| Copyright © Queen's Printer, Victoria, British Columbia, Canada |
Licence
Disclaimer |
||
|
|||
B.C. Reg. 52/2009, deposited March 2, 2009, pursuant to the PUBLIC HEALTH ACT [Sections 117 and 118]. Order in Council 129/2009, approved and ordered February 27, 2009.
On the recommendation of the undersigned, the Administrator, by and with the advice and consent of the Executive Council, orders that, effective March 31, 2009, the attached Public Health Inspections and Orders Regulation is made.
— M. POLAK, Minister of Healthy Living and Sport; S. BOND, Presiding Member of the Executive Council.
PUBLIC HEALTH INSPECTIONS
AND ORDERS REGULATION
| Contents | ||
| 1 | Definition | |
| 2 | Recovery of costs by healthauthorities | |
| 3 | Service of orders | |
| 4 | Reassessment of orders | |
| 5 | Applications to court | |
| 6 | Certificates of danger to publichealth | |
| Schedule | ||
1 In this regulation, "Act" means the Public Health Act.
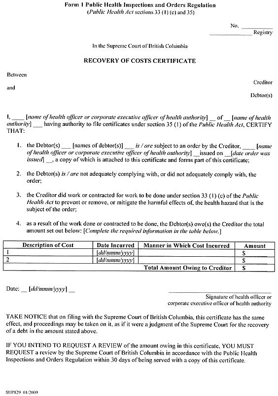
2 (1) If a health officer or health authority does work or contracts for work to be done under section 33 (1) (c) [ordering others to comply and entering to take action] of the Act, the health officer or health authority May recover reasonable costs from the person who was subject to the original order by filing in the Supreme Court a certificate in the form set out as Form 1 of the Schedule.
(2) A certificate May be served personally on, or by registered mail sent to the last known address of, the person who was subject to the original order.
(3) If a certificate is sent by registered mail, the certificate is deemed to be served on the person to whom it is addressed on the 14th day after deposit with Canada Post unless the person received actual service before that day.
(4) On receiving a certificate, the person who was subject to the original order May request the Supreme Court to review the amount owing by filing an application in accordance with the Rules of Court.
(5) A review must be a review of the reasonableness of the costs of the work done only and not a review of the reasonableness of the original order.
(6) A decision of the Supreme Court under this section is final and is not subject to appeal.
3 (1) Orders and notices of variations of orders May be served on a person who is affected by the order or notice as follows:
(a) personally;
(b) by registered mail sent to the person's last known address;
(c) by electronic mail sent to the person's last known electronic mail address;
(d) if the order is in respect of a place, by posting it at a conspicuous location on the place;
(e) if the order is in respect of a class of persons, by
(i) delivering it to each person in the class through one or more of the methods set out in paragraphs (a), (b) or (c), or
(ii) if, in the opinion of a medical health officer, delivery to each person would be impractical in the circumstances or would be likely to cause a delay that could significantly increase the risk to the health of any person, by both delivering the notice by any communications media and posting the order at the location where it is most likely to be brought to the attention of the members of the class.
(2) If an order or notice is sent by registered mail, the order or notice is deemed to be served on the person to whom it is addressed on the 14th day after deposit with Canada Post unless the person received actual service before that day.
(3) Subject to subsection (4), if an order or notice is sent by electronic mail, the order or notice is not effectively served unless all of the following conditions are met:
(a) the person who is subject to the order or notice confirms that the order or notice was received;
(b) the confirmation is made
(i) both verbally and by electronic mail,
(ii) by fax, including the person's signature, or
(iii) in writing, including the person's signature;
(c) the confirmation is received by the person who served the order or notice, or a person acting on his or her behalf, no later than 96 hours after the electronic message was sent.
(4) Subsection (3) (c) does not apply if the person who is the subject of the order confirms, in writing, after the expiry of the 96 hour period that the order
(a) was received by the person, and
(b) is effectively served.
4 (1) A person May request reassessment of an order under section 45 of the Act only if the person is affected by an order made under section 29 (2) (a) [to remain in a place or not enter a place] or (g) [to take preventive measures] of the Act.
(2) The request must be made in writing to the medical health officer who issued the order, stating the reasons why the order should be reassessed.
(3) Within 72 hours of receiving a request for reassessment, a medical health officer must consider whether the order is, or conditions within the order are, no longer necessary to protect public health.
(4) On reassessment, a medical health officer must take into account any comments made
(a) by a person specified in the order under section 29 (2) (c) to (f) of the Act, and
(b) respecting the clinical condition of the person affected by the order, by a health care professional having the supervision or care of that person.
(5) A second request for reassessment May be made in accordance with subsection (2) not earlier than 7 days following the first request.
(6) A third or subsequent request for reassessment May be made in accordance with subsection (2) not earlier than 14 days following the previous request.
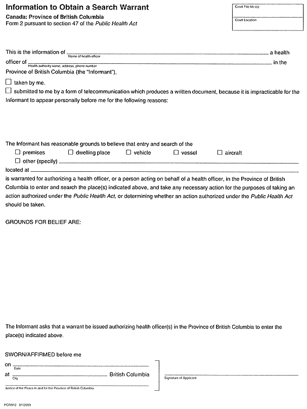
5 (1) An application to court May be made by submitting information on oath in the following form:
(a) for a warrant under section 47 of the Act, Form 2 of the Schedule;
(b) for an order described in section 49 (3) or (4) [protect public health] of the Act, Form 3 of the Schedule.
(2) An application for a warrant under section 47 of the Act May be made
(a) in person, or
(b) if the health officer making the application believes it would be impracticable to appear in person, by telephone or other means of telecommunication.
(3) A warrant May be issued in the following form:
(a) for a warrant under section 47 of the Act, Form 4 of the Schedule;
(b) for a warrant under section 49 (4) of the Act, Form 5 of the Schedule;
(c) for a warrant under section 50 (4) of the Act, Form 6 of the Schedule.
(4) An application to court for
(a) an injunction under section 48 of the Act, or
(b) an order described in section 50 (3) or (4) [protect personal health] of the Act
May be made by filing an application in accordance with the Rules of Court.
6 A medical health officer May detain a person under section 49 (5) [detention by medical health officer to protect public health] of the Act by signing a certificate as set out in Form 7 of the Schedule.
[sections 2, 5 and 6 — applications to court and certificates of danger to public health]








Copyright © 2009: Queen's Printer, Victoria, British Columbia, Canada