250.79 | 131.89 | 82.56 | 65.26 | 33.17 | 37.04 | 1.00 | 84.85 | |||||||
| CLASS 5 | 401.98 | 247.68 | 128.78 | 79.45 | 62.15 | 30.06 | 33.93 | 1.00 | 81.74 | ||||||||
| CLASS 6 | 398.87 | 244.57 | 125.67 | 76.34 | 59.04 | 26.95 | 30.82 | 1.00 | 78.63 | ||||||||
| PINE | CLASS 4 | 72.17 | 60.96 | 46.17 | 36.95 | 31.13 | 14.35 | 11.37 | 8.21 | 28.90 | |||||||
| CLASS 5 | 69.06 | 57.85 | 43.06 | 33.84 | 28.02 | 11.24 | 8.26 | 5.10 | 25.79 | ||||||||
| CLASS 6 | 65.95 | 54.74 | 39.95 | 30.73 | 24.91 | 8.13 | 5.15 | 1.99 | 22.68 | ||||||||
| DECIDUOUS | CLASS 4 | 36.44 | 42.78 | ||||||||||||||
| CLASS 5 | 33.33 | 39.67 | |||||||||||||||
| CLASS 6 | 30.22 | 36.56 | |||||||||||||||
| OTHER SPECIES | CLASS 4 | 115.20 | 84.06 | 42.74 | 28.25 | 27.41 | 19.38 | 19.93 | 19.35 | 27.21 | |||||||
| CLASS 5 | 112.09 | 80.95 | 39.63 | 25.14 | 24.30 | 16.27 | 16.82 | 16.24 | 24.10 | ||||||||
| CLASS 6 | 108.98 | 77.84 | 36.52 | 22.03 | 21.19 | 13.16 | 13.71 | 13.13 | 20.99 | ||||||||
| CHRISTMAS TREES ($/TREE) | CLASS 4 | 2.50 | |||||||||||||||
| CLASS 5 | 2.25 | ||||||||||||||||
| CLASS 6 | 2.00 | ||||||||||||||||
| SPECIES | ACCESSIBILITY | 2014 VALUE of CUT TIMBER by GRADE for VALUATION AREA: WEST COAST (2) $ PER CUBIC METRE ($/m3) | |||||||||||||||
| B | C | D | E | F | G | H | I | J | K | L | M | U | X | Y | UNGRADED | ||
| FIR | CLASS 4 | 159.71 | 103.25 | 312.01 | 215.46 | 91.99 | 41.41 | 32.24 | 15.92 | 10.06 | 3.74 | 63.60 | |||||
| CLASS 5 | 156.60 | 100.14 | 308.90 | 212.35 | 88.88 | 38.30 | 29.13 | 12.81 | 6.95 | 1.00 | 60.49 | ||||||
| CLASS 6 | 153.49 | 97.03 | 305.79 | 209.24 | 85.77 | 35.19 | 26.02 | 9.70 | 3.84 | 1.00 | 57.38 | ||||||
| CEDAR | CLASS 4 | 250.86 | 228.27 | 145.13 | 96.97 | 87.17 | 140.39 | 108.98 | 68.98 | 30.99 | 13.30 | 1.00 | 109.85 | ||||
| CLASS 5 | 247.75 | 225.16 | 142.02 | 93.86 | 84.06 | 137.28 | 105.87 | 65.87 | 27.88 | 10.19 | 1.00 | 106.74 | |||||
| CLASS 6 | 244.64 | 222.05 | 138.91 | 90.75 | 80.95 | 134.17 | 102.76 | 62.76 | 24.77 | 7.08 | 1.00 | 103.63 | |||||
| HEMLOCK | CLASS 4 | 110.84 | 79.70 | 38.38 | 23.89 | 23.05 | 15.02 | 15.57 | 14.99 | 22.85 | |||||||
| CLASS 5 | 107.73 | 76.59 | 35.27 | 20.78 | 19.94 | 11.91 | 12.46 | 11.88 | 19.74 | ||||||||
| CLASS 6 | 104.62 | 73.48 | 32.16 | 17.67 | 16.83 | 8.80 | 9.35 | 8.77 | 16.63 | ||||||||
| SPRUCE | CLASS 4 | 436.36 | 385.86 | 284.29 | 256.11 | 146.16 | 43.50 | 16.60 | 15.95 | 15.64 | 14.29 | 69.52 | |||||
| CLASS 5 | 433.25 | 382.75 | 281.18 | 253.00 | 143.05 | 40.39 | 13.49 | 12.84 | 12.53 | 11.18 | 66.41 | ||||||
| CLASS 6 | 430.14 | 379.64 | 278.07 | 249.89 | 139.94 | 37.28 | 10.38 | 9.73 | 9.42 | 8.07 | 63.30 | ||||||
| BALSAM | CLASS 4 | 110.84 | 79.70 | 38.38 | 23.89 | 23.05 | 15.02 | 15.57 | 14.99 | 22.85 | |||||||
| CLASS 5 | 107.73 | 76.59 | 35.27 | 20.78 | 19.94 | 11.91 | 12.46 | 11.88 | 19.74 | ||||||||
| CLASS 6 | 104.62 | 73.48 | 32.16 | 17.67 | 16.83 | 8.80 | 9.35 | 8.77 | 16.63 | ||||||||
| CYPRESS | CLASS 4 | 400.73 | 246.43 | 127.53 | 78.20 | 60.90 | 28.81 | 32.68 | 1.00 | 80.49 | |||||||
| CLASS 5 | 397.62 | 243.32 | 124.42 | 75.09 | 57.79 | 25.70 | 29.57 | 1.00 | 77.38 | ||||||||
| CLASS 6 | 394.51 | 240.21 | 121.31 | 71.98 | 54.68 | 22.59 | 26.46 | 1.00 | 74.27 | ||||||||
| PINE | CLASS 4 | 67.81 | 56.60 | 41.81 | 32.59 | 26.77 | 9.99 | 7.01 | 3.85 | 24.54 | |||||||
| CLASS 5 | 64.70 | 53.49 | 38.70 | 29.48 | 23.66 | 6.88 | 3.90 | 1.00 | 21.43 | ||||||||
| CLASS 6 | 61.59 | 50.38 | 35.59 | 26.37 | 20.55 | 3.77 | 1.00 | 1.00 | 18.32 | ||||||||
| DECIDUOUS | CLASS 4 | 32.08 | 38.42 | ||||||||||||||
| CLASS 5 | 28.97 | 35.31 | |||||||||||||||
| CLASS 6 | 25.86 | 32.20 | |||||||||||||||
| OTHER SPECIES | CLASS 4 | 110.84 | 79.70 | 38.38 | 23.89 | 23.05 | 15.02 | 15.57 | 14.99 | 22.85 | |||||||
| CLASS 5 | 107.73 | 76.59 | 35.27 | 20.78 | 19.94 | 11.91 | 12.46 | 11.88 | 19.74 | ||||||||
| CLASS 6 | 104.62 | 73.48 | 32.16 | 17.67 | 16.83 | 8.80 | 9.35 | 8.77 | 16.63 | ||||||||
| CHRISTMAS TREES ($/TREE) | CLASS 4 | 2.50 | |||||||||||||||
| CLASS 5 | 2.25 | ||||||||||||||||
| CLASS 6 | 2.00 | ||||||||||||||||
| SPECIES | ACCESSIBILITY | 2014 VALUE of CUT TIMBER by GRADE for VALUATION AREA: MID COAST (3) $ PER CUBIC METRE ($/m3) | |||||||||||||||
| B | C | D | E | F | G | H | I | J | K | L | M | U | X | Y | UNGRADED | ||
| FIR | CLASS 4 | 157.63 | 101.17 | 309.93 | 213.38 | 89.91 | 39.33 | 30.16 | 13.84 | 7.98 | 1.66 | 61.52 | |||||
| CLASS 5 | 154.52 | 98.06 | 306.82 | 210.27 | 86.80 | 36.22 | 27.05 | 10.73 | 4.87 | 1.00 | 58.41 | ||||||
| CLASS 6 | 151.41 | 94.95 | 303.71 | 207.16 | 83.69 | 33.11 | 23.94 | 7.62 | 1.76 | 1.00 | 55.30 | ||||||
| CEDAR | CLASS 4 | 248.78 | 226.19 | 143.05 | 94.89 | 85.09 | 138.31 | 106.90 | 66.90 | 28.91 | 11.22 | 1.00 | 107.77 | ||||
| CLASS 5 | 245.67 | 223.08 | 139.94 | 91.78 | 81.98 | 135.20 | 103.79 | 63.79 | 25.80 | 8.11 | 1.00 | 104.66 | |||||
| CLASS 6 | 242.56 | 219.97 | 136.83 | 88.67 | 78.87 | 132.09 | 100.68 | 60.68 | 22.69 | 5.00 | 1.00 | 101.55 | |||||
| HEMLOCK | CLASS 4 | 108.76 | 77.62 | 36.30 | 21.81 | 20.97 | 12.94 | 13.49 | 12.91 | 20.77 | |||||||
| CLASS 5 | 105.65 | 74.51 | 33.19 | 18.70 | 17.86 | 9.83 | 10.38 | 9.80 | 17.66 | ||||||||
| CLASS 6 | 102.54 | 71.40 | 30.08 | 15.59 | 14.75 | 6.72 | 7.27 | 6.69 | 14.55 | ||||||||
| SPRUCE | CLASS 4 | 434.28 | 383.78 | 282.21 | 254.03 | 144.08 | 41.42 | 14.52 | 13.87 | 13.56 | 12.21 | 67.44 | |||||
| CLASS 5 | 431.17 | 380.67 | 279.10 | 250.92 | 140.97 | 38.31 | 11.41 | 10.76 | 10.45 | 9.10 | 64.33 | ||||||
| CLASS 6 | 428.06 | 377.56 | 275.99 | 247.81 | 137.86 | 35.20 | 8.30 | 7.65 | 7.34 | 5.99 | 61.22 | ||||||
| BALSAM | CLASS 4 | 108.76 | 77.62 | 36.30 | 21.81 | 20.97 | 12.94 | 13.49 | 12.91 | 20.77 | |||||||
| CLASS 5 | 105.65 | 74.51 | 33.19 | 18.70 | 17.86 | 9.83 | 10.38 | 9.80 | 17.66 | ||||||||
| CLASS 6 | 102.54 | 71.40 | 30.08 | 15.59 | 14.75 | 6.72 | 7.27 | 6.69 | 14.55 | ||||||||
| CYPRESS | CLASS 4 | 398.65 | 244.35 | 125.45 | 76.12 | 58.82 | 26.73 | 30.60 | 1.00 | 78.41 | |||||||
| CLASS 5 | 395.54 | 241.24 | 122.34 | 73.01 | 55.71 | 23.62 | 27.49 | 1.00 | 75.30 | ||||||||
| CLASS 6 | 392.43 | 238.13 | 119.23 | 69.90 | 52.60 | 20.51 | 24.38 | 1.00 | 72.19 | ||||||||
| PINE | CLASS 4 | 65.73 | 54.52 | 39.73 | 30.51 | 24.69 | 7.91 | 4.93 | 1.77 | 22.46 | |||||||
| CLASS 5 | 62.62 | 51.41 | 36.62 | 27.40 | 21.58 | 4.80 | 1.82 | 1.00 | 19.35 | ||||||||
| CLASS 6 | 59.51 | 48.30 | 33.51 | 24.29 | 18.47 | 1.69 | 1.00 | 1.00 | 16.24 | ||||||||
| DECIDUOUS | CLASS 4 | 30.00 | 36.34 | ||||||||||||||
| CLASS 5 | 26.89 | 33.23 | |||||||||||||||
| CLASS 6 | 23.78 | 30.12 | |||||||||||||||
| OTHER SPECIES | CLASS 4 | 108.76 | 77.62 | 36.30 | 21.81 | 20.97 | 12.94 | 13.49 | 12.91 | 20.77 | |||||||
| CLASS 5 | 105.65 | 74.51 | 33.19 | 18.70 | 17.86 | 9.83 | 10.38 | 9.80 | 17.66 | ||||||||
| CLASS 6 | 102.54 | 71.40 | 30.08 | 15.59 | 14.75 | 6.72 | 7.27 | 6.69 | 14.55 | ||||||||
| CHRISTMAS TREES ($/TREE) | CLASS 4 | 2.50 | |||||||||||||||
| CLASS 6 | 2.25 | ||||||||||||||||
| CLASS 6 | 2.00 | ||||||||||||||||
| SPECIES | ACCESSIBILITY | 2014 VALUE of CUT TIMBER by GRADE for VALUATION AREA: NORTH COAST (4) $ PER CUBIC METRE ($/m3) | |||||||||||||||
| B | C | D | E | F | G | H | I | J | K | L | M | U | X | Y | UNGRADED | ||
| FIR | CLASS 4 | 153.44 | 96.98 | 305.74 | 209.19 | 85.72 | 35.14 | 25.97 | 9.65 | 3.79 | 1.00 | 57.33 | |||||
| CLASS 5 | 150.33 | 93.87 | 302.63 | 206.08 | 82.61 | 32.03 | 22.86 | 6.54 | 1.00 | 1.00 | 54.22 | ||||||
| CLASS 6 | 147.22 | 90.76 | 299.52 | 202.97 | 79.50 | 28.92 | 19.75 | 3.43 | 1.00 | 1.00 | 51.11 | ||||||
| CEDAR | CLASS 4 | 244.59 | 222.00 | 138.86 | 90.70 | 80.90 | 134.12 | 102.71 | 62.71 | 24.72 | 7.03 | 1.00 | 103.58 | ||||
| CLASS 5 | 241.48 | 218.89 | 135.75 | 87.59 | 77.79 | 131.01 | 99.60 | 59.60 | 21.61 | 3.92 | 1.00 | 100.47 | |||||
| CLASS 6 | 238.37 | 215.78 | 132.64 | 84.48 | 74.68 | 127.90 | 96.49 | 56.49 | 18.50 | 1.00 | 1.00 | 97.36 | |||||
| HEMLOCK | CLASS 4 | 104.57 | 73.43 | 32.11 | 17.62 | 16.78 | 8.75 | 9.30 | 8.72 | 16.58 | |||||||
| CLASS 5 | 101.46 | 70.32 | 29.00 | 14.51 | 13.67 | 5.64 | 6.19 | 5.61 | 13.47 | ||||||||
| CLASS 6 | 98.35 | 67.21 | 25.89 | 11.40 | 10.56 | 2.53 | 3.08 | 2.50 | 10.36 | ||||||||
| SPRUCE | CLASS 4 | 430.09 | 379.59 | 278.02 | 249.84 | 139.89 | 37.23 | 10.33 | 9.68 | 9.37 | 8.02 | 63.25 | |||||
| CLASS 5 | 426.98 | 376.48 | 274.91 | 246.73 | 136.78 | 34.12 | 7.22 | 6.57 | 6.26 | 4.91 | 60.14 | ||||||
| CLASS 6 | 423.87 | 373.37 | 271.80 | 243.62 | 133.67 | 31.01 | 4.11 | 3.46 | 3.15 | 1.80 | 57.03 | ||||||
| BALSAM | CLASS 4 | 104.57 | 73.43 | 32.11 | 17.62 | 16.78 | 8.75 | 9.30 | 8.72 | 16.58 | |||||||
| CLASS 5 | 101.46 | 70.32 | 29.00 | 14.51 | 13.67 | 5.64 | 6.19 | 5.61 | 13.47 | ||||||||
| CLASS 6 | 98.35 | 67.21 | 25.89 | 11.40 | 10.56 | 2.53 | 3.08 | 2.50 | 10.36 | ||||||||
| CYPRESS | CLASS 4 | 394.46 | 240.16 | 121.26 | 71.93 | 54.63 | 22.54 | 26.41 | 1.00 | 74.22 | |||||||
| CLASS 5 | 391.35 | 237.05 | 118.15 | 68.82 | 51.52 | 19.43 | 23.30 | 1.00 | 71.11 | ||||||||
| CLASS 6 | 388.24 | 233.94 | 115.04 | 65.71 | 48.41 | 16.32 | 20.19 | 1.00 | 68.00 | ||||||||
| PINE | CLASS 4 | 61.54 | 50.33 | 35.54 | 26.32 | 20.50 | 3.72 | 1.00 | 1.00 | 18.27 | |||||||
| CLASS 5 | 58.43 | 47.22 | 32.43 | 23.21 | 17.39 | 1.00 | 1.00 | 1.00 | 15.16 | ||||||||
| CLASS 6 | 55.32 | 44.11 | 29.32 | 20.10 | 14.28 | 1.00 | 1.00 | 1.00 | 12.05 | ||||||||
| DECIDUOUS | CLASS 4 | 25.81 | 32.15 | ||||||||||||||
| CLASS 5 | 22.70 | 29.04 | |||||||||||||||
| CLASS 6 | 19.59 | 25.93 | |||||||||||||||
| OTHER SPECIES | CLASS 4 | 104.57 | 73.43 | 32.11 | 17.62 | 16.78 | 8.75 | 9.30 | 8.72 | 16.58 | |||||||
| CLASS 5 | 101.46 | 70.32 | 29.00 | 14.51 | 13.67 | 5.64 | 6.19 | 5.61 | 13.47 | ||||||||
| CLASS 6 | 98.35 | 67.21 | 25.89 | 11.40 | 10.56 | 2.53 | 3.08 | 2.50 | 10.36 | ||||||||
| CHRISTMAS TREES ($/TREE) | CLASS 4 | 2.50 | |||||||||||||||
| CLASS 5 | 2.25 | ||||||||||||||||
| CLASS 6 | 2.00 | ||||||||||||||||
Schedule C BEFORE amended by BC Reg 265/2015, effective December 23, 2015.
[en. B.C. Reg. 234/2014, s. 2.]
2015 and SUBSEQUENT ASSESSMENT YEARS SCHEDULE of CUT TIMBER VALUES for MANAGED FOREST LAND — ASSESSMENT ACT — sec. 24 (9)
| SPECIES | ACCESSIBILITY | 2015 VALUE of CUT TIMBER by GRADE for VALUATION AREA: VANCOUVER (1) $ PER CUBIC METRE ($/m3) | |||||||||||||||
| B | C | D | E | F | G | H | I | J | K | L | M | U | X | Y | UNGRADED | ||
| FIR | CLASS 4 | 145.40 | 112.01 | 323.87 | 211.11 | 109.54 | 57.59 | 50.98 | 26.48 | 14.82 | 12.12 | 76.35 | |||||
| CLASS 5 | 142.30 | 108.91 | 320.77 | 208.01 | 106.44 | 54.49 | 47.88 | 23.38 | 11.72 | 9.02 | 73.25 | ||||||
| CLASS 6 | 139.19 | 105.80 | 317.66 | 204.90 | 103.33 | 51.38 | 44.77 | 20.27 | 8.61 | 5.91 | 70.14 | ||||||
| CEDAR | CLASS 4 | 285.86 | 239.62 | 157.35 | 114.55 | 113.51 | 155.98 | 116.48 | 75.97 | 51.98 | 22.82 | 1.00 | 124.45 | ||||
| CLASS 5 | 282.76 | 236.52 | 154.25 | 111.45 | 110.41 | 152.88 | 113.38 | 72.87 | 48.88 | 19.72 | 1.00 | 121.35 | |||||
| CLASS 6 | 279.65 | 233.41 | 151.14 | 108.34 | 107.30 | 149.77 | 110.27 | 69.76 | 45.77 | 16.61 | 1.00 | 118.24 | |||||
| HEMLOCK | CLASS 4 | 117.86 | 89.27 | 48.97 | 30.94 | 31.74 | 20.47 | 19.96 | 19.78 | 30.59 | |||||||
| CLASS 5 | 114.76 | 86.17 | 45.87 | 27.84 | 28.64 | 17.37 | 16.86 | 16.68 | 27.49 | ||||||||
| CLASS 6 | 111.65 | 83.06 | 42.76 | 24.73 | 25.53 | 14.26 | 13.75 | 13.57 | 24.38 | ||||||||
| SPRUCE | CLASS 4 | 523.30 | 440.83 | 420.72 | 280.64 | 156.31 | 61.52 | 27.57 | 20.43 | 19.75 | 19.43 | 117.83 | |||||
| CLASS 5 | 520.20 | 437.73 | 417.62 | 277.54 | 153.21 | 58.42 | 24.47 | 17.33 | 16.65 | 16.33 | 114.73 | ||||||
| CLASS 6 | 517.09 | 434.62 | 414.51 | 274.43 | 150.10 | 55.31 | 21.36 | 14.22 | 13.54 | 13.22 | 111.62 | ||||||
| BALSAM | CLASS 4 | 117.86 | 89.27 | 48.97 | 30.94 | 31.74 | 20.47 | 19.96 | 19.78 | 30.59 | |||||||
| CLASS 5 | 114.76 | 86.17 | 45.87 | 27.84 | 28.64 | 17.37 | 16.86 | 16.68 | 27.49 | ||||||||
| CLASS 6 | 111.65 | 83.06 | 42.76 | 24.73 | 25.53 | 14.26 | 13.75 | 13.57 | 24.38 | ||||||||
| CYPRESS | CLASS 4 | 347.91 | 226.06 | 103.28 | 54.39 | 45.23 | 19.67 | 22.74 | 1.00 | 61.04 | |||||||
| CLASS 5 | 344.81 | 222.96 | 100.18 | 51.29 | 42.13 | 16.57 | 19.64 | 1.00 | 57.94 | ||||||||
| CLASS 6 | 341.70 | 219.85 | 97.07 | 48.18 | 39.02 | 13.46 | 16.53 | 1.00 | 54.83 | ||||||||
| PINE | CLASS 4 | 56.15 | 48.28 | 50.14 | 38.37 | 36.27 | 15.51 | 14.19 | 6.35 | 32.68 | |||||||
| CLASS 5 | 53.05 | 45.18 | 47.04 | 35.27 | 33.17 | 12.41 | 11.09 | 3.25 | 29.58 | ||||||||
| CLASS 6 | 49.94 | 42.07 | 43.93 | 32.16 | 30.06 | 9.30 | 7.98 | 1.00 | 26.47 | ||||||||
| DECIDUOUS | CLASS 4 | 21.15 | 9.92 | 19.82 | |||||||||||||
| CLASS 5 | 18.04 | 6.81 | 16.71 | ||||||||||||||
| CLASS 6 | 14.94 | 3.70 | 13.60 | ||||||||||||||
| OTHER SPECIES | CLASS 4 | 117.86 | 89.27 | 48.97 | 30.94 | 31.74 | 20.47 | 19.96 | 19.78 | 30.59 | |||||||
| CLASS 5 | 114.76 | 86.17 | 45.87 | 27.84 | 28.64 | 17.37 | 16.86 | 16.68 | 27.49 | ||||||||
| CLASS 6 | 111.65 | 83.06 | 42.76 | 24.73 | 25.53 | 14.26 | 13.75 | 13.57 | 24.38 | ||||||||
| CHRISTMAS TREES ($/TREE) | CLASS 4 | 2.50 | |||||||||||||||
| CLASS 5 | 2.25 | ||||||||||||||||
| CLASS 6 | 2.00 | ||||||||||||||||
| SPECIES | ACCESSIBILITY | 2015 VALUE of CUT TIMBER by GRADE for VALUATION AREA: WEST COAST (2) $ PER CUBIC METRE ($/m3) | |||||||||||||||
| B | C | D | E | F | G | H | I | J | K | L | M | U | X | Y | UNGRADED | ||
| FIR | CLASS 4 | 141.05 | 107.66 | 319.52 | 206.76 | 105.19 | 53.24 | 46.63 | 22.13 | 10.47 | 7.77 | 71.99 | |||||
| CLASS 5 | 137.94 | 104.55 | 316.41 | 203.65 | 102.08 | 50.13 | 43.52 | 19.02 | 7.36 | 4.66 | 68.88 | ||||||
| CLASS 6 | 134.83 | 101.44 | 313.30 | 200.54 | 98.97 | 47.02 | 40.41 | 15.91 | 4.25 | 1.55 | 65.78 | ||||||
| CEDAR | CLASS 4 | 281.50 | 235.26 | 152.99 | 110.19 | 109.15 | 151.62 | 112.12 | 71.61 | 47.62 | 18.46 | 1.00 | 120.09 | ||||
| CLASS 5 | 278.39 | 232.15 | 149.88 | 107.08 | 106.04 | 148.51 | 109.01 | 68.50 | 44.51 | 15.35 | 1.00 | 116.98 | |||||
| CLASS 6 | 275.29 | 229.05 | 146.78 | 103.98 | 102.94 | 145.41 | 105.91 | 65.40 | 41.41 | 12.25 | 1.00 | 113.88 | |||||
| HEMLOCK | CLASS 4 | 113.50 | 84.91 | 44.61 | 26.58 | 27.38 | 16.11 | 15.60 | 15.42 | 26.23 | |||||||
| CLASS 5 | 110.39 | 81.80 | 41.50 | 23.47 | 24.27 | 13.00 | 12.49 | 12.31 | 23.12 | ||||||||
| CLASS 6 | 107.29 | 78.70 | 38.40 | 20.37 | 21.17 | 9.90 | 9.39 | 9.21 | 20.02 | ||||||||
| SPRUCE | CLASS 4 | 518.94 | 436.47 | 416.36 | 276.28 | 151.95 | 57.16 | 23.21 | 16.07 | 15.39 | 15.07 | 113.47 | |||||
| CLASS 5 | 515.83 | 433.36 | 413.25 | 273.17 | 148.84 | 54.05 | 20.10 | 12.96 | 12.28 | 11.96 | 110.36 | ||||||
| CLASS 6 | 512.73 | 430.26 | 410.15 | 270.07 | 145.74 | 50.95 | 17.00 | 9.86 | 9.18 | 8.86 | 107.26 | ||||||
| BALSAM | CLASS 4 | 113.50 | 84.91 | 44.61 | 26.58 | 27.38 | 16.11 | 15.60 | 15.42 | 26.23 | |||||||
| CLASS 5 | 110.39 | 81.80 | 41.50 | 23.47 | 24.27 | 13.00 | 12.49 | 12.31 | 23.12 | ||||||||
| CLASS 6 | 107.29 | 78.70 | 38.40 | 20.37 | 21.17 | 9.90 | 9.39 | 9.21 | 20.02 | ||||||||
| CYPRESS | CLASS 4 | 343.55 | 221.70 | 98.92 | 50.03 | 40.87 | 15.31 | 18.38 | 1.00 | 56.68 | |||||||
| CLASS 5 | 340.44 | 218.59 | 95.81 | 46.92 | 37.76 | 12.20 | 15.27 | 1.00 | 53.57 | ||||||||
| CLASS 6 | 337.34 | 215.49 | 92.71 | 43.82 | 34.66 | 9.10 | 12.17 | 1.00 | 50.47 | ||||||||
| PINE | CLASS 4 | 51.79 | 43.92 | 45.78 | 34.01 | 31.91 | 11.15 | 9.83 | 1.99 | 28.32 | |||||||
| CLASS 5 | 48.68 | 40.81 | 42.67 | 30.90 | 28.80 | 8.04 | 6.72 | 1.00 | 25.21 | ||||||||
| CLASS 6 | 45.58 | 37.71 | 39.57 | 27.80 | 25.70 | 4.94 | 3.62 | 1.00 | 22.11 | ||||||||
| DECIDUOUS | CLASS 4 | 16.79 | 5.56 | 34.58 | |||||||||||||
| CLASS 5 | 13.68 | 2.45 | 31.47 | ||||||||||||||
| CLASS 6 | 10.58 | 1.00 | 28.37 | ||||||||||||||
| OTHER SPECIES | CLASS 4 | 113.50 | 84.91 | 44.61 | 26.58 | 27.38 | 16.11 | 15.60 | 15.42 | 26.23 | |||||||
| CLASS 5 | 110.39 | 81.80 | 41.50 | 23.47 | 24.27 | 13.00 | 12.49 | 12.31 | 23.12 | ||||||||
| CLASS 6 | 107.29 | 78.70 | 38.40 | 20.37 | 21.17 | 9.90 | 9.39 | 9.21 | 20.02 | ||||||||
| CHRISTMAS TREES ($/TREE) | CLASS 4 | 2.50 | |||||||||||||||
| CLASS 5 | 2.25 | ||||||||||||||||
| CLASS 6 | 2.00 | ||||||||||||||||
| SPECIES | ACCESSIBILITY | 2015 VALUE of CUT TIMBER by GRADE for VALUATION AREA: MID COAST (3) $ PER CUBIC METRE ($/m3) | |||||||||||||||
| B | C | D | E | F | G | H | I | J | K | L | M | U | X | Y | UNGRADED | ||
| FIR | CLASS 4 | 138.96 | 105.57 | 317.43 | 204.67 | 103.10 | 51.15 | 44.54 | 20.04 | 8.38 | 5.68 | 69.91 | |||||
| CLASS 5 | 135.85 | 102.46 | 314.32 | 201.56 | 99.99 | 48.04 | 41.43 | 16.93 | 5.27 | 2.57 | 66.80 | ||||||
| CLASS 6 | 132.75 | 99.36 | 311.22 | 198.46 | 96.89 | 44.94 | 38.33 | 13.83 | 2.17 | 1.00 | 63.70 | ||||||
| CEDAR | CLASS 4 | 279.42 | 233.18 | 150.91 | 108.11 | 107.07 | 149.54 | 110.04 | 69.53 | 45.54 | 16.38 | 1.00 | 118.01 | ||||
| CLASS 5 | 276.31 | 230.07 | 147.80 | 105.00 | 103.96 | 146.43 | 106.93 | 66.42 | 42.43 | 13.27 | 1.00 | 114.90 | |||||
| CLASS 6 | 273.21 | 226.97 | 144.70 | 101.90 | 100.86 | 143.33 | 103.83 | 63.32 | 39.33 | 10.17 | 1.00 | 111.80 | |||||
| HEMLOCK | CLASS 4 | 111.42 | 82.83 | 42.53 | 24.50 | 25.30 | 14.03 | 13.52 | 13.34 | 24.15 | |||||||
| CLASS 5 | 108.31 | 79.72 | 39.42 | 21.39 | 22.19 | 10.92 | 10.41 | 10.23 | 21.04 | ||||||||
| CLASS 6 | 105.21 | 76.62 | 36.32 | 18.29 | 19.09 | 7.82 | 7.31 | 7.13 | 17.94 | ||||||||
| SPRUCE | CLASS 4 | 516.86 | 434.39 | 414.28 | 274.20 | 149.87 | 55.08 | 21.13 | 13.99 | 13.31 | 12.99 | 111.39 | |||||
| CLASS 5 | 513.75 | 431.28 | 411.17 | 271.09 | 146.76 | 51.97 | 18.02 | 10.88 | 10.20 | 9.88 | 108.28 | ||||||
| CLASS 6 | 510.65 | 428.18 | 408.07 | 267.99 | 143.66 | 48.87 | 14.92 | 7.78 | 7.10 | 6.78 | 105.18 | ||||||
| BALSAM | CLASS 4 | 111.42 | 82.83 | 42.53 | 24.50 | 25.30 | 14.03 | 13.52 | 13.34 | 24.15 | |||||||
| CLASS 5 | 108.31 | 79.72 | 39.42 | 21.39 | 22.19 | 10.92 | 10.41 | 10.23 | 21.04 | ||||||||
| CLASS 6 | 105.21 | 76.62 | 36.32 | 18.29 | 19.09 | 7.82 | 7.31 | 7.13 | 17.94 | ||||||||
| CYPRESS | CLASS 4 | 341.47 | 219.62 | 96.84 | 47.95 | 38.79 | 13.23 | 16.30 | 1.00 | 54.60 | |||||||
| CLASS 5 | 338.36 | 216.51 | 93.73 | 44.84 | 35.68 | 10.12 | 13.19 | 1.00 | 51.49 | ||||||||
| CLASS 6 | 335.26 | 213.41 | 90.63 | 41.74 | 32.58 | 7.02 | 10.09 | 1.00 | 48.39 | ||||||||
| PINE | CLASS 4 | 49.71 | 41.84 | 43.70 | 31.93 | 29.83 | 9.07 | 7.75 | 1.00 | 26.24 | |||||||
| CLASS 5 | 46.60 | 38.73 | 40.59 | 28.82 | 26.72 | 5.96 | 4.64 | 1.00 | 23.13 | ||||||||
| CLASS 6 | 43.50 | 35.63 | 37.49 | 25.72 | 23.62 | 2.86 | 1.54 | 1.00 | 20.03 | ||||||||
| DECIDUOUS | CLASS 4 | 14.71 | 3.48 | 32.50 | |||||||||||||
| CLASS 5 | 11.61 | 1.00 | 29.39 | ||||||||||||||
| CLASS 6 | 8.50 | 1.00 | 26.29 | ||||||||||||||
| OTHER SPECIES | CLASS 4 | 111.42 | 82.83 | 42.53 | 24.50 | 25.30 | 14.03 | 13.52 | 13.34 | 24.15 | |||||||
| CLASS 5 | 108.31 | 79.72 | 39.42 | 21.39 | 22.19 | 10.92 | 10.41 | 10.23 | 21.04 | ||||||||
| CLASS 6 | 105.21 | 76.62 | 36.32 | 18.29 | 19.09 | 7.82 | 7.31 | 7.13 | 17.94 | ||||||||
| CHRISTMAS TREES ($/TREE) | CLASS 4 | 2.50 | |||||||||||||||
| CLASS 5 | 2.25 | ||||||||||||||||
| CLASS 6 | 2.00 | ||||||||||||||||
| SPECIES | ACCESSIBILITY | 2015 VALUE of CUT TIMBER by GRADE for VALUATION AREA: NORTH COAST (4) $ PER CUBIC METRE ($/m3) | |||||||||||||||
| B | C | D | E | F | G | H | I | J | K | L | M | U | X | Y | UNGRADED | ||
| FIR | CLASS 4 | 134.77 | 101.38 | 313.24 | 200.48 | 98.91 | 46.96 | 40.35 | 15.85 | 4.19 | 1.49 | 65.72 | |||||
| CLASS 5 | 131.66 | 98.27 | 310.13 | 197.37 | 95.80 | 43.85 | 37.24 | 12.74 | 1.08 | 1.00 | 62.61 | ||||||
| CLASS 6 | 128.55 | 95.16 | 307.02 | 194.26 | 92.69 | 40.74 | 34.13 | 9.63 | 1.00 | 1.00 | 59.50 | ||||||
| CEDAR | CLASS 4 | 275.23 | 228.99 | 146.72 | 103.92 | 102.88 | 145.35 | 105.85 | 65.34 | 41.35 | 12.19 | 1.00 | 113.82 | ||||
| CLASS 5 | 272.12 | 225.88 | 143.61 | 100.81 | 99.77 | 142.24 | 102.74 | 62.23 | 38.24 | 9.08 | 1.00 | 110.71 | |||||
| CLASS 6 | 269.01 | 222.77 | 140.50 | 97.70 | 96.66 | 139.13 | 99.63 | 59.12 | 35.13 | 5.97 | 1.00 | 107.60 | |||||
| HEMLOCK | CLASS 4 | 107.23 | 78.64 | 38.34 | 20.31 | 21.11 | 9.84 | 9.33 | 9.15 | 19.96 | |||||||
| CLASS 5 | 104.12 | 75.53 | 35.23 | 17.20 | 18.00 | 6.73 | 6.22 | 6.04 | 16.85 | ||||||||
| CLASS 6 | 101.01 | 72.42 | 32.12 | 14.09 | 14.89 | 3.62 | 3.11 | 2.93 | 13.74 | ||||||||
| SPRUCE | CLASS 4 | 512.67 | 430.20 | 410.09 | 270.01 | 145.68 | 50.89 | 16.94 | 9.80 | 9.12 | 8.80 | 107.20 | |||||
| CLASS 5 | 509.56 | 427.09 | 406.98 | 266.90 | 142.57 | 47.78 | 13.83 | 6.69 | 6.01 | 5.69 | 104.09 | ||||||
| CLASS 6 | 506.45 | 423.98 | 403.87 | 263.79 | 139.46 | 44.67 | 10.72 | 3.58 | 2.90 | 2.58 | 100.98 | ||||||
| BALSAM | CLASS 4 | 107.23 | 78.64 | 38.34 | 20.31 | 21.11 | 9.84 | 9.33 | 9.15 | 19.96 | |||||||
| CLASS 5 | 104.12 | 75.53 | 35.23 | 17.20 | 18.00 | 6.73 | 6.22 | 6.04 | 16.85 | ||||||||
| CLASS 6 | 101.01 | 72.42 | 32.12 | 14.09 | 14.89 | 3.62 | 3.11 | 2.93 | 13.74 | ||||||||
| CYPRESS | CLASS 4 | 337.28 | 215.43 | 92.65 | 43.76 | 34.60 | 9.04 | 12.11 | 1.00 | 50.41 | |||||||
| CLASS 5 | 334.17 | 212.32 | 89.54 | 40.65 | 31.49 | 5.93 | 9.00 | 1.00 | 47.30 | ||||||||
| CLASS 6 | 331.06 | 209.21 | 86.43 | 37.54 | 28.38 | 2.82 | 5.89 | 1.00 | 44.19 | ||||||||
| PINE | CLASS 4 | 45.52 | 37.65 | 39.51 | 27.74 | 25.64 | 4.88 | 3.56 | 1.00 | 22.05 | |||||||
| CLASS 5 | 42.41 | 34.54 | 36.40 | 24.63 | 22.53 | 1.77 | 1.00 | 1.00 | 18.94 | ||||||||
| CLASS 6 | 39.30 | 31.43 | 33.29 | 21.52 | 19.42 | 1.00 | 1.00 | 1.00 | 15.83 | ||||||||
| DECIDUOUS | CLASS 4 | 10.52 | 1.00 | 28.31 | |||||||||||||
| CLASS 5 | 7.41 | 1.00 | 25.20 | ||||||||||||||
| CLASS 6 | 4.31 | 1.00 | 22.09 | ||||||||||||||
| OTHER SPECIES | CLASS 4 | 107.23 | 78.64 | 38.34 | 20.31 | 21.11 | 9.84 | 9.33 | 9.15 | 19.96 | |||||||
| CLASS 5 | 104.12 | 75.53 | 35.23 | 17.20 | 18.00 | 6.73 | 6.22 | 6.04 | 16.85 | ||||||||
| CLASS 6 | 101.01 | 72.42 | 32.12 | 14.09 | 14.89 | 3.62 | 3.11 | 2.93 | 13.74 | ||||||||
| CHRISTMAS TREES ($/TREE) | CLASS 4 | 2.50 | |||||||||||||||
| CLASS 5 | 2.25 | ||||||||||||||||
| CLASS 6 | 2.00 | ||||||||||||||||
Schedule C BEFORE re-enacted by BC Reg 318/2016, effective December 19, 2016.
[en. B.C. Reg. 265/2015, s. 3.]
2016 and SUBSEQUENT ASSESSMENT YEARS SCHEDULE of CUT TIMBER VALUES for MANAGED FOREST LAND — ASSESSMENT ACT — sec. 24 (9)
| SPECIES | ACCESSIBILITY | 2016 VALUE of CUT TIMBER by GRADE for VALUATION AREA: SOUTH COAST (1) $ PER CUBIC METRE ($/m3) | |||||||||||||||
| B | C | D | E | F | G | H | I | J | K | L | M | U | X | Y | UNGRADED | ||
| FIR | CLASS 4 | 171.55 | 131.92 | 343.82 | 231.40 | 118.72 | 67.42 | 48.18 | 23.70 | 15.68 | 7.79 | 71.26 | |||||
| CLASS 5 | 168.39 | 128.76 | 340.66 | 228.24 | 115.56 | 64.26 | 45.02 | 20.54 | 12.52 | 4.63 | 68.10 | ||||||
| CLASS 6 | 165.24 | 125.61 | 337.51 | 225.09 | 112.41 | 61.11 | 41.87 | 17.39 | 9.37 | 1.48 | 64.95 | ||||||
| CEDAR | CLASS 4 | 290.49 | 251.57 | 175.12 | 123.72 | 135.64 | 166.35 | 128.38 | 80.68 | 64.66 | 40.66 | 1.00 | 130.80 | ||||
| CLASS 5 | 287.33 | 248.41 | 171.96 | 120.56 | 132.48 | 163.19 | 125.22 | 77.52 | 61.50 | 37.50 | 1.00 | 127.64 | |||||
| CLASS 6 | 284.18 | 245.26 | 168.81 | 117.41 | 129.33 | 160.04 | 122.07 | 74.37 | 58.35 | 34.35 | 1.00 | 124.49 | |||||
| HEMLOCK | CLASS 4 | 125.55 | 93.64 | 52.50 | 34.92 | 32.53 | 23.30 | 21.54 | 22.24 | 33.99 | |||||||
| CLASS 5 | 122.39 | 90.48 | 49.34 | 31.76 | 29.37 | 20.14 | 18.38 | 19.08 | 30.83 | ||||||||
| CLASS 6 | 119.24 | 87.33 | 46.19 | 28.61 | 26.22 | 16.99 | 15.23 | 15.93 | 27.68 | ||||||||
| SPRUCE | CLASS 4 | 435.06 | 361.88 | 348.89 | 240.10 | 140.59 | 53.19 | 29.10 | 23.14 | 22.23 | 21.31 | 104.84 | |||||
| CLASS 5 | 431.90 | 358.72 | 345.73 | 236.94 | 137.43 | 50.03 | 25.94 | 19.98 | 19.07 | 18.15 | 101.68 | ||||||
| CLASS 6 | 428.75 | 355.57 | 342.58 | 233.79 | 134.28 | 46.88 | 22.79 | 16.83 | 15.92 | 15.00 | 98.53 | ||||||
| BALSAM | CLASS 4 | 125.55 | 93.64 | 52.50 | 34.92 | 32.53 | 23.30 | 21.54 | 22.24 | 33.99 | |||||||
| CLASS 5 | 122.39 | 90.48 | 49.34 | 31.76 | 29.37 | 20.14 | 18.38 | 19.08 | 30.83 | ||||||||
| CLASS 6 | 119.24 | 87.33 | 46.19 | 28.61 | 26.22 | 16.99 | 15.23 | 15.93 | 27.68 | ||||||||
| CYPRESS | CLASS 4 | 300.34 | 177.03 | 87.30 | 52.25 | 39.74 | 20.56 | 21.54 | 1.00 | 55.33 | |||||||
| CLASS 5 | 297.18 | 173.87 | 84.14 | 49.09 | 36.58 | 17.40 | 18.38 | 1.00 | 52.17 | ||||||||
| CLASS 6 | 294.03 | 170.72 | 80.99 | 45.94 | 33.43 | 14.25 | 15.23 | 1.00 | 49.02 | ||||||||
| PINE | CLASS 4 | 87.61 | 73.42 | 47.77 | 41.03 | 32.49 | 16.46 | 15.53 | 14.38 | 30.31 | |||||||
| CLASS 5 | 84.45 | 70.26 | 44.61 | 37.87 | 29.33 | 13.30 | 12.37 | 11.22 | 27.15 | ||||||||
| CLASS 6 | 81.30 | 67.11 | 41.46 | 34.72 | 26.18 | 10.15 | 9.22 | 8.07 | 24.00 | ||||||||
| DECIDUOUS | CLASS 4 | 24.64 | 3.30 | 22.38 | |||||||||||||
| CLASS 5 | 21.48 | 1.00 | 19.23 | ||||||||||||||
| CLASS 6 | 18.33 | 1.00 | 16.08 | ||||||||||||||
| OTHER SPECIES | CLASS 4 | 125.55 | 93.64 | 52.50 | 34.92 | 32.53 | 23.30 | 21.54 | 22.24 | 33.99 | |||||||
| CLASS 5 | 122.39 | 90.48 | 49.34 | 31.76 | 29.37 | 20.14 | 18.38 | 19.08 | 30.83 | ||||||||
| CLASS 6 | 119.24 | 87.33 | 46.19 | 28.61 | 26.22 | 16.99 | 15.23 | 15.93 | 27.68 | ||||||||
| CHRISTMAS TREES ($/TREE) | CLASS 4 | 2.50 | |||||||||||||||
| CLASS 5 | 2.25 | ||||||||||||||||
| CLASS 6 | 2.00 | ||||||||||||||||
| SPECIES | ACCESSIBILITY | 2016 VALUE of CUT TIMBER by GRADE for VALUATION AREA: WEST COAST (2) $ PER CUBIC METRE ($/m3) | |||||||||||||||
| B | C | D | E | F | G | H | I | J | K | L | M | U | X | Y | UNGRADED | ||
| FIR | CLASS 4 | 167.12 | 127.49 | 339.39 | 226.97 | 114.29 | 62.99 | 43.75 | 19.27 | 11.25 | 3.36 | 66.83 | |||||
| CLASS 5 | 163.97 | 124.34 | 336.24 | 223.82 | 111.14 | 59.84 | 40.60 | 16.12 | 8.10 | 1.00 | 63.68 | ||||||
| CLASS 6 | 160.82 | 121.19 | 333.09 | 220.67 | 107.99 | 56.69 | 37.45 | 12.97 | 4.95 | 1.00 | 60.53 | ||||||
| CEDAR | CLASS 4 | 286.06 | 247.14 | 170.69 | 119.29 | 131.21 | 161.92 | 123.95 | 76.25 | 60.23 | 36.23 | 1.00 | 126.37 | ||||
| CLASS 5 | 282.91 | 243.99 | 167.54 | 116.14 | 128.06 | 158.77 | 120.80 | 73.10 | 57.08 | 33.08 | 1.00 | 123.22 | |||||
| CLASS 6 | 279.76 | 240.84 | 164.39 | 112.99 | 124.91 | 155.62 | 117.65 | 69.95 | 53.93 | 29.93 | 1.00 | 120.07 | |||||
| HEMLOCK | CLASS 4 | 121.12 | 89.21 | 48.07 | 30.49 | 28.10 | 18.87 | 17.11 | 17.81 | 29.56 | |||||||
| CLASS 5 | 117.97 | 86.06 | 44.92 | 27.34 | 24.95 | 15.72 | 13.96 | 14.66 | 26.41 | ||||||||
| CLASS 6 | 114.82 | 82.91 | 41.77 | 24.19 | 21.80 | 12.57 | 10.81 | 11.51 | 23.26 | ||||||||
| SPRUCE | CLASS 4 | 430.63 | 357.45 | 344.46 | 235.67 | 136.16 | 48.76 | 24.67 | 18.71 | 17.80 | 16.88 | 100.41 | |||||
| CLASS 5 | 427.48 | 354.30 | 341.31 | 232.52 | 133.01 | 45.61 | 21.52 | 15.56 | 14.65 | 13.73 | 97.26 | ||||||
| CLASS 6 | 424.33 | 351.15 | 338.16 | 229.37 | 129.86 | 42.46 | 18.37 | 12.41 | 11.50 | 10.58 | 94.11 | ||||||
| BALSAM | CLASS 4 | 121.12 | 89.21 | 48.07 | 30.49 | 28.10 | 18.87 | 17.11 | 17.81 | 29.56 | |||||||
| CLASS 5 | 117.97 | 86.06 | 44.92 | 27.34 | 24.95 | 15.72 | 13.96 | 14.66 | 26.41 | ||||||||
| CLASS 6 | 114.82 | 82.91 | 41.77 | 24.19 | 21.80 | 12.57 | 10.81 | 11.51 | 23.26 | ||||||||
| CYPRESS | CLASS 4 | 295.91 | 172.60 | 82.87 | 47.82 | 35.31 | 16.13 | 17.11 | 1.00 | 50.90 | |||||||
| CLASS 5 | 292.76 | 169.45 | 79.72 | 44.67 | 32.16 | 12.98 | 13.96 | 1.00 | 47.75 | ||||||||
| CLASS 6 | 289.61 | 166.30 | 76.57 | 41.52 | 29.01 | 9.83 | 10.81 | 1.00 | 44.60 | ||||||||
| PINE | CLASS 4 | 83.18 | 68.99 | 43.34 | 36.60 | 28.06 | 12.03 | 11.10 | 9.95 | 25.88 | |||||||
| CLASS 5 | 80.03 | 65.84 | 40.19 | 33.45 | 24.91 | 8.88 | 7.95 | 6.80 | 22.73 | ||||||||
| CLASS 6 | 76.88 | 62.69 | 37.04 | 30.30 | 21.76 | 5.73 | 4.80 | 3.65 | 19.58 | ||||||||
| DECIDUOUS | CLASS 4 | 20.21 | 1.00 | 17.96 | |||||||||||||
| CLASS 5 | 17.06 | 1.00 | 14.81 | ||||||||||||||
| CLASS 6 | 13.91 | 1.00 | 11.65 | ||||||||||||||
| OTHER SPECIES | CLASS 4 | 121.12 | 89.21 | 48.07 | 30.49 | 28.10 | 18.87 | 17.11 | 17.81 | 29.56 | |||||||
| CLASS 5 | 117.97 | 86.06 | 44.92 | 27.34 | 24.95 | 15.72 | 13.96 | 14.66 | 26.41 | ||||||||
| CLASS 6 | 114.82 | 82.91 | 41.77 | 24.19 | 21.80 | 12.57 | 10.81 | 11.51 | 23.26 | ||||||||
| CHRISTMAS TREES ($/TREE) | CLASS 4 | 2.50 | |||||||||||||||
| CLASS 5 | 2.25 | ||||||||||||||||
| CLASS 6 | 2.00 | ||||||||||||||||
Schedule C BEFORE re-enacted by BC Reg 242/2017, effective December 20, 2017.
[en. B.C. Reg. 318/2016, s. 3.]
2017 and SUBSEQUENT ASSESSMENT YEARS SCHEDULE of CUT TIMBER VALUES for MANAGED FOREST LAND — ASSESSMENT ACT — sec. 24 (9)
| SPECIES | ACCESSIBILITY |
2017 VALUE of CUT TIMBER by GRADE for VALUATION AREA:
SOUTH COAST (1) $ PER CUBIC METRE ($/m3) | |||||||||||||||
| B | C | D | E | F | G | H | I | J | K | L | M | U | X | Y | UNGRADED | ||
| FIR | CLASS 4 | 196.67 | 135.26 | 388.92 | 265.75 | 132.67 | 74.27 | 48.06 | 24.90 | 14.93 | 7.40 | 78.22 | |||||
| CLASS 5 | 193.48 | 132.07 | 385.73 | 262.56 | 129.48 | 71.08 | 44.87 | 21.71 | 11.74 | 4.21 | 75.03 | ||||||
| CLASS 6 | 190.30 | 128.89 | 382.55 | 259.38 | 126.30 | 67.90 | 41.69 | 18.53 | 8.56 | 1.03 | 71.85 | ||||||
| CEDAR | CLASS 4 | 358.49 | 323.58 | 214.52 | 160.67 | 162.72 | 204.77 | 157.37 | 99.30 | 78.99 | 58.41 | 1.00 | 163.91 | ||||
| CLASS 5 | 355.30 | 320.39 | 211.33 | 157.48 | 159.53 | 201.58 | 154.18 | 96.11 | 75.80 | 55.22 | 1.00 | 160.72 | |||||
| CLASS 6 | 352.12 | 317.21 | 208.15 | 154.30 | 156.35 | 198.40 | 151.00 | 92.93 | 72.62 | 52.04 | 1.00 | 157.54 | |||||
| HEMLOCK | CLASS 4 | 141.81 | 102.90 | 54.32 | 30.25 | 30.17 | 21.64 | 20.47 | 20.00 | 32.60 | |||||||
| CLASS 5 | 138.62 | 99.71 | 51.13 | 27.06 | 26.98 | 18.45 | 17.28 | 16.81 | 29.41 | ||||||||
| CLASS 6 | 135.44 | 96.53 | 47.95 | 23.88 | 23.80 | 15.27 | 14.10 | 13.63 | 26.23 | ||||||||
| SPRUCE | CLASS 4 | 219.95 | 187.76 | 152.14 | 121.17 | 88.28 | 39.58 | 24.14 | 20.94 | 20.43 | 19.19 | 66.48 | |||||
| CLASS 5 | 216.76 | 184.57 | 148.95 | 117.98 | 85.09 | 36.39 | 20.95 | 17.75 | 17.24 | 16.00 | 63.29 | ||||||
| CLASS 6 | 213.58 | 181.39 | 145.77 | 114.80 | 81.91 | 33.21 | 17.77 | 14.57 | 14.06 | 12.82 | 60.11 | ||||||
| BALSAM | CLASS 4 | 141.81 | 102.90 | 54.32 | 30.25 | 30.17 | 21.64 | 20.47 | 20.00 | 32.60 | |||||||
| CLASS 5 | 138.62 | 99.71 | 51.13 | 27.06 | 26.98 | 18.45 | 17.28 | 16.81 | 29.41 | ||||||||
| CLASS 6 | 135.44 | 96.53 | 47.95 | 23.88 | 23.80 | 15.27 | 14.10 | 13.63 | 26.23 | ||||||||
| CYPRESS | CLASS 4 | 278.48 | 164.06 | 67.60 | 37.48 | 25.26 | 17.64 | 20.33 | 1.00 | 36.73 | |||||||
| CLASS 5 | 275.29 | 160.87 | 64.41 | 34.29 | 22.07 | 14.45 | 17.14 | 1.00 | 33.54 | ||||||||
| CLASS 6 | 272.11 | 157.69 | 61.23 | 31.11 | 18.89 | 11.27 | 13.96 | 1.00 | 30.36 | ||||||||
| PINE | CLASS 4 | 66.36 | 43.10 | 33.98 | 31.99 | 15.97 | 14.62 | 15.85 | 28.66 | ||||||||
| CLASS 5 | 63.17 | 39.91 | 30.79 | 28.80 | 12.78 | 11.43 | 12.66 | 25.47 | |||||||||
| CLASS 6 | 59.99 | 36.73 | 27.61 | 25.62 | 9.60 | 8.25 | 9.48 | 22.29 | |||||||||
| DECIDUOUS | CLASS 4 | 31.43 | 7.86 | 30.69 | |||||||||||||
| CLASS 5 | 28.25 | 4.68 | 27.50 | ||||||||||||||
| CLASS 6 | 25.06 | 1.49 | 24.32 | ||||||||||||||
| OTHER SPECIES | CLASS 4 | 141.81 | 102.90 | 54.32 | 30.25 | 30.17 | 21.64 | 20.47 | 20.00 | 32.60 | |||||||
| CLASS 5 | 138.62 | 99.71 | 51.13 | 27.06 | 26.98 | 18.45 | 17.28 | 16.81 | 29.41 | ||||||||
| CLASS 6 | 135.44 | 96.53 | 47.95 | 23.88 | 23.80 | 15.27 | 14.10 | 13.63 | 26.23 | ||||||||
| CHRISTMAS TREES ($/TREE) | CLASS 4 | 2.50 | |||||||||||||||
| CLASS 5 | 2.25 | ||||||||||||||||
| CLASS 6 | 2.00 | ||||||||||||||||
| SPECIES | ACCESSIBILITY |
2017 VALUE of CUT TIMBER by GRADE for VALUATION AREA: WEST
COAST (2) $ PER CUBIC METRE ($/m3) | |||||||||||||||
| B | C | D | E | F | G | H | I | J | K | L | M | U | X | Y | UNGRADED | ||
| FIR | CLASS 4 | 192.20 | 130.79 | 384.45 | 261.28 | 128.20 | 69.80 | 43.59 | 20.43 | 10.46 | 2.93 | 73.75 | |||||
| CLASS 5 | 189.02 | 127.61 | 381.27 | 258.10 | 125.02 | 66.62 | 40.41 | 17.25 | 7.28 | 1.00 | 70.57 | ||||||
| CLASS 6 | 185.83 | 124.42 | 378.08 | 254.91 | 121.83 | 63.43 | 37.22 | 14.06 | 4.09 | 1.00 | 67.38 | ||||||
| CEDAR | CLASS 4 | 354.02 | 319.11 | 210.05 | 156.20 | 158.25 | 200.30 | 152.90 | 94.83 | 74.52 | 53.94 | 1.00 | 159.44 | ||||
| CLASS 5 | 350.84 | 315.93 | 206.87 | 153.02 | 155.07 | 197.12 | 149.72 | 91.65 | 71.34 | 50.76 | 1.00 | 156.26 | |||||
| CLASS 6 | 347.65 | 312.74 | 203.68 | 149.83 | 151.88 | 193.93 | 146.53 | 88.46 | 68.15 | 47.57 | 1.00 | 153.07 | |||||
| HEMLOCK | CLASS 4 | 137.34 | 98.43 | 49.85 | 25.78 | 25.70 | 17.17 | 16.00 | 15.53 | 28.13 | |||||||
| CLASS 5 | 134.16 | 95.25 | 46.67 | 22.60 | 22.52 | 13.99 | 12.82 | 12.35 | 24.95 | ||||||||
| CLASS 6 | 130.97 | 92.06 | 43.48 | 19.41 | 19.33 | 10.80 | 9.63 | 9.16 | 21.76 | ||||||||
| SPRUCE | CLASS 4 | 215.48 | 183.29 | 147.67 | 116.70 | 83.81 | 35.11 | 19.67 | 16.47 | 15.96 | 14.72 | 62.01 | |||||
| CLASS 5 | 212.30 | 180.11 | 144.49 | 113.52 | 80.63 | 31.93 | 16.49 | 13.29 | 12.78 | 11.54 | 58.83 | ||||||
| CLASS 6 | 209.11 | 176.92 | 141.30 | 110.33 | 77.44 | 28.74 | 13.30 | 10.10 | 9.59 | 8.35 | 55.64 | ||||||
| BALSAM | CLASS 4 | 137.34 | 98.43 | 49.85 | 25.78 | 25.70 | 17.17 | 16.00 | 15.53 | 28.13 | |||||||
| CLASS 5 | 134.16 | 95.25 | 46.67 | 22.60 | 22.52 | 13.99 | 12.82 | 12.35 | 24.95 | ||||||||
| CLASS 6 | 130.97 | 92.06 | 43.48 | 19.41 | 19.33 | 10.80 | 9.63 | 9.16 | 21.76 | ||||||||
| CYPRESS | CLASS 4 | 274.01 | 159.59 | 63.13 | 33.01 | 20.79 | 13.17 | 15.86 | 1.00 | 32.26 | |||||||
| CLASS 5 | 270.83 | 156.41 | 59.95 | 29.83 | 17.61 | 9.99 | 12.68 | 1.00 | 29.08 | ||||||||
| CLASS 6 | 267.64 | 153.22 | 56.76 | 26.64 | 14.42 | 6.80 | 9.49 | 1.00 | 25.89 | ||||||||
| PINE | CLASS 4 | 61.89 | 38.63 | 29.51 | 27.52 | 11.50 | 10.15 | 11.38 | 24.19 | ||||||||
| CLASS 5 | 58.71 | 35.45 | 26.33 | 24.34 | 8.32 | 6.97 | 8.20 | 21.01 | |||||||||
| CLASS 6 | 55.52 | 32.26 | 23.14 | 21.15 | 5.13 | 3.78 | 5.01 | 17.82 | |||||||||
| DECIDUOUS | CLASS 4 | 26.97 | 3.40 | 26.22 | |||||||||||||
| CLASS 5 | 23.78 | 1.00 | 23.03 | ||||||||||||||
| CLASS 6 | 20.60 | 1.00 | 19.85 | ||||||||||||||
| OTHER SPECIES | CLASS 4 | 137.34 | 98.43 | 49.85 | 25.78 | 25.70 | 17.17 | 16.00 | 15.53 | 28.13 | |||||||
| CLASS 5 | 134.16 | 95.25 | 46.67 | 22.60 | 22.52 | 13.99 | 12.82 | 12.35 | 24.95 | ||||||||
| CLASS 6 | 130.97 | 92.06 | 43.48 | 19.41 | 19.33 | 10.80 | 9.63 | 9.16 | 21.76 | ||||||||
| CHRISTMAS TREES ($/TREE) | CLASS 4 | 2.50 | |||||||||||||||
| CLASS 5 | 2.25 | ||||||||||||||||
| CLASS 6 | 2.00 | ||||||||||||||||
Schedule C BEFORE re-enacted by BC Reg 280/2018, effective December 14, 2018.
[en. B.C. Reg. 242/2017, s. 2.]


