| Copyright © King's Printer, Victoria, British Columbia, Canada | Licence Disclaimer |
| B.C. Reg. 71/2015 O.C. 219/2015 | Deposited May 11, 2015 effective September 30, 2015 |
[Last amended December 31, 2022 by B.C. Reg. 196/2022]
"accessible going concern excess",
(a) in the case of a pension plan that is not a divisional multi-employer plan, means the plan's accessible going concern excess, or
(b) in the case of a divisional multi-employer plan, means, in relation to a participating employer in the plan, the participating employer's accessible going concern excess;
"accessible solvency excess",
(a) in the case of a pension plan that is not a divisional multi-employer plan, means the plan's accessible solvency excess, or
(b) in the case of a divisional multi-employer plan, means, in relation to a participating employer in the plan, the participating employer's accessible solvency excess;
"Act" means the Pension Benefits Standards Act;
"actuarial gain", in relation to a benefit formula component of a pension plan, means the amount that represents the improvement between the projected financial position of the plan component and the actual financial position of the plan component;
"actuarial valuation report", in relation to a pension plan, means a report filed in relation to the plan under section 38 (1) (b) (i) of the Act and referred to in section 46 of this regulation;
"additional voluntary contributions account", in relation to a member of a pension plan, means
(a) the additional voluntary contributions made to the plan by the member,
(b) the interest allocated to the account, and
(c) administration expenses and other money deducted by payment, transfer or withdrawal from the money referred to in paragraphs (a) and (b);
"annual information return", in relation to a pension plan, means a return referred to in section 38 (1) (a) of the Act and section 44 of this regulation that relates to the plan;
"benefit formula component" means
(a) a defined benefit component, or
(b) a target benefit component;
"benefit formula member-required contributions balance", in relation to a member of a pension plan who is or will be entitled to receive benefits from a benefit formula component of the plan, means the amount that, as at any date, is determined by adding
(a) the member-required contributions made to the plan by the member to that date for application to the benefit formula component of the plan, and
(b) the interest earned on those contributions;
"CANSIM rate", in relation to a period of not more than 12 months for which interest is payable, means, except in section 69, the rate of interest on long-term bonds issued by the government of Canada for the month of November preceding the calendar year in relation to which the withdrawal factor is being calculated, published by the Bank of Canada in the Canadian Socio-Economic Information Management System (CANSIM) Series V122487;
"cost certificate", in relation to a pension plan, means a certificate filed in relation to the plan under section 38 (1) (b) (ii) of the Act and referred to in section 46 of this regulation;
"current actuarial valuation report", in relation to a pension plan, means the actuarial valuation report most recently filed in relation to the plan;
"defined benefit component", in relation to a pension plan of which the plan text document contains a defined benefit provision, means the portion of the plan that relates to the defined benefit provision, including, without limitation, the assets and liabilities of the plan that relate to that provision;
"defined contribution account", in relation to a member of a pension plan who is or will be entitled to receive benefits under a defined contribution provision of the plan, means
(a) the contributions, other than additional voluntary contributions, made to the plan by or on behalf of the member for application to the defined contribution component of the plan,
(b) the interest allocated to the account, and
(c) administration expenses and other money deducted by payment, transfer or withdrawal from the money referred to in paragraphs (a) and (b);
"defined contribution component", in relation to a pension plan of which the plan text document contains a defined contribution provision, means the portion of the plan that relates to the defined contribution provision, including, without limitation, the assets and liabilities of the plan that relate to that provision;
"divisional multi-employer plan" means
(a) a non-collectively bargained multi-employer plan, or
(b) a collectively bargained multi-employer plan, other than a collectively bargained multi-employer plan that is a specified multi-employer plan within the meaning of section 147.1 of the Income Tax Act (Canada);
"federal Schedule III" means Schedule III to the Pension Benefits Standards Regulations, 1985 (Canada), SOR/87-19, as amended from time to time;
"fiscal year", in relation to a pension plan, means the fiscal year of the pension plan determined in accordance with section 11 of the Act;
"going concern assets value", in relation to a benefit formula component, means the value of the assets of the component, including income due and accrued, which value is determined on a going concern basis;
"going concern basis" means a basis for determining the value of plan assets and liabilities that
(a) is adequate and appropriate,