Schedule C BEFORE re-enacted by BC Reg 280/2019, effective December 18, 2019.
[en. B.C. Reg. 280/2018, s. 2.]


Schedule C BEFORE re-enacted by BC Reg 296/2020, effective December 21, 2020.
[en. B.C. Reg. 280/2019, s. 2.]


Schedule C BEFORE re-enacted by BC Reg 311/2021, effective December 1, 2021.
[en. B.C. Reg. 296/2020, s. 2.]


Schedule C BEFORE re-enacted by BC Reg 257/2022, effective December 1, 2022.
[en. B.C. Reg. 311/2021, s. 2.]


Schedule C BEFORE re-enacted by BC Reg 250/2023, effective December 1, 2023.
[en. B.C. Reg. 257/2022, s. 2.]


Schedule C BEFORE re-enacted by BC Reg 284/2024, effective December 16, 2024.
[en. B.C. Reg. 250/2023, s. 2.]


Schedule C BEFORE re-enacted by BC Reg 241/2025, effective December 17, 2025.
[en. B.C. Reg. 284/2024, s. 2.]
Schedule D BEFORE amended by BC Reg 371/2010, effective December 17, 2010.
[en. B.C. Reg. 287/2009, s. 4.]
2010 and SUBSEQUENT ASSESSMENT YEARS SCHEDULE of CUT TIMBER VALUES
for MANAGED FOREST LAND - ASSESSMENT ACT - see sec. 24 (9)

Schedule D (cont'd)
2010 and SUBSEQUENT ASSESSMENT YEARS SCHEDULE of CUT TIMBER VALUES
for MANAGED FOREST LAND - ASSESSMENT ACT - see sec. 24 (9)

Schedule D BEFORE amended by BC Reg 220/2011, effective December 5, 2011.
[en. B.C. Reg. 371/2010, s. 2.]
2011 and SUBSEQUENT ASSESSMENT YEARS SCHEDULE of CUT TIMBER VALUES for MANAGED FOREST LAND — ASSESSMENT ACT — sec. 24 (9)
| SPECIES | ACCESSIBILITY | VALUE of CUT TIMBER in $ PER CUBIC METRE ($/m3) | ||||||||||||||
| VALUATION AREA | ||||||||||||||||
| SKEENA (5) | PRINCE GEORGE (6) | FT. NELSON /PEACE (7) | CARIBOO (8) | SOUTHERN INTERIOR (9) | ||||||||||||
| Grade Code: | Grade Code: | Grade Code: | Grade Code: | Grade Code: | ||||||||||||
| Sawlog | 4 | 6 | Sawlog | 4 | 6 | Sawlog | 4 | 6 | Sawlog | 4 | 6 | Sawlog | 4 | 6 | ||
| FIR | CLASS 4 | 4.02 | 2.01 | 1.00 | 7.78 | 3.89 | 1.00 | 1.00 | 1.00 | 1.00 | 4.85 | 2.43 | 1.00 | |||
| CLASS 5 | 1.15 | 0.57 | 1.00 | 4.91 | 2.45 | 1.00 | 1.00 | 1.00 | 1.00 | 1.98 | 0.99 | 1.00 | ||||
| CLASS 6 | 1.00 | 1.00 | 1.00 | 1.84 | 0.92 | 1.00 | 1.00 | 1.00 | 1.00 | 1.00 | 1.00 | 1.00 | ||||
| CEDAR | CLASS 4 | 55.45 | 27.73 | 1.00 | 37.02 | 18.51 | 1.00 | 45.56 | 22.78 | 1.00 | 40.84 | 20.42 | 1.00 | 51.99 | 26.00 | 1.00 |
| CLASS 5 | 52.58 | 26.29 | 1.00 | 34.15 | 17.08 | 1.00 | 42.69 | 21.35 | 1.00 | 37.97 | 18.99 | 1.00 | 49.12 | 24.56 | 1.00 | |
| CLASS 6 | 49.51 | 24.76 | 1.00 | 31.08 | 15.54 | 1.00 | 39.62 | 19.81 | 1.00 | 34.90 | 17.45 | 1.00 | 46.05 | 23.03 | 1.00 | |
| HEMLOCK | CLASS 4 | 1.00 | 1.00 | 1.00 | 1.00 | 1.00 | 1.00 | 1.00 | 1.00 | 1.00 | 1.00 | 1.00 | 1.00 | 1.00 | 1.00 | 1.00 |
| CLASS 5 | 1.00 | 1.00 | 1.00 | 1.00 | 1.00 | 1.00 | 1.00 | 1.00 | 1.00 | 1.00 | 1.00 | 1.00 | 1.00 | 1.00 | 1.00 | |
| CLASS 6 | 1.00 | 1.00 | 1.00 | 1.00 | 1.00 | 1.00 | 1.00 | 1.00 | 1.00 | 1.00 | 1.00 | 1.00 | 1.00 | 1.00 | 1.00 | |
| SPRUCE | CLASS 4 | 21.46 | 10.73 | 1.00 | 16.94 | 8.47 | 1.00 | 16.61 | 8.31 | 1.00 | 17.08 | 8.54 | 1.00 | 36.05 | 18.03 | 1.00 |
| CLASS 5 | 18.59 | 9.30 | 1.00 | 14.07 | 7.03 | 1.00 | 13.74 | 6.87 | 1.00 | 14.21 | 7.11 | 1.00 | 33.18 | 16.59 | 1.00 | |
| CLASS 6 | 15.52 | 7.76 | 1.00 | 11.00 | 5.50 | 1.00 | 10.67 | 5.34 | 1.00 | 11.14 | 5.57 | 1.00 | 30.11 | 15.06 | 1.00 | |
| BALSAM | CLASS 4 | 13.02 | 6.51 | 1.00 | 2.49 | 1.24 | 1.00 | 2.77 | 1.38 | 1.00 | 1.96 | 0.98 | 1.00 | 16.20 | 8.10 | 1.00 |
| CLASS 5 | 10.15 | 5.08 | 1.00 | 1.00 | 1.00 | 1.00 | 1.00 | 1.00 | 1.00 | 1.00 | 1.00 | 1.00 | 13.33 | 6.67 | 1.00 | |
| CLASS 6 | 7.08 | 3.54 | 1.00 | 1.00 | 1.00 | 1.00 | 1.00 | 1.00 | 1.00 | 1.00 | 1.00 | 1.00 | 10.26 | 5.13 | 1.00 | |
| WHITE PINE | CLASS 4 | 1.00 | 1.00 | 1.00 | 1.00 | 1.00 | 1.00 | 1.00 | 1.66 | 0.83 | 1.00 | |||||
| CLASS 5 | 1.00 | 1.00 | 1.00 | 1.00 | 1.00 | 1.00 | 1.00 | 1.00 | 1.00 | 1.00 | ||||||
| CLASS 6 | 1.00 | 1.00 | 1.00 | 1.00 | 1.00 | 1.00 | 1.00 | 1.00 | 1.00 | 1.00 | ||||||
| LODGEPOLE PINE | CLASS 4 | 17.39 | 8.70 | 1.00 | 8.66 | 4.33 | 1.00 | 14.69 | 7.35 | 1.00 | 7.67 | 3.83 | 1.00 | 23.32 | 11.66 | 1.00 |
| CLASS 5 | 14.52 | 7.26 | 1.00 | 5.79 | 2.90 | 1.00 | 11.82 | 5.91 | 1.00 | 4.80 | 2.40 | 1.00 | 20.45 | 10.23 | 1.00 | |
| CLASS 6 | 11.45 | 5.73 | 1.00 | 2.72 | 1.36 | 1.00 | 8.75 | 4.38 | 1.00 | 1.73 | 0.86 | 1.00 | 17.38 | 8.69 | 1.00 | |
| YELLOW PINE | CLASS 4 | 8.73 | 4.37 | 1.00 | 2.17 | 1.09 | 1.00 | 5.97 | 2.99 | 1.00 | ||||||
| CLASS 5 | 5.86 | 2.93 | 1.00 | 1.00 | 1.00 | 1.00 | 3.10 | 1.55 | 1.00 | |||||||
| CLASS 6 | 2.79 | 1.40 | 1.00 | 1.00 | 1.00 | 1.00 | 1.00 | 1.00 | 1.00 | |||||||
| LARCH | CLASS 4 | 2.28 | 1.14 | 1.00 | 3.00 | 1.50 | 1.00 | 1.00 | 1.00 | 1.00 | 6.74 | 3.37 | 1.00 | |||
| CLASS 5 | 1.00 | 1.00 | 1.00 | 1.00 | 1.00 | 1.00 | 1.00 | 1.00 | 1.00 | 3.87 | 1.93 | 1.00 | ||||
| CLASS 6 | 1.00 | 1.00 | 1.00 | 1.00 | 1.00 | 1.00 | 1.00 | 1.00 | 1.00 | 1.00 | 1.00 | 1.00 | ||||
| DECIDUOUS | CLASS 4 | 10.00 | 5.00 | 1.00 | 10.00 | 5.00 | 1.00 | 10.00 | 5.00 | 1.00 | 10.00 | 5.00 | 1.00 | 10.00 | 5.00 | 1.00 |
| CLASS 5 | 7.50 | 3.75 | 1.00 | 7.50 | 3.75 | 1.00 | 7.50 | 3.75 | 1.00 | 7.50 | 3.75 | 1.00 | 7.50 | 3.75 | 1.00 | |
| CLASS 6 | 5.00 | 2.50 | 1.00 | 5.00 | 2.50 | 1.00 | 5.00 | 2.50 | 1.00 | 5.00 | 2.50 | 1.00 | 5.00 | 2.50 | 1.00 | |
| OTHER SPECIES | CLASS 4 | 1.00 | 1.00 | 1.00 | 1.00 | 1.00 | 1.00 | 1.00 | 1.00 | 1.00 | 1.00 | 1.00 | 1.00 | 1.00 | 1.00 | 1.00 |
| CLASS 5 | 1.00 | 1.00 | 1.00 | 1.00 | 1.00 | 1.00 | 1.00 | 1.00 | 1.00 | 1.00 | 1.00 | 1.00 | 1.00 | 1.00 | 1.00 | |
| CLASS 6 | 1.00 | 1.00 | 1.00 | 1.00 | 1.00 | 1.00 | 1.00 | 1.00 | 1.00 | 1.00 | 1.00 | 1.00 | 1.00 | 1.00 | 1.00 | |
| CHRISTMAS TREES ($/TREE) | CLASS 4 | 2.50 | 2.50 | 2.50 | 2.50 | 2.50 | ||||||||||
| CLASS 5 | 2.25 | 2.25 | 2.25 | 2.25 | 2.25 | |||||||||||
| CLASS 6 | 2.00 | 2.00 | 2.00 | 2.00 | 2.00 | |||||||||||
Schedule D BEFORE amended by BC Reg 390/2012, effective December 7, 2012.
[en. B.C. Reg. 220/2011, s. 2.]
2012 and SUBSEQUENT ASSESSMENT YEARS SCHEDULE of CUT TIMBER VALUES for MANAGED FOREST LAND — ASSESSMENT ACT — sec. 24 (9)
| SPECIES | ACCESSIBILITY | 2012 VALUE of CUT TIMBER in $ PER CUBIC METRE ($/m3) | ||||||||||||||
| VALUATION AREA | ||||||||||||||||
| SKEENA (5) | PRINCE GEORGE (6) | FT. NELSON/PEACE (7) | CARIBOO (8) | SOUTHERN INTERIOR (9) | ||||||||||||
| Grade Code: | Grade Code: | Grade Code: | Grade Code: | Grade Code: | ||||||||||||
| Sawlog | 4 | 6 | Sawlog | 4 | 6 | Sawlog | 4 | 6 | Sawlog | 4 | 6 | Sawlog | 4 | 6 | ||
| FIR | CLASS 4 | — | — | — | $10.44 | $5.22 | $1.00 | — | — | — | $8.10 | $4.05 | $1.00 | $13.94 | $6.97 | $1.00 |
| CLASS 5 | — | — | — | $7.57 | $3.78 | $1.00 | — | — | — | $5.22 | $2.61 | $1.00 | $11.07 | $5.54 | $1.00 | |
| CLASS 6 | — | — | — | $4.49 | $2.24 | $1.00 | — | — | — | $2.15 | $1.07 | 1.00 | $7.99 | $4.00 | $1.00 | |
| CEDAR | CLASS 4 | $58.73 | $29.37 | $1.00 | $40.00 | $20.00 | $1.00 | — | — | — | $43.74 | $21.87 | $1.00 | $55.49 | $27.74 | $1.00 |
| CLASS 5 | $55.86 | $27.93 | $1.00 | $37.13 | $18.57 | $1.00 | — | — | — | $40.86 | $20.43 | $1.00 | $52.62 | $26.31 | $1.00 | |
| CLASS 6 | $52.78 | $26.39 | $1.00 | $34.05 | $17.03 | 1.00 | — | — | — | $37.78 | $18.89 | $1.00 | $49.54 | $24.77 | $1.00 | |
| HEMLOCK | CLASS 4 | $8.52 | $4.26 | $1.00 | $1.00 | $1.00 | $1.00 | — | — | — | $1.00 | $1.00 | $1.00 | $1.00 | $1.00 | $1.00 |
| CLASS 5 | $5.64 | $2.82 | $1.00 | $1.00 | $1.00 | $1.00 | — | — | — | $1.00 | $1.00 | $1.00 | $1.00 | $1.00 | $1.00 | |
| CLASS 6 | $2.57 | $1.28 | $1.00 | $1.00 | $1.00 | $1.00 | — | — | — | $1.00 | $1.00 | $1.00 | $1.00 | $1.00 | $1.00 | |
| SPRUCE | CLASS 4 | $29.96 | $14.98 | $1.00 | $25.65 | $12.83 | $1.00 | $25.01 | $12.51 | $1.00 | $28.03 | $14.01 | $1.00 | $44.05 | $22.03 | $1.00 |
| CLASS 5 | $27.08 | $13.54 | $1.00 | $22.78 | $11.39 | $1.00 | $22.14 | $11.07 | $1.00 | $25.15 | $12.58 | $1.00 | $41.18 | $20.59 | $1.00 | |
| CLASS 6 | $24.01 | $12.00 | $1.00 | $19.70 | $9.85 | $1.00 | $19.06 | $9.53 | $1.00 | $22.08 | $11.04 | $1.00 | $38.10 | $19.05 | $1.00 | |
| BALSAM | CLASS 4 | $26.97 | $13.49 | $1.00 | $15.90 | $7.95 | $1.00 | $15.67 | $7.84 | $1.00 | $16.49 | $8.25 | $1.00 | $30.29 | $15.15 | $1.00 |
| CLASS 5 | $24.10 | $12.05 | $1.00 | $13.03 | $6.51 | $1.00 | $12.80 | $6.40 | $1.00 | $13.62 | $6.81 | $1.00 | $27.42 | $13.71 | $1.00 | |
| CLASS 6 | $21.02 | $10.51 | $1.00 | $9.95 | $4.97 | $1.00 | $9.72 | $4.86 | $1.00 | $10.54 | $5.27 | $1.00 | $24.34 | $12.17 | $1.00 | |
| WHITE PINE | CLASS 4 | — | — | — | $1.00 | $1.00 | $1.00 | — | — | — | $1.00 | $1.00 | $1.00 | $9.49 | $4.75 | $1.00 |
| CLASS 5 | — | — | — | $1.00 | $1.00 | $1.00 | — | — | — | $1.00 | $1.00 | $1.00 | $6.62 | $3.31 | $1.00 | |
| CLASS 6 | — | — | — | $1.00 | $1.00 | $1.00 | — | — | — | $1.00 | $1.00 | $1.00 | $3.54 | $1.77 | $1.00 | |
| LODGEPOLE PINE | CLASS 4 | $26.96 | $13.48 | $1.00 | $17.93 | $8.97 | $1.00 | $24.40 | $12.20 | $1.00 | $18.34 | $9.17 | $1.00 | $32.29 | $16.14 | $1.00 |
| CLASS 5 | $24.09 | $12.04 | $1.00 | $15.06 | $7.53 | $1.00 | $21.53 | $10.77 | $1.00 | $15.47 | $7.73 | $1.00 | $29.42 | $14.71 | $1.00 | |
| CLASS 6 | $21.01 | $10.50 | $1.00 | $11.98 | $5.99 | $1.00 | $18.45 | $9.23 | $1.00 | $12.39 | $6.19 | $1.00 | $26.34 | $13.17 | $1.00 | |
| YELLOW PINE | CLASS 4 | — | — | — | — | — | — | — | — | — | $2.63 | $1.31 | $1.00 | $14.45 | $7.23 | $1.00 |
| CLASS 5 | — | — | — | — | — | — | — | — | — | $1.00 | $1.00 | $1.00 | $11.58 | $5.79 | $1.00 | |
| CLASS 6 | — | — | — | — | — | — | — | — | — | $1.00 | $1.00 | $1.00 | $8.50 | $4.25 | $1.00 | |
| LARCH | CLASS 4 | — | — | — | $4.71 | $2.36 | $1.00 | — | — | — | $1.00 | $1.00 | $1.00 | $12.44 | $6.22 | $1.00 |
| CLASS 5 | — | — | — | $1.84 | $1.00 | $1.00 | — | — | — | $1.00 | $1.00 | $1.00 | $9.57 | $4.79 | $1.00 | |