(b) is in accordance with accepted actuarial practice, and
(c) applies to the plan if no decision has been made to terminate the plan;
"going concern funded ratio", in relation to a defined benefit component or target benefit component, means the fraction obtained by dividing the component's going concern assets value by the component's going concern liabilities value;
"going concern liabilities value", in relation to a benefit formula component, means the actuarial present value of the accrued benefits of the component, including amounts due and unpaid, which actuarial present value is determined on a going concern basis;
"going concern valuation", in relation to a benefit formula component, means a valuation of the component's assets and liabilities, prepared on a going concern basis;
"investment" means the investment of the assets of a pension plan and includes loans and deposits of those assets;
"life income type benefits account" means,
(a) in the case of a life income type benefits account of a member, the amount elected by the member under section 74 (5) plus any amounts transferred by the member under section 74 (7), or, in the case of a life income type benefits account of a surviving spouse, the amount referred to in section 74 (9),
(b) the interest allocated to the account, and
(c) administration expenses and other money deducted by payment, transfer or withdrawal from the money referred to in paragraphs (a) and (b);
"life income type benefits balance", in relation to a person's life income type benefits account, means,
(a) in the calendar year in which the account is established, the balance of the person's life income type benefits account as at the date on which the account is established, and
(b) in every subsequent calendar year, the balance of the person's life income type benefits account as at January 1 of the calendar year in which the calculation is made;
"life income type benefits maximum amount", in relation to the life income type benefits that may be paid to a person in a calendar year, means the greatest of
(a) the investment returns for the most recently completed calendar year for the person's life income type benefits account,
(b) the life income type benefits minimum amount applicable to the person's account for that year, and
(c) the amount determined by dividing the life income type benefits balance by the withdrawal factor;
"life income type benefits minimum amount", in relation to the life income type benefits that may be paid to a person in a calendar year, means the minimum amount of life income type benefits that, under the Income Tax Regulations (Canada), is required to be paid out of the person's life income type benefits account in that year;
"locked-in money" means
(a) money the withdrawal, surrender or receipt of which is restricted under section 68 of the Act,
(b) money to which paragraph (a) applies that has been transferred out of a pension plan
(i) to one or more locked-in vehicles, and any interest on that money, or
(ii) to an insurance company to purchase an annuity that is permitted under the Act,
(c) money in a locked-in retirement account that was deposited into the locked-in retirement account under section 105 (1) of this regulation or paid to the locked-in retirement account issuer under section 105 (2) or (3) (b), and
(d) money in a life income fund that was deposited into the life income fund under section 124 (1) of this regulation or paid to the life income fund issuer under section 124 (2) or (3) (b);
"locked-in vehicle" means a locked-in retirement account or a life income fund;
"member-required contribution", in relation to a pension plan that is not a jointly sponsored plan, means a contribution made by a member other than a contribution referred to in section 57 (3) of the Act;
"normal actuarial cost", in relation to a benefit formula component of a pension plan in a fiscal year of the plan, means an amount, excluding special payments, estimated by a reviewer, on a going concern basis, to be the cost of the component benefits that accrue to active members in that fiscal year of the plan;
"optional ancillary contributions account", in relation to a member of a pension plan, means
(a) the optional ancillary contributions made to the plan by the member,
(b) the interest allocated to the account, and
(c) administration expenses and other money deducted by payment, transfer or withdrawal from the money referred to in paragraphs (a) and (b);
"participating employer's accessible going concern excess" means,
(a) in relation to each participating employer in a divisional multi-employer plan and to defined benefit components of that plan being funded by the participating employer, the amount by which the participating employer's share of the going concern assets values of those components exceeds 105% of the participating employer's share of the amount determined by the following formula:
| the going concern liabilities values of the defined benefit components | + | the going concern liabilities values of the defined benefit components | × PfAD |
as the going concern assets values and the going concern liabilities values are determined in the current actuarial valuation report, or