| CLASS 6 | — | — | — | $1.00 | $1.00 | $1.00 | — | — | — | $1.00 | $1.00 | $1.00 | $6.49 | $3.25 | $1.00 | |
| DECIDUOUS | CLASS 4 | $10.00 | $5.00 | $1.00 | $10.00 | $5.00 | $1.00 | $10.00 | $5.00 | $1.00 | $10.00 | $5.00 | $1.00 | $10.00 | $5.00 | $1.00 |
| CLASS 5 | $7.50 | $3.75 | $1.00 | $7.50 | $3.75 | $1.00 | $7.50 | $3.75 | $1.00 | $7.50 | $3.75 | $1.00 | $7.50 | $3.75 | $1.00 | |
| CLASS 6 | $5.00 | $2.50 | $1.00 | $5.00 | $2.50 | $1.00 | $5.00 | $2.50 | $1.00 | $5.00 | $2.50 | $1.00 | $5.00 | $2.50 | $1.00 | |
| OTHER SPECIES | CLASS 4 | $8.52 | $4.26 | $1.00 | $1.00 | $1.00 | $1.00 | — | — | — | $1.00 | $1.00 | $1.00 | $1.00 | $1.00 | $1.00 |
| CLASS 5 | $5.64 | $2.82 | $1.00 | $1.00 | $1.00 | $1.00 | — | — | — | $1.00 | $1.00 | $1.00 | $1.00 | $1.00 | $1.00 | |
| CLASS 6 | $2.57 | $1.28 | $1.00 | $1.00 | $1.00 | $1.00 | — | — | — | $1.00 | $1.00 | $1.00 | $1.00 | $1.00 | $1.00 | |
| CHRISTMAS TREES ($/TREE) | CLASS 4 | $2.50 | — | — | $2.50 | — | — | $2.50 | — | — | $2.50 | — | — | $2.50 | — | — |
| CLASS 5 | $2.25 | — | — | $2.25 | — | — | $2.25 | — | — | $2.25 | — | — | $2.25 | — | — | |
| CLASS 6 | $2.00 | — | — | $2.00 | — | — | 2.00 | $2.00 | — | — | $2.00 | — | — | |||
Schedule D BEFORE amended by BC Reg 251/2013, effective December 11, 2013.
[en. B.C. Reg. 390/2012, App. s. 3.]
2013 and SUBSEQUENT ASSESSMENT YEARS SCHEDULE of CUT TIMBER VALUES for MANAGED FOREST LAND — ASSESSMENT ACT — sec. 24 (9)
| SPECIES | ACCESSIBILITY | 2013 VALUE of CUT TIMBER in $ PER CUBIC METRE ($/m3) | ||||||||||||||
| VALUATION AREA | ||||||||||||||||
| SKEENA (5) | PRINCE GEORGE (6) | FT. NELSON/PEACE (7) | CARIBOO (8) | SOUTHERN INTERIOR (9) | ||||||||||||
| Grade Code: | Grade Code: | Grade Code: | Grade Code: | Grade Code: | ||||||||||||
| Sawlog | 4 | 6 | Sawlog | 4 | 6 | Sawlog | 4 | 6 | Sawlog | 4 | 6 | Sawlog | 4 | 6 | ||
| FIR | CLASS 4 | 6.05 | 3.03 | 1.00 | 4.04 | 2.02 | 1.00 | 7.26 | 3.63 | 1.00 | ||||||
| CLASS 5 | 3.06 | 1.53 | 1.00 | 1.05 | 1.00 | 1.00 | 4.27 | 2.14 | 1.00 | |||||||
| CLASS 6 | 1.00 | 1.00 | 1.00 | 1.00 | 1.00 | 1.00 | 1.06 | 1.00 | 1.00 | |||||||
| CEDAR | CLASS 4 | 49.83 | 24.92 | 1.00 | 31.10 | 15.55 | 1.00 | 35.36 | 17.68 | 1.00 | 45.59 | 22.80 | 1.00 | |||
| CLASS 5 | 55.86 | 27.93 | 1.00 | 28.11 | 14.05 | 1.00 | 32.37 | 16.18 | 1.00 | 42.60 | 21.30 | 1.00 | ||||
| CLASS 6 | 52.78 | 26.39 | 1.00 | 24.90 | 12.45 | 1.00 | 29.16 | 14.58 | 1.00 | 39.39 | 19.70 | 1.00 | ||||
| HEMLOCK | CLASS 4 | 7.48 | 3.74 | 1.00 | 1.00 | 1.00 | 1.00 | 1.00 | 1.00 | 1.00 | 1.00 | 1.00 | 1.00 | |||
| CLASS 5 | 4.48 | 2.24 | 1.00 | 1.00 | 1.00 | 1.00 | 1.00 | 1.00 | 1.00 | 1.00 | 1.00 | 1.00 | ||||
| CLASS 6 | 1.28 | 0.64 | 1.00 | 1.00 | 1.00 | 1.00 | 1.00 | 1.00 | 1.00 | 1.00 | 1.00 | 1.00 | ||||
| SPRUCE | CLASS 4 | 25.62 | 12.81 | 1.00 | 20.97 | 10.49 | 1.00 | 18.13 | 9.07 | 1.00 | 23.88 | 11.94 | 1.00 | 41.50 | 20.75 | 1.00 |
| CLASS 5 | 22.62 | 11.31 | 1.00 | 17.98 | 8.99 | 1.00 | 15.14 | 7.57 | 1.00 | 20.88 | 10.44 | 1.00 | 38.51 | 19.25 | 1.00 | |
| CLASS 6 | 19.42 | 9.71 | 1.00 | 14.77 | 7.39 | 1.00 | 11.93 | 5.97 | 1.00 | 17.68 | 8.84 | 1.00 | 35.30 | 17.65 | 1.00 | |
| BALSAM | CLASS 4 | 26.48 | 13.24 | 1.00 | 11.26 | 5.63 | 1.00 | 9.11 | 4.56 | 1.00 | 12.41 | 6.20 | 1.00 | 27.58 | 13.79 | 1.00 |
| CLASS 5 | 23.49 | 11.74 | 1.00 | 8.27 | 4.14 | 1.00 | 6.12 | 3.06 | 1.00 | 9.41 | 4.71 | 1.00 | 24.59 | 12.29 | 1.00 | |
| CLASS 6 | 20.28 | 10.14 | 1.00 | 5.06 | 2.53 | 1.00 | 2.91 | 1.46 | 1.00 | 6.21 | 3.10 | 1.00 | 21.38 | 10.69 | 1.00 | |
| WHITE PINE | CLASS 4 | 1.00 | 1.00 | 1.00 | 1.00 | 1.00 | 1.00 | 6.28 | 3.14 | 1.00 | ||||||
| CLASS 5 | 1.00 | 1.00 | 1.00 | 1.00 | 1.00 | 1.00 | 3.29 | 1.65 | 1.00 | |||||||
| CLASS 6 | 1.00 | 1.00 | 1.00 | 1.00 | 1.00 | 1.00 | 1.00 | 1.00 | 1.00 | |||||||
| LODGEPOLE PINE | CLASS 4 | 22.62 | 11.31 | 1.00 | 13.35 | 6.67 | 1.00 | 17.23 | 8.61 | 1.00 | 14.31 | 7.16 | 1.00 | 29.62 | 14.81 | 1.00 |
| CLASS 5 | 19.63 | 9.82 | 1.00 | 10.35 | 5.18 | 1.00 | 14.24 | 7.12 | 1.00 | 11.32 | 5.66 | 1.00 | 26.63 | 13.31 | 1.00 | |
| CLASS 6 | 16.42 | 8.21 | 1.00 | 7.15 | 3.57 | 1.00 | 11.03 | 5.51 | 1.00 | 8.11 | 4.06 | 1.00 | 23.42 | 11.71 | 1.00 | |
| YELLOW PINE | CLASS 4 | 1.00 | 1.00 | 1.00 | 11.20 | 5.60 | 1.00 | |||||||||
| CLASS 5 | 1.00 | 1.00 | 1.00 | 8.21 | 4.11 | 1.00 | ||||||||||
| CLASS 6 | 1.00 | 1.00 | 1.00 | 5.00 | 2.50 | 1.00 | ||||||||||
| LARCH | CLASS 4 | 1.00 | 1.00 | 1.00 | 1.00 | 1.00 | 1.00 | 6.12 | 3.06 | 1.00 | ||||||
| CLASS 5 | 1.00 | 1.00 | 1.00 | 1.00 | 1.00 | 1.00 | 3.13 | 1.56 | 1.00 | |||||||
| CLASS 6 | 1.00 | 1.00 | 1.00 | 1.00 | 1.00 | 1.00 | 1.00 | 1.00 | 1.00 | |||||||
| DECIDUOUS | CLASS 4 | 10.00 | 5.00 | 1.00 | 10.00 | 5.00 | 1.00 | 10.00 | 5.00 | 1.00 | 10.00 | 5.00 | 1.00 | 10.00 | 5.00 | 1.00 |
| CLASS 5 | 7.50 | 3.75 | 1.00 | 7.50 | 3.75 | 1.00 | 7.50 | 3.75 | 1.00 | 7.50 | 3.75 | 1.00 | 7.50 | 3.75 | 1.00 | |
| CLASS 6 | 5.00 | 2.50 | 1.00 | 5.00 | 2.50 | 1.00 | 5.00 | 2.50 | 1.00 | 5.00 | 2.50 | 1.00 | 5.00 | 2.50 | 1.00 | |
| OTHER SPECIES | CLASS 4 | 7.48 | 3.74 | 1.00 | 1.00 | 1.00 | 1.00 | 1.00 | 1.00 | 1.00 | 1.00 | 1.00 | 1.00 | |||
| CLASS 5 | 4.48 | 2.24 | 1.00 | 1.00 | 1.00 | 1.00 | 1.00 | 1.00 | 1.00 | 1.00 | 1.00 | 1.00 | ||||
| CLASS 6 | 1.28 | 0.64 | 1.00 | 1.00 | 1.00 | 1.00 | 1.00 | 1.00 | 1.00 | 1.00 | 1.00 | 1.00 | ||||
| CHRISTMAS TREES ($/TREE) | CLASS 4 | 2.50 | 2.50 | 2.50 | 2.50 | 2.50 | ||||||||||
| CLASS 5 | 2.25 | 2.25 | 2.25 | 2.25 | 2.25 | |||||||||||
| CLASS 6 | 2.00 | 2.00 | 2.00 | 2.00 | 2.00 | |||||||||||
Schedule D BEFORE amended by BC Reg 234/2014, effective December 10, 2014.
[en. B.C. Reg. 251/2013, s. 2.]
2014 and SUBSEQUENT ASSESSMENT YEARS SCHEDULE of CUT TIMBER VALUES for MANAGED FOREST LAND — ASSESSMENT ACT — sec. 24 (9)
| SPECIES | ACCESSIBILITY | 2014 VALUE of CUT TIMBER in $ PER CUBIC METRE ($/m3) | ||||||||||||||
| VALUATION AREA | ||||||||||||||||
| SKEENA (5) | PRINCE GEORGE (6) | FT. NELSON/PEACE (7) | CARIBOO (8) | SOUTHERN INTERIOR (9) | ||||||||||||
| Grade Code: | Grade Code: | Grade Code: | Grade Code: | Grade Code: | ||||||||||||
| Sawlog | 4 | 6 | Sawlog | 4 | 6 | Sawlog | 4 | 6 | Sawlog | 4 | 6 | Sawlog | 4 | 6 | ||
| FIR | CLASS 4 | 11.88 | 5.94 | 1.00 | 9.24 | 4.62 | 1.00 | 12.72 | 6.36 | 1.00 | ||||||
| CLASS 5 | 8.87 | 4.44 | 1.00 | 6.24 | 3.12 | 1.00 | 9.71 | 4.86 | 1.00 | |||||||
| CLASS 6 | 5.65 | 2.82 | 1.00 | 3.02 | 1.51 | 1.00 | 6.49 | 3.24 | 1.00 | |||||||
| CEDAR | CLASS 4 | 78.17 | 39.08 | 1.00 | 57.68 | 28.84 | 1.00 | 61.01 | 30.51 | 1.00 | 76.12 | 38.06 | 1.00 | |||
| CLASS 5 | 75.16 | 37.58 | 1.00 | 54.67 | 27.34 | 1.00 | 58.00 | 29.00 | 1.00 | 73.12 | 36.56 | 1.00 | ||||
| CLASS 6 | 71.94 | 35.97 | 1.00 | 51.45 | 25.73 | 1.00 | 54.78 | 27.39 | 1.00 | 69.89 | 34.95 | 1.00 | ||||
| HEMLOCK | CLASS 4 | 7.66 | 3.83 | 1.00 | 1.00 | 1.00 | 1.00 | 1.00 | 1.00 | 1.00 | 1.00 | 1.00 | 1.00 | |||
| CLASS 5 | 4.65 | 2.33 | 1.00 | 1.00 | 1.00 | 1.00 | 1.00 | 1.00 | 1.00 | 1.00 | 1.00 | 1.00 | ||||
| CLASS 6 | 1.43 | 0.72 | 1.00 | 1.00 | 1.00 | 1.00 | 1.00 | 1.00 | 1.00 | 1.00 | 1.00 | 1.00 | ||||
| SPRUCE | CLASS 4 | 33.37 | 16.68 | 1.00 | 28.89 | 14.44 | 1.00 | 28.71 | 14.36 | 1.00 | 29.43 | 14.71 | 1.00 | 48.31 | 24.15 | 1.00 |
| CLASS 5 | 30.36 | 15.18 | 1.00 | 25.88 | 12.94 | 1.00 | 25.71 | 12.85 | 1.00 | 26.42 | 13.21 | 1.00 | 45.30 | 22.65 | 1.00 | |
| CLASS 6 | 27.14 | 13.57 | 1.00 | 22.66 | 11.33 | 1.00 | 22.48 | 11.24 | 1.00 | 23.20 | 11.60 | 1.00 | 42.08 | 21.04 | 1.00 | |
| BALSAM | CLASS 4 | 26.92 | 13.46 | 1.00 | 18.40 | 9.20 | 1.00 | 18.57 | 9.28 | 1.00 | 17.22 | 8.61 | 1.00 | 33.50 | 16.75 | 1.00 |
| CLASS 5 | 23.91 | 11.96 | 1.00 | 15.40 | 7.70 | 1.00 | 15.56 | 7.78 | 1.00 | 14.21 | 7.11 | 1.00 | 30.49 | 15.24 | 1.00 | |
| CLASS 6 | 20.69 | 10.34 | 1.00 | 12.18 | 6.09 | 1.00 | 12.34 | 6.17 | 1.00 | 10.99 | 5.49 | 1.00 | 27.27 | 13.63 | 1.00 | |
| WHITE PINE | CLASS 4 | 1.00 | 1.00 | 1.00 | 1.00 | 1.00 | 1.00 | 11.35 | 5.68 | 1.00 | ||||||
| CLASS 5 | 1.00 | 1.00 | 1.00 | 1.00 | 1.00 | 1.00 | 8.35 | 4.17 | 1.00 | |||||||
| CLASS 6 | 1.00 | 1.00 | 1.00 | 1.00 | 1.00 | 1.00 | 5.12 | 2.56 | 1.00 | |||||||
| LODGEPOLE PINE | CLASS 4 | 30.15 | 15.07 | 1.00 | 20.56 | 10.28 | 1.00 | 28.21 | 14.10 | 1.00 | 19.16 | 9.58 | 1.00 | 35.62 | 17.81 | 1.00 |
| CLASS 5 | 27.14 | 13.57 | 1.00 | 17.55 | 8.78 | 1.00 | 25.20 | 12.60 | 1.00 | 16.15 | 8.08 | 1.00 | 32.62 | 16.31 | 1.00 | |
| CLASS 6 | 23.92 | 11.96 | 1.00 | 14.33 | 7.16 | 1.00 | 21.98 | 10.99 | 1.00 | 12.93 | 6.46 | 1.00 | 29.39 | 14.70 | 1.00 | |
| YELLOW PINE | CLASS 4 | 2.67 | 1.34 | 1.00 | 16.79 | 8.39 | 1.00 | |||||||||
| CLASS 5 | 1.00 | 1.00 | 1.00 | 13.78 | 6.89 | 1.00 | ||||||||||
| CLASS 6 | 1.00 | 1.00 | 1.00 | 10.56 | 5.28 | 1.00 | ||||||||||
| LARCH | CLASS 4 | 5.69 | 2.85 | 1.00 | 1.81 | 0.91 | 1.00 | 11.16 | 5.58 | 1.00 | ||||||
| CLASS 5 | 2.69 | 1.34 | 1.00 | 1.00 | 1.00 | 1.00 | 8.15 | 4.08 | 1.00 | |||||||
| CLASS 6 | 1.00 | 1.00 | 1.00 | 1.00 | 1.00 | 1.00 | 4.93 | 2.46 | 1.00 | |||||||
| DECIDUOUS | CLASS 4 | 10.00 | 5.00 | 1.00 | 10.00 | 5.00 | 1.00 | 10.00 | 5.00 | 1.00 | 10.00 | 5.00 | 1.00 | 10.00 | 5.00 | 1.00 |
| CLASS 5 | 7.50 | 3.75 | 1.00 | 7.50 | 3.75 | 1.00 | 7.50 | 3.75 | 1.00 | 7.50 | 3.75 | 1.00 | 7.50 | 3.75 | 1.00 | |
| CLASS 6 | 5.00 | 2.50 | 1.00 | 5.00 | 2.50 | 1.00 | 5.00 | 2.50 | 1.00 | 5.00 | 2.50 | 1.00 | 5.00 | 2.50 | 1.00 | |
| OTHER SPECIES | CLASS 4 | 7.66 | 3.83 | 1.00 | 1.00 | 1.00 | 1.00 | 1.00 | 1.00 | 1.00 | 1.00 | 1.00 | 1.00 | |||
| CLASS 5 | 4.65 | 2.33 | 1.00 | 1.00 | 1.00 | 1.00 | 1.00 | 1.00 | 1.00 | 1.00 | 1.00 | 1.00 | ||||
| CLASS 6 | 1.43 | 0.72 | 1.00 | 1.00 | 1.00 | 1.00 | 1.00 | 1.00 | 1.00 | 1.00 | 1.00 | 1.00 | ||||
| CHRISTMAS TREES ($/TREE) | CLASS 4 | 2.50 | 2.50 | 2.50 | 2.50 | 2.50 | ||||||||||
| CLASS 5 | 2.25 | 2.25 | 2.25 | 2.25 | 2.25 | |||||||||||
| CLASS 6 | 2.00 | 2.00 | 2.00 | 2.00 | 2.00 | |||||||||||
Schedule D BEFORE amended by BC Reg 265/2015, effective December 23, 2015.
[en. B.C. Reg. 234/2014, s. 2.]
2015 and SUBSEQUENT ASSESSMENT YEARS SCHEDULE of CUT TIMBER VALUES for MANAGED FOREST LAND — ASSESSMENT ACT — sec. 24 (9)
| SPECIES | ACCESSIBILITY | 2015 VALUE of CUT TIMBER in $ PER CUBIC METRE ($/m3) | ||||||||||||||
| VALUATION AREA | ||||||||||||||||
| SKEENA (5) | PRINCE GEORGE (6) | FT. NELSON/PEACE (7) | CARIBOO (8) | SOUTHERN INTERIOR (9) | ||||||||||||
| Grade Code: | Grade Code: | Grade Code: | Grade Code: | Grade Code: | ||||||||||||
| Sawlog | 4 | 6 | Sawlog | 4 | 6 | Sawlog | 4 | 6 | Sawlog | 4 | 6 | Sawlog | 4 | 6 | ||
| FIR | CLASS 4 | 29.32 | 14.66 | 1.00 | 24.98 | 12.49 | 1.00 | 29.64 | 14.82 | 1.00 | ||||||
| CLASS 5 | 26.32 | 13.16 | 1.00 | 21.98 | 10.99 | 1.00 | 26.63 | 13.32 | 1.00 | |||||||
| CLASS 6 | 23.09 | 11.55 | 1.00 | 18.75 | 9.38 | 1.00 | 23.41 | 11.70 | 1.00 | |||||||
| CEDAR | CLASS 4 | 105.73 | 52.87 | 1.00 | 83.53 | 41.76 | 1.00 | 85.94 | 42.97 | 1.00 | 105.84 | 52.92 | 1.00 | |||
| CLASS 5 | 102.73 | 51.36 | 1.00 | 80.52 | 40.26 | 1.00 | 82.93 | 41.47 | 1.00 | 102.83 | 51.42 | 1.00 | ||||
| CLASS 6 | 99.50 | 49.75 | 1.00 | 77.30 | 38.65 | 1.00 | 79.71 | 39.85 | 1.00 | 99.61 | 49.80 | 1.00 | ||||
| HEMLOCK | CLASS 4 | 10.12 | 5.06 | 1.00 | 1.00 | 1.00 | 1.00 | 1.00 | 1.00 | 1.00 | 1.00 | 1.00 | 1.00 | |||
| CLASS 5 | 7.11 | 3.56 | 1.00 | 1.00 | 1.00 | 1.00 | 1.00 | 1.00 | 1.00 | 1.00 | 1.00 | 1.00 | ||||
| CLASS 6 | 3.89 | 1.94 | 1.00 | 1.00 | 1.00 | 1.00 | 1.00 | 1.00 | 1.00 | 1.00 | 1.00 | 1.00 | ||||
| SPRUCE | CLASS 4 | 53.55 | 26.78 | 1.00 | 49.62 | 24.81 | 1.00 | 47.05 | 23.52 | 1.00 | 48.66 | 24.33 | 1.00 | 73.84 | 36.92 | 1.00 |
| CLASS 5 | 50.55 | 25.27 | 1.00 | 46.61 | 23.30 | 1.00 | 44.04 | 22.02 | 1.00 | 45.65 | 22.83 | 1.00 | 70.84 | 35.42 | 1.00 | |
| CLASS 6 | 47.32 | 23.66 | 1.00 | 43.39 | 21.69 | 1.00 | 40.82 | 20.41 | 1.00 | 42.43 | 21.21 | 1.00 | 67.61 | 33.81 | 1.00 | |
| BALSAM | CLASS 4 | 29.99 | 15.00 | 1.00 | 37.32 | 18.66 | 1.00 | 35.13 | 17.57 | 1.00 | 34.25 | 17.13 | 1.00 | 56.15 | 28.08 | 1.00 |
| CLASS 5 | 26.99 | 13.49 | 1.00 | 34.31 | 17.16 | 1.00 | 32.12 | 16.06 | 1.00 | 31.25 | 15.62 | 1.00 | 53.15 | 26.57 | 1.00 | |
| CLASS 6 | 23.76 | 11.88 | 1.00 | 31.09 | 15.54 | 1.00 | 28.90 | 14.45 | 1.00 | 28.02 | 14.01 | 1.00 | 49.92 | 24.96 | 1.00 | |
| WHITE PINE | CLASS 4 | 14.41 | 7.20 | 1.00 | 1.00 | 13.56 | 6.78 | 1.00 | 31.40 | 15.70 | 1.00 | |||||
| CLASS 5 | 11.40 | 5.70 | 1.00 | 1.00 | 10.55 | 5.28 | 1.00 | 28.39 | 14.20 | 1.00 | ||||||
| CLASS 6 | 8.18 | 4.09 | 1.00 | 1.00 | 7.33 | 3.66 | 1.00 | 25.17 | 12.58 | 1.00 | ||||||
| LODGEPOLE PINE | CLASS 4 | 49.81 | 24.90 | 1.00 | 39.62 | 19.81 | 1.00 | 47.21 | 23.61 | 1.00 | 36.26 | 18.13 | 1.00 | 58.55 | 29.28 | 1.00 |
| CLASS 5 | 46.80 | 23.40 | 1.00 | 36.62 | 18.31 | 1.00 | 44.21 | 22.10 | 1.00 | 33.26 | 16.63 | 1.00 | 55.55 | 27.77 | 1.00 | |
| CLASS 6 | 43.58 | 21.79 | 1.00 | 33.39 | 16.70 | 1.00 | 40.98 | 20.49 | 1.00 | 30.03 | 15.02 | 1.00 | 52.32 | 26.16 | 1.00 | |
| YELLOW PINE | CLASS 4 | 1.00 | 1.00 | 19.12 | 9.56 | 1.00 | 38.54 | 19.27 | 1.00 | |||||||
| CLASS 5 | 1.00 | 1.00 | 16.11 | 8.06 | 1.00 | 35.54 | 17.77 | 1.00 | ||||||||
| CLASS 6 | 1.00 | 1.00 | 12.89 | 6.44 | 1.00 | 32.31 | 16.16 | 1.00 | ||||||||
| LARCH | CLASS 4 | 21.50 | 10.75 | 1.00 | 1.00 | 16.62 | 8.31 | 1.00 | 27.57 | 13.79 | 1.00 | |||||
| CLASS 5 | 18.50 | 9.25 | 1.00 | 1.00 | 13.62 | 6.81 | 1.00 | 24.57 | 12.28 | 1.00 | ||||||
| CLASS 6 | 15.27 | 7.64 | 1.00 | 1.00 | 10.39 | 5.20 | 1.00 | 21.34 | 10.67 | 1.00 | ||||||
| DECIDUOUS | CLASS 4 | 10.00 | 5.00 | 1.00 | 10.00 | 5.00 | 1.00 | 10.00 | 5.00 | 1.00 | 10.00 | 5.00 | 1.00 | 10.00 | 5.00 | 1.00 |
| CLASS 5 | 7.50 | 3.75 | 1.00 | 7.50 | 3.75 | 1.00 | 7.50 | 3.75 | 1.00 | 7.50 | 3.75 | 1.00 | 7.50 | 3.75 | 1.00 | |
| CLASS 6 | 5.00 | 2.50 | 1.00 | 5.00 | 2.50 | 1.00 | 5.00 | 2.50 | 1.00 | 5.00 | 2.50 | 1.00 | 5.00 | 2.50 | 1.00 | |
| OTHER SPECIES | CLASS 4 | 10.12 | 5.06 | 1.00 | 1.00 | 1.00 | 1.00 | 1.00 | 1.00 | 1.00 | 1.00 | 1.00 | 1.00 | 1.00 | ||
| CLASS 5 | 7.11 | 3.56 | 1.00 | 1.00 | 1.00 | 1.00 | 1.00 | 1.00 | 1.00 | 1.00 | 1.00 | 1.00 | 1.00 | |||
| CLASS 6 | 3.89 | 1.94 | 1.00 | 1.00 | 1.00 | 1.00 | 1.00 | 1.00 | 1.00 | 1.00 | 1.00 | 1.00 | 1.00 | |||
| CHRISTMAS TREES ($/TREE) | CLASS 4 | 2.50 | 2.50 | 2.50 | 2.50 | 2.50 | ||||||||||
| CLASS 5 | 2.25 | 2.25 | 2.25 | 2.25 | 2.25 | |||||||||||
| CLASS 6 | 2.00 | 2.00 | 2.00 | 2.00 | 2.00 | |||||||||||
Schedule D BEFORE re-enacted by BC Reg 318/2016, effective December 19, 2016.
[en. B.C. Reg. 265/2015, s. 3.]
2016 and SUBSEQUENT ASSESSMENT YEARS SCHEDULE of CUT TIMBER VALUES for MANAGED FOREST LAND — ASSESSMENT ACT — sec. 24 (9)
| SPECIES | ACCESSIBILITY | 2016 VALUE of CUT TIMBER by GRADE for VALUATION AREA in $ PER CUBIC METRE ($/m3) | |||||||||||||||||
| VALUATION AREA | |||||||||||||||||||
| THOMPSON-OKANAGAN (3) | KOOTENAY-BOUNDARY (4) | SKEENA (5) | OMINECA (6) | NORTHEAST (7) | CARIBOO (8) | ||||||||||||||
| Grade Code: | Grade Code: | Grade Code: | Grade Code: | Grade Code: | Grade Code: | ||||||||||||||
| Sawlog | 4 | 6 | Sawlog | 4 | 6 | Sawlog | 4 | 6 | Sawlog | 4 | 6 | Sawlog | 4 | 6 | Sawlog | 4 | 6 | ||
| FIR | CLASS 4 | 37.69 | 18.85 | 1.00 | 37.69 | 18.85 | 1.00 | 37.61 | 18.80 | 1.00 | 33.00 | 16.50 | 1.00 | ||||||
| CLASS 5 | 34.82 | 17.41 | 1.00 | 34.82 | 17.41 | 1.00 | 34.74 | 17.37 | 1.00 | 30.13 | 15.06 | 1.00 | |||||||
| CLASS 6 | 31.75 | 15.88 | 1.00 | 31.75 | 15.88 | 1.00 | 31.67 | 15.83 | 1.00 | 27.05 | 13.52 | 1.00 | |||||||
| CEDAR | CLASS 4 | 129.47 | 64.74 | 1.00 | 129.47 | 64.74 | 1.00 | 129.60 | 64.80 | 1.00 | 104.71 | 52.35 | 1.00 | 107.23 | 53.61 | 1.00 | |||
| CLASS 5 | 126.60 | 63.30 | 1.00 | 126.60 | 63.30 | 1.00 | 126.74 | 63.37 | 1.00 | 101.84 | 50.92 | 1.00 | 104.36 | 52.18 | 1.00 | ||||
| CLASS 6 | 123.53 | 61.77 | 1.00 | 123.53 | 61.77 | 1.00 | 123.67 | 61.84 | 1.00 | 98.77 | 49.38 | 1.00 | 101.28 | 50.64 | 1.00 | ||||
| HEMLOCK | CLASS 4 | 7.55 | 3.78 | 1.00 | 7.55 | 3.78 | 1.00 | 20.69 | 10.34 | 1.00 | 3.42 | 1.71 | 1.00 | 4.24 | 2.12 | 1.00 | |||
| CLASS 5 | 4.68 | 2.34 | 1.00 | 4.68 | 2.34 | 1.00 | 17.83 | 8.91 | 1.00 | 1.00 | .50 | 1.00 | 1.37 | 0.69 | 1.00 | ||||
| CLASS 6 | 1.61 | 0.81 | 1.00 | 1.61 | 0.81 | 1.00 | 14.76 | 7.38 | 1.00 | 1.00 | .50 | 1.00 | 1.00 | .50 | 1.00 | ||||
| SPRUCE | CLASS 4 | 78.24 | 39.12 | 1.00 | 78.24 | 39.12 | 1.00 | 63.32 | 31.66 | 1.00 | 58.50 | 29.25 | 1.00 | 52.98 | 26.49 | 1.00 | 57.12 | 28.56 | 1.00 |
| CLASS 5 | 75.37 | 37.69 | 1.00 | 75.37 | 37.69 | 1.00 | 60.46 | 30.23 | 1.00 | 55.63 | 27.81 | 1.00 | 50.11 | 25.06 | 1.00 | 54.24 | 27.13 | 1.00 | |
| CLASS 6 | 72.30 | 36.15 | 1.00 | 72.30 | 36.15 | 1.00 | 57.39 | 28.69 | 1.00 | 52.56 | 26.28 | 1.00 | 47.04 | 23.52 | 1.00 | 51.17 | 25.59 | 1.00 | |
| BALSAM | CLASS 4 | 60.10 | 30.05 | 1.00 | 60.10 | 30.05 | 1.00 | 36.81 | 18.40 | 1.00 | 45.50 | 22.75 | 1.00 | 40.41 | 20.21 | 1.00 | 41.91 | 20.95 | 1.00 |
| CLASS 5 | 57.23 | 28.62 | 1.00 | 57.23 | 28.62 | 1.00 | 33.95 | 16.97 | 1.00 | 42.63 | 21.32 | 1.00 | 37.54 | 18.77 | 1.00 | 39.04 | 19.52 | 1.00 | |
| CLASS 6 | 54.16 | 27.08 | 1.00 | 54.16 | 27.08 | 1.00 | 30.88 | 15.44 | 1.00 | 39.56 | 19.78 | 1.00 | 34.47 | 17.24 | 1.00 | 35.96 | 17.98 | 1.00 | |