(b) in relation to each participating employer in a divisional multi-employer plan and to target benefit components of that plan being funded by the participating employer, the amount by which the participating employer's share of the going concern assets values of those components exceeds the participating employer's share of the amount determined by the following formula:
| the going concern liabilities values of the target benefit components | + | the going concern liabilities values of the target benefit components | × PfAD | − PfAD offset, |
as the going concern assets values and the going concern liabilities values are determined in the current actuarial valuation report;
"participating employer's accessible solvency excess", in relation to a participating employer in a divisional multi-employer plan and to defined benefit components of the plan funded by the participating employer, means the amount by which the participating employer's share of the solvency assets values of those defined benefit components exceeds 105% of the participating employer's share of the solvency liabilities values of those components, as those values are determined in the current actuarial valuation report;
"PfAD" or "provision for adverse deviation" has the meaning set out in the following sections, as applicable:
(a) in relation to a defined benefit component, section 1.1;
(b) in relation to a target benefit component, section 2;
"PfAD offset", in relation to a target benefit component, means the sum of
(a) the amount, if any, by which the actuarial present value of component contributions exceeds the component's adjusted normal actuarial cost,
| where | |||
| "actuarial present value of component contributions" means the actuarial present value of the contributions that, in the current actuarial valuation report for the plan, are anticipated to be made in the period covered by the actuarial valuation report for application to the target benefit component, and | |||
| "component's adjusted normal actuarial cost" means the sum of | |||
| (A) | the normal actuarial cost estimated in relation to the component for the period covered by the actuarial valuation report, and | ||
| (B) | the amount referred to in clause (A) multiplied by the PfAD, and | ||
(b) the amount, if any, by which the market value of the component's assets exceeds the component's going concern assets value;
"plan component" means
(a) a defined benefit component,
(b) a target benefit component, or
(c) a defined contribution component;
"plan provision" means
(a) a defined benefit provision,
(b) a target benefit provision, or
(c) a defined contribution provision;
"plan termination basis" means a basis for determining the value of plan assets and liabilities that
(a) is adequate and appropriate,
(b) is in accordance with accepted actuarial practice, and
(c) either, as the case may be,
(i) would have applied to the plan if the plan had terminated as at the most recent review date, or
(ii) applies to the plan if the plan is terminating as at the effective date of termination of the plan;
"plan's accessible going concern excess",
(a) in relation to the defined benefit components of a pension plan other than a divisional multi-employer plan, means the amount by which the going concern assets values of the defined benefit components exceed 105% of the amount determined by the following formula:
| the going concern liabilities values of the defined benefit components | + | the going concern liabilities values of the defined benefit components | × PfAD |
as the going concern assets values and the going concern liabilities values are determined in the current actuarial valuation report, or
(b) in relation to the target benefit components of a pension plan other than a divisional multi-employer plan, means the amount by which the going concern assets values of the target benefit components exceed the amount determined by the following formula:
| the going concern liabilities values of the target benefit components | + | the going concern liabilities values of the target benefit components | × PfAD | − PfAD offset, |
as the going concern assets values and the going concern liabilities values are determined in the current actuarial valuation report;
"plan's accessible solvency excess", in relation to the defined benefit components of a pension plan other than a divisional multi-employer plan, means the amount by which the solvency assets values of the defined benefit components of the plan exceed 105% of the solvency liabilities values of the defined benefit components of the plan, as those values are determined in the current actuarial valuation report;
"review" means the preparation, in accordance with section 38 (1) (b) of the Act, of an actuarial valuation report and a cost certificate in relation to a plan;
"review date", in relation to a review, means the date as at which the actuarial valuation report and related cost certificate is or was required to be prepared;
"reviewer" means the Fellow of the Canadian Institute of Actuaries who prepares a review;
"solvency asset adjustment", in relation to a defined benefit component, means the sum of the following:
(a) the sum of the special payments that are required under section 57 (2) (b) in relation to the component over the 5-year period that begins on the latest review date;
(b) the face amount of any prescribed letter of credit, as defined in section 63 (1), issued in relation to the component;