| WHITE PINE | CLASS 4 | 34.94 | 17.47 | 1.00 | 34.94 | 17.47 | 1.00 | 21.69 | 10.85 | 1.00 | 20.51 | 10.25 | 1.00 | ||||||
| CLASS 5 | 32.07 | 16.04 | 1.00 | 32.07 | 16.04 | 1.00 | 18.82 | 9.41 | 1.00 | 17.64 | 8.82 | 1.00 | |||||||
| CLASS 6 | 29.00 | 14.50 | 1.00 | 29.00 | 14.50 | 1.00 | 15.75 | 7.88 | 1.00 | 14.56 | 7.28 | 1.00 | |||||||
| LODGEPOLE PINE | CLASS 4 | 62.54 | 31.27 | 1.00 | 62.54 | 31.27 | 1.00 | 59.37 | 29.69 | 1.00 | 47.87 | 23.93 | 1.00 | 53.39 | 26.69 | 1.00 | 43.95 | 21.97 | 1.00 |
| CLASS 5 | 59.67 | 29.84 | 1.00 | 59.67 | 29.84 | 1.00 | 56.51 | 28.25 | 1.00 | 45.00 | 22.50 | 1.00 | 50.52 | 25.26 | 1.00 | 41.08 | 20.54 | 1.00 | |
| CLASS 6 | 56.60 | 28.30 | 1.00 | 56.60 | 28.30 | 1.00 | 53.44 | 26.72 | 1.00 | 41.93 | 20.96 | 1.00 | 47.45 | 23.72 | 1.00 | 38.00 | 19.00 | 1.00 | |
| YELLOW PINE | CLASS 4 | 42.35 | 21.18 | 1.00 | 42.35 | 21.18 | 1.00 | 26.56 | 13.28 | 1.00 | |||||||||
| CLASS 5 | 39.48 | 19.74 | 1.00 | 39.48 | 19.74 | 1.00 | 23.69 | 11.84 | 1.00 | ||||||||||
| CLASS 6 | 36.41 | 18.21 | 1.00 | 36.41 | 18.21 | 1.00 | 20.61 | 10.30 | 1.00 | ||||||||||
| LARCH | CLASS 4 | 35.40 | 17.70 | 1.00 | 35.40 | 17.70 | 1.00 | 29.10 | 14.55 | 1.00 | 24.25 | 12.12 | 1.00 | ||||||
| CLASS 5 | 32.53 | 16.26 | 1.00 | 32.53 | 16.26 | 1.00 | 26.23 | 13.11 | 1.00 | 21.38 | 10.69 | 1.00 | |||||||
| CLASS 6 | 29.46 | 14.73 | 1.00 | 29.46 | 14.73 | 1.00 | 23.16 | 11.58 | 1.00 | 18.30 | 9.15 | 1.00 | |||||||
| DECIDUOUS | CLASS 4 | 10.00 | 5.00 | 1.00 | 10.00 | 5.00 | 1.00 | 10.00 | 5.00 | 1.00 | 10.00 | 5.00 | 1.00 | 10.00 | 5.00 | 1.00 | 10.00 | 5.00 | 1.00 |
| CLASS 5 | 7.50 | 3.75 | 1.00 | 7.50 | 3.75 | 1.00 | 7.50 | 3.75 | 1.00 | 7.50 | 3.75 | 1.00 | 7.50 | 3.75 | 1.00 | 7.50 | 3.75 | 1.00 | |
| CLASS 6 | 5.00 | 2.50 | 1.00 | 5.00 | 2.50 | 1.00 | 5.00 | 2.50 | 1.00 | 5.00 | 2.50 | 1.00 | 5.00 | 2.50 | 1.00 | 5.00 | 2.50 | 1.00 | |
| OTHER SPECIES | CLASS 4 | 7.55 | 3.78 | 1.00 | 7.55 | 3.78 | 1.00 | 20.69 | 10.34 | 1.00 | 3.42 | 1.71 | 1.00 | 4.24 | 2.12 | 1.00 | |||
| CLASS 5 | 4.68 | 2.34 | 1.00 | 4.68 | 2.34 | 1.00 | 17.83 | 8.91 | 1.00 | 1.00 | 0.50 | 1.00 | 1.37 | 0.69 | 1.00 | ||||
| CLASS 6 | 1.61 | 0.81 | 1.00 | 1.61 | 0.81 | 1.00 | 14.76 | 7.38 | 1.00 | 1.00 | 0.50 | 1.00 | 1.00 | 0.50 | 1.00 | ||||
| CHRISTMAS TREES ($/TREE) | CLASS 4 | 2.50 | 2.50 | 2.50 | 2.50 | 2.50 | 2.50 | ||||||||||||
| CLASS 5 | 2.25 | 2.25 | 2.25 | 2.25 | 2.25 | 2.25 | |||||||||||||
| CLASS 6 | 2.00 | 2.00 | 2.00 | 2.00 | 2.00 | 2.00 | |||||||||||||
Schedule D BEFORE re-enacted by BC Reg 242/2017, effective December 20, 2017.
[en. B.C. Reg. 318/2016, s. 3.]
2017 and SUBSEQUENT ASSESSMENT YEARS SCHEDULE of CUT TIMBER VALUES for MANAGED FOREST LAND — ASSESSMENT ACT — sec. 24 (9)
| SPECIES | ACCESSIBILITY | 2017 VALUE of CUT TIMBER by GRADE for VALUATION AREA in $ PER CUBIC METRE ($/m3) | |||||||||||||||||
| VALUATION AREA | |||||||||||||||||||
| THOMPSON-OKANAGAN (3) | KOOTENAY-BOUNDARY (4) | SKEENA (5) | OMINECA (6) | NORTHEAST (7) | CARIBOO (8) | ||||||||||||||
| Grade Code: | Grade Code: | Grade Code: | Grade Code: | Grade Code: | Grade Code: | ||||||||||||||
| Sawlog | 4 | 6 | Sawlog | 4 | 6 | Sawlog | 4 | 6 | Sawlog | 4 | 6 | Sawlog | 4 | 6 | Sawlog | 4 | 6 | ||
| FIR | CLASS 4 | 34.55 | 17.28 | 1.00 | 34.55 | 17.28 | 1.00 | 25.32 | 12.66 | 1.00 | 21.31 | 10.66 | 1.00 | ||||||
| CLASS 5 | 31.45 | 15.73 | 1.00 | 31.45 | 15.73 | 1.00 | 22.22 | 11.11 | 1.00 | 18.21 | 9.11 | 1.00 | |||||||
| CLASS 6 | 28.13 | 14.07 | 1.00 | 28.13 | 14.07 | 1.00 | 18.90 | 9.45 | 1.00 | 14.88 | 7.44 | 1.00 | |||||||
| CEDAR | CLASS 4 | 168.85 | 84.42 | 1.00 | 168.85 | 84.42 | 1.00 | 165.10 | 82.55 | 1.00 | 138.44 | 69.22 | 1.00 | 139.00 | 69.50 | 1.00 | |||
| CLASS 5 | 165.75 | 82.87 | 1.00 | 165.75 | 82.87 | 1.00 | 162.01 | 81.00 | 1.00 | 135.34 | 67.67 | 1.00 | 135.89 | 67.95 | 1.00 | ||||
| CLASS 6 | 162.43 | 81.21 | 1.00 | 162.43 | 81.21 | 1.00 | 158.69 | 79.34 | 1.00 | 132.02 | 66.01 | 1.00 | 132.56 | 66.28 | 1.00 | ||||
| HEMLOCK | CLASS 4 | 2.93 | 1.46 | 1.00 | 2.93 | 1.46 | 1.00 | 15.26 | 7.63 | 1.00 | 1.00 | 0.50 | 1.00 | 1.00 | 0.50 | 1.00 | |||
| CLASS 5 | 1.00 | 0.50 | 1.00 | 1.00 | 0.50 | 1.00 | 12.16 | 6.08 | 1.00 | 1.00 | 0.50 | 1.00 | 1.00 | 0.50 | 1.00 | ||||
| CLASS 6 | 1.00 | 0.50 | 1.00 | 1.00 | 0.50 | 1.00 | 8.84 | 4.42 | 1.00 | 1.00 | 0.50 | 1.00 | 1.00 | 0.50 | 1.00 | ||||
| SPRUCE | CLASS 4 | 70.88 | 35.44 | 1.00 | 70.88 | 35.44 | 1.00 | 52.59 | 26.30 | 1.00 | 48.24 | 24.12 | 1.00 | 40.00 | 20.00 | 1.00 | 48.92 | 24.46 | 1.00 |
| CLASS 5 | 67.77 | 33.89 | 1.00 | 67.77 | 33.89 | 1.00 | 49.50 | 24.75 | 1.00 | 45.14 | 22.57 | 1.00 | 36.89 | 18.45 | 1.00 | 45.82 | 22.91 | 1.00 | |
| CLASS 6 | 64.46 | 32.23 | 1.00 | 64.46 | 32.23 | 1.00 | 46.18 | 23.09 | 1.00 | 41.82 | 20.91 | 1.00 | 33.57 | 16.79 | 1.00 | 42.49 | 21.25 | 1.00 | |
| BALSAM | CLASS 4 | 53.27 | 26.64 | 1.00 | 53.27 | 26.64 | 1.00 | 35.26 | 17.63 | 1.00 | 35.88 | 17.94 | 1.00 | 28.37 | 14.18 | 1.00 | 34.28 | 17.14 | 1.00 |
| CLASS 5 | 50.17 | 25.09 | 1.00 | 50.17 | 25.09 | 1.00 | 32.17 | 16.08 | 1.00 | 32.78 | 16.39 | 1.00 | 25.27 | 12.63 | 1.00 | 31.18 | 15.59 | 1.00 | |
| CLASS 6 | 46.85 | 23.43 | 1.00 | 46.85 | 23.43 | 1.00 | 28.85 | 14.42 | 1.00 | 29.46 | 14.73 | 1.00 | 21.95 | 10.97 | 1.00 | 27.85 | 13.92 | 1.00 | |
| WHITE PINE | CLASS 4 | 28.34 | 14.17 | 1.00 | 28.34 | 14.17 | 1.00 | 12.67 | 6.33 | 1.00 | 13.13 | 6.56 | 1.00 | ||||||
| CLASS 5 | 25.24 | 12.62 | 1.00 | 25.24 | 12.62 | 1.00 | 9.57 | 4.78 | 1.00 | 10.03 | 5.01 | 1.00 | |||||||
| CLASS 6 | 21.92 | 10.96 | 1.00 | 21.92 | 10.96 | 1.00 | 6.25 | 3.12 | 1.00 | 6.70 | 3.35 | 1.00 | |||||||
| LODGEPOLE PINE | CLASS 4 | 55.69 | 27.84 | 1.00 | 55.69 | 27.84 | 1.00 | 48.82 | 24.41 | 1.00 | 38.23 | 19.11 | 1.00 | 39.92 | 19.96 | 1.00 | 36.34 | 18.17 | 1.00 |
| CLASS 5 | 52.58 | 26.29 | 1.00 | 52.58 | 26.29 | 1.00 | 45.72 | 22.86 | 1.00 | 35.12 | 17.56 | 1.00 | 36.82 | 18.41 | 1.00 | 33.24 | 16.62 | 1.00 | |
| CLASS 6 | 49.27 | 24.63 | 1.00 | 49.27 | 24.63 | 1.00 | 42.41 | 21.20 | 1.00 | 31.80 | 15.90 | 1.00 | 33.50 | 16.75 | 1.00 | 29.91 | 14.95 | 1.00 | |
| YELLOW PINE | CLASS 4 | 35.34 | 17.67 | 1.00 | 35.34 | 17.67 | 1.00 | 18.74 | 9.37 | 1.00 | |||||||||
| CLASS 5 | 32.23 | 16.12 | 1.00 | 32.23 | 16.12 | 1.00 | 15.64 | 7.82 | 1.00 | ||||||||||
| CLASS 6 | 28.92 | 14.46 | 1.00 | 28.92 | 14.46 | 1.00 | 12.31 | 6.16 | 1.00 | ||||||||||
| LARCH | CLASS 4 | 32.31 | 16.16 | 1.00 | 32.31 | 16.16 | 1.00 | 17.77 | 8.89 | 1.00 | 13.00 | 6.50 | 1.00 | ||||||
| CLASS 5 | 29.21 | 14.60 | 1.00 | 29.21 | 14.60 | 1.00 | 14.67 | 7.34 | 1.00 | 9.89 | 4.95 | 1.00 | |||||||
| CLASS 6 | 25.89 | 12.95 | 1.00 | 25.89 | 12.95 | 1.00 | 11.35 | 5.68 | 1.00 | 6.56 | 3.28 | 1.00 | |||||||
| DECIDUOUS | CLASS 4 | 10.00 | 5.00 | 1.00 | 10.00 | 5.00 | 1.00 | 10.00 | 5.00 | 1.00 | 10.00 | 5.00 | 1.00 | 10.00 | 5.00 | 1.00 | 10.00 | 5.00 | 1.00 |
| CLASS 5 | 7.50 | 3.75 | 1.00 | 7.50 | 3.75 | 1.00 | 7.50 | 3.75 | 1.00 | 7.50 | 3.75 | 1.00 | 7.50 | 3.75 | 1.00 | 7.50 | 3.75 | 1.00 | |
| CLASS 6 | 5.00 | 2.50 | 1.00 | 5.00 | 2.50 | 1.00 | 5.00 | 2.50 | 1.00 | 5.00 | 2.50 | 1.00 | 5.00 | 2.50 | 1.00 | 5.00 | 2.50 | 1.00 | |
| OTHER SPECIES | CLASS 4 | 2.93 | 1.46 | 1.00 | 2.93 | 1.46 | 1.00 | 15.26 | 7.63 | 1.00 | 1.00 | 0.50 | 1.00 | 1.00 | 0.50 | 1.00 | |||
| CLASS 5 | 1.00 | 0.50 | 1.00 | 1.00 | 0.50 | 1.00 | 12.16 | 6.08 | 1.00 | 1.00 | 0.50 | 1.00 | 1.00 | 0.50 | 1.00 | ||||
| CLASS 6 | 1.00 | 0.50 | 1.00 | 1.00 | 0.50 | 1.00 | 8.84 | 4.42 | 1.00 | 1.00 | 0.50 | 1.00 | 1.00 | 0.50 | 1.00 | ||||
| CHRISTMAS TREES ($/TREE) | CLASS 4 | 2.50 | 2.50 | 2.50 | 2.50 | 2.50 | 2.50 | ||||||||||||
| CLASS 5 | 2.25 | 2.25 | 2.25 | 2.25 | 2.25 | 2.25 | |||||||||||||
| CLASS 6 | 2.00 | 2.00 | 2.00 | 2.00 | 2.00 | 2.00 | |||||||||||||
Schedule D BEFORE re-enacted by BC Reg 280/2018, effective December 14, 2018.
[en. B.C. Reg. 242/2017, s. 2.]

Schedule D BEFORE re-enacted by BC Reg 280/2019, effective December 18, 2019.
[en. B.C. Reg. 280/2018, s. 2.]

Schedule D BEFORE re-enacted by BC Reg 296/2020, effective December 21, 2020.
[en. B.C. Reg. 280/2019, s. 2.]

Schedule D BEFORE re-enacted by BC Reg 311/2021, effective December 1, 2021.
[en. B.C. Reg. 296/2020, s. 2.]

Schedule D BEFORE re-enacted by BC Reg 257/2022, effective December 1, 2022.
[en. B.C. Reg. 311/2021, s. 2.]

Schedule D BEFORE re-enacted by BC Reg 250/2023, effective December 1, 2023.
[en. B.C. Reg. 257/2022, s. 2.]

Schedule D BEFORE re-enacted by BC Reg 284/2024, effective December 16, 2024.
[en. B.C. Reg. 250/2023, s. 2.]