"solvency assets value", in relation to a benefit formula component on any date, means the value of the assets of the component, including income due and accrued, which value is determined on a plan termination basis;
"solvency deficiency",
(a) in relation to a defined benefit component of a plan that has not been terminated, means the amount, if any, by which the component's solvency liabilities value exceeds the sum of the component's solvency assets value and the component's solvency asset adjustment, all values determined as at the latest review date,
(b) in relation to a defined benefit component of a plan that has been terminated, means the amount, if any, by which the component's solvency liabilities value exceeds the component's solvency assets value, both values determined as at
(i) the effective date of the termination of the plan, or
(ii) if a report is required under section 133 (3) or (4), the date as at which under the applicable subsection the report is required to be made, or
(c) in relation to a target benefit component, means the amount, if any, by which the component's solvency liabilities value exceeds the component's solvency assets value, both values determined as at the latest review date;
"solvency liabilities value", in relation to a benefit formula component, means the value of the component's liabilities determined on a plan termination basis;
"solvency ratio", in relation to a benefit formula component, means the fraction obtained by dividing the component's solvency assets value by the component's solvency liabilities value, both values determined as at the latest review date;
"special payments" means,
(a) in relation to a defined benefit component, the payments referred to in section 57 (2) (b) or (c) or (3) or 132, or
(b) in relation to a target benefit component, the payments referred to in section 58 (2) (c) or (4);
"supplementary percentage", in relation to a PfAD for a target benefit component of a pension plan, means,
(a) in the case of the component's normal actuarial cost, the percentage of 0% or greater that applies to the component's normal actuarial cost, and
(b) in the case of the component's going concern liabilities value, the percentage of 0% or greater that applies to the component's going concern liabilities value
that the administrator of the plan identifies as appropriate to achieve the expectations described in section 52 (b.1);
"target benefit component", in relation to a pension plan of which the plan text document contains a target benefit provision, means the portion of the plan that relates to the target benefit provision, including, without limitation, the assets and liabilities of the plan that relate to that provision;
"target benefit funded ratio" means the target benefit funded ratio defined in section 79;
"transfer deficiency", in relation to a transfer under Division 7 of Part 8 or section 79 (1) of the Act of the commuted value of a person's benefits under a defined benefit provision, means, in a case where the defined benefit component's solvency ratio is less than 1 as calculated in the current actuarial valuation report, the amount by which the commuted value of the benefits exceeds the product of that commuted value and the component's solvency ratio;
"transferred contributions", in relation to a pension plan, means contributions that
(a) have been transferred to the plan from another plan, a locked-in retirement account or a life income fund,
(b) have not been used to secure improvements in, or to purchase benefits under, a benefit formula provision, and
(c) consist of locked-in money;
"transferred contributions account", in relation to a member of a pension plan, means
(a) the transferred contributions transferred to the plan by or on behalf of the member,
(b) the interest allocated to the account, and
(c) administration expenses and other money deducted by payment, transfer or withdrawal from the money referred to in paragraphs (a) and (b);
"type", in relation to a plan provision, means a type within the meaning of section 92 (2) of the Act;
"unfunded liability", in relation to a benefit formula component, means the amount, if any, by which the component's going concern liabilities value exceeds the component's going concern assets value, both values determined as at the latest review date;
"withdrawal factor", except in Division 3 of Part 9, means the actuarial present value, on January 1 of the calendar year in which the calculation is made, of an annuity of $1, payable at the beginning of each calendar year between that date and December 31 of the calendar year during which the person reaches the age of 90 years, and calculated by using,
(a) for the first 15 calendar years, the greater of the following:
(b) for each calendar year after the first 15 calendar years, 6% per year.
(2) In the Act and this regulation:
"annuity" means, except in the definition of "withdrawal factor" and in section 133 (1) (c), a non-commutable life annuity contract that is issued or issuable by an insurance company;
"medical practitioner" means
(a) a registrant of the College of Physicians and Surgeons of British Columbia entitled under the Health Professions Act to practise medicine and to use the title "medical practitioner", or
(b) a person who is the equivalent, in another province, of a person described in paragraph (a).
(3) For the purposes of section 58 (1) (a) of the Act, "contributions" includes
(a) amounts that a participating employer is required to remit under section 100 of the Act, and
(b) payments that a participating employer is required to make under section 132 (1) of this regulation.
[am. B.C. Regs. 264/2019, s. 1; 196/2022, s. 1.]
1.1 (1) For the purposes of paragraph (a) of the definition of " "PfAD" or "provision for adverse deviation" " in section 1 (1), "PfAD" or "provision for adverse deviation", in relation to a defined benefit component, means,
(a) if the defined benefit component's non-fixed income allocation is 30% or more, the greater of
(ii) the long-term bond rate multiplied by 5, or
(b) if the defined benefit component's non-fixed income allocation is less than 30%, the greater of
(ii) the percentage determined by the following formula:
| (long-term bond rate × 5) × | non-fixed income allocation 30% |
"long-term bond rate" means the monthly yield on long-term government of Canada bonds applicable to the month as at which the review is performed, as determined by reference to the Canadian Socio-Economic Information Management System (CANSIM) Series V122544 compiled by Statistics Canada and available on the website maintained by the Bank of Canada;
"non-fixed income allocation" means the percentage of the target asset allocation of the defined benefit component, as at the review date and as set out in the plan's statement of investment policies and procedures referred to in section 43 (1) of the Act, that is allocated to assets other than the following:
(a) cash on hand issued in Canadian dollars;
(b) money market securities issued in Canadian dollars that are, as at the review date, given
(i) a rating by DBRS Limited of R-2 (middle) or better,
(ii) a rating by Fitch Ratings, Inc. of F-3 or better,
(iii) a rating by Moody's Investors Service of P-3 or better,
(iv) a rating by Standard & Poor's Ratings Services of A-3 or better, or
(A) a credit rating organization designated under the Securities Act by the commission, or
(B) another rating agency recognized by another competent authority in British Columbia or elsewhere;
(c) bond market securities issued in Canadian dollars that are, as at the review date, given
(i) a rating by DBRS Limited of BBB or better,
(ii) a rating by Fitch Ratings, Inc. of BBB- or better,
(iii) a rating by Moody's Investors Service of Baa3 or better,
(iv) a rating by Standard & Poor's Ratings Services of BBB- or better, or
(A) a credit rating organization designated under the Securities Act by the commission, or
(B) another rating agency recognized by another competent authority in British Columbia or elsewhere;
(d) the proportion of mutual, pooled or segregated funds that is allocated to assets referred to in paragraph (b) or (c).
[en. B.C. Reg. 264/2019, s. 2; am. B.C. Reg. 196/2022, s. 2.]
2 For the purposes of paragraph (b) of the definition of " "PfAD" or "provision for adverse deviation" " in section 1 (1), "PfAD" or "provision for adverse deviation", in relation to a target benefit component, means the percentage determined by adding 7.5% and a supplementary percentage.
[en. B.C. Reg. 196/2022, s. 3.]
3 (1) If actuarial excess is being calculated in relation to a solvency reserve account in a defined benefit component of a pension plan for the purposes of section 61, the value of the component assets and the value of the component liabilities are to be calculated on a plan termination basis.
(2) If actuarial excess is being calculated in relation to a defined benefit component of a pension plan for the purposes of section 70 or 71, the value of the component assets and the value of the component liabilities are to be calculated on a going concern basis.
(2.1) If actuarial excess is being calculated in relation to a target benefit component of a pension plan for the purposes of section 63 (3) (c) of the Act,
(a) the value of the component assets and the value of the component liabilities are to be calculated on a going concern basis, and
(b) the actuarial excess is to be calculated in accordance with the definition of "accessible going concern excess" in section 1 (1).
(3) If surplus is being calculated in relation to a benefit formula component of a pension plan for the purposes of section 107 of the Act or section 62 or 70 of this regulation, the value of the component assets and the value of the component liabilities are to be calculated on a plan termination basis.
[am. B.C. Reg. 196/2022, s. 4.]
4 For the purposes of the definition of "initial legislation date" in section 1 (1) of the Act, the following dates are prescribed:
(a) in respect of employment in Alberta, January 1, 1967;
(b) in respect of employment in Manitoba, July 1, 1976;
(c) in respect of employment in New Brunswick, December 31, 1991;
(d) in respect of employment in Newfoundland and Labrador, January 1, 1985;
(e) in respect of employment in the Northwest Territories, October 1, 1967;
(f) in respect of employment in Nova Scotia, January 1, 1977;
(g) in respect of employment in Nunavut, April 1, 1999;
(h) in respect of employment in Ontario, January 1, 1965;
(i) in respect of employment in Quebec, January 1, 1966;
(j) in respect of employment in Saskatchewan, January 1, 1969;
(k) in respect of employment in Yukon, October 1, 1967;
(l) in respect of federally regulated employment, March 23, 1967.
5 For the purposes of paragraph (a) of the definition of "jointly sponsored plan" in section 1 (1) of the Act, the following criteria are prescribed in relation to a pension plan:
(a) the administrator of the plan is a board of trustees, or other similar body acceptable to the superintendent, that has been established under the plan documents to administer the plan;
(b) the number of members of the board or body referred to in paragraph (a) who represent members of the plan is not less than the number of members of that board or body who represent participating employers;
(c) the plan documents set out the methods by which the persons referred to in paragraph (d) of the definition of "jointly sponsored plan" in section 1 (1) of the Act make decisions about
(i) the governance of the plan, and
(ii) the appointment of the administrator of the plan or the appointment or selection of members of the board or body referred to in paragraph (a).
6 For the purposes of the definition of "multilateral jurisdiction" in section 1 (1) of the Act, the following provinces are multilateral jurisdictions:
(d) Newfoundland and Labrador;
7 (1) In this section, "deferred profit sharing plan", "employees profit sharing plan", "money purchase limit" and "retiring allowance" have the same meanings as in the Income Tax Act (Canada).
(2) The following plans, schemes and arrangements are not pension plans for the purposes of the Act and this regulation:
(a) an employees profit sharing plan or a deferred profit sharing plan;
(b) an arrangement to provide a retiring allowance;
(c) a supplemental pension plan of which the plan text document contains a defined benefit provision if, under that provision,
(i) the participating employer is or will be required, or, in the case of a terminated plan, was required, to make contributions on behalf of members, and
(ii) the only benefits to which members are entitled under the supplemental plan are benefits that are in excess of the maximum benefit under the Income Tax Act (Canada);
(d) a supplemental pension plan of which the plan text document contains a defined contribution provision if, under that provision,
(i) the participating employer is or will be required, or, in the case of a terminated plan, was required, to make contributions on behalf of members, and
(ii) the only contributions made in respect of that provision are greater than the money purchase limit under the Income Tax Act (Canada);
(e) benefits insured under a contract issued under the Government Annuities Act (Canada);
8 For the purposes of the definition of "reciprocal jurisdiction" in section 1 (1) of the Act, the following provinces are reciprocal jurisdictions:
(d) Newfoundland and Labrador;
9 (1) The actuarial present value of benefits that a person is or may become entitled to receive under a defined benefit provision must be determined in accordance with the standards of practice issued by the Canadian Institute of Actuaries, as amended from time to time.
(2) The actuarial present value of benefits that a person is or may become entitled to receive under a target benefit provision must be determined in accordance with the actuarial assumptions used in the current actuarial valuation report to determine the going concern liabilities value of the plan.
(3) Subject to subsection (5) and section 57 (5) of the Act, if an active member of a pension plan who is entitled to a benefit under a benefit formula provision of the plan text document of the plan terminates active membership, the commuted value of that benefit must be determined as at the date of the member's termination of active membership.
(4) Subject to subsection (5), if an active or deferred member of a pension plan who is entitled to a benefit under a benefit formula provision of the plan text document of the plan dies before the commuted value of the benefit is paid or transferred, the commuted value of that benefit must be determined as at the date of death.
(5) If the payment or transfer of a benefit under a benefit formula provision occurs more than 180 days after the date on which the commuted value of the benefit was determined, the commuted value of the benefit must be redetermined as at a date that is not more than 30 days before the date of the payment or transfer of that benefit.
10 (1) The following pension plans are exempt from the definition of "multi-employer plan" in section 1 (1) of the Act:
(a) Repealed. [B.C. Reg. 297/2016, App. 2, s. 1 (a).]
(b) University of British Columbia Faculty Pension Plan;
(c) Repealed. [B.C. Reg. 18/2017.]
(d) FortisBC Energy Inc. Pension Plan for IBEW and COPE Members;
(e) Pension Plan for the Regular and Seasonal Employees of Canadian Fishing Company;
(f) Repealed. [B.C. Reg. 297/2016, App. 2, s. 1 (a).]
(g) Salzgitter Mannesmann International (Canada) Inc. Retirement Income Plan.
(2) A pension plan of which the plan text document contains a benefit formula provision is exempt from section 57 of the Act if the benefit formula provision provides for a cost of living adjustment to be applied to a member's benefits from the date of the member's termination of active membership until the member's pension commencement date that will provide for increases of at least 75% of the annual increase in the consumer price index, minus 1%, or any other formula that, in the superintendent's opinion, would provide, on average, comparable increases, subject to the following conditions:
(a) the actuarial present value of the pension, determined on a going concern basis, must not be less than 100% of the member's own contributions, with interest;
(b) the amount calculated under paragraph (a) is not less than zero.
(3) For the purposes of subsection (2),
(a) "consumer price index" means the Consumer Price Index for Canada, as published by Statistics Canada under the authority of the Statistics Act (Canada),
(b) the annual increase of the consumer price index must be calculated by comparison between
(i) the 2 most recent, consecutive 12-month periods, ending with the most recently completed fiscal year of the plan, or
(ii) the most recent month for which data is available and the same month one year earlier, and
(c) to calculate the annual increase of the consumer price index, only one of the methods under paragraph (b) may be selected.
(4) A participating employer that is required under section 132 (2) of this regulation to eliminate a solvency deficiency is exempt from section 58 (1) (a) of the Act in respect of the payments required to be made under section 132 (2) of this regulation that are owing but not due, provided that the employer remains solvent.
(a) a pension plan provides a benefit or allocates surplus or actuarial excess in respect of a person entitled to a benefit, and that benefit or surplus or actuarial excess allocation is in excess of the maximum benefit or the money purchase limit applicable to the plan under the Income Tax Act (Canada), or
(b) the commuted value of a benefit is in excess of the maximum amount that under the Income Tax Regulations (Canada) may be transferred from the plan on behalf of a person to an RRSP, a RRIF or another pension plan,
the person is exempt from section 68 (1) of the Act with respect to the amount of that benefit, surplus, actuarial excess allocation or commuted value that is in excess of that maximum limit.
(a) a member of a pension plan is temporarily employed by a participating employer of that plan in a position in respect of which the participating employer participates in a second pension plan, and
(b) there is an agreement between the administrators of the 2 plans that contributions for the member will be forwarded from the administrator of the second plan to the administrator of the first plan for as long as the member works in the temporary position,
the second plan is exempt from section 68 (1) of the Act in respect of those contributions.
(a) an additional amount of pension is payable from a pension plan after a member's pension commencement date, and
(b) a provision of the plan text document of the plan provides that the additional amount of pension is to cease or be reduced when a pension becomes available or is received under the CPP Act or the QPP Act,
the member and the plan are exempt from section 80 of the Act in respect of the additional amount of pension referred to in paragraph (a).
(8) If the plan text document of a pension plan provides in relation to a defined contribution provision that a member may elect a transfer under Division 7 of Part 8 of the Act to an insurance company to purchase a deferred annuity before the member terminates active membership or reaches the member's pension commencement date, the member is exempt from section 85 of the Act in respect of the commuted value to be transferred.
(8.1) The University of British Columbia Staff Pension Plan is exempt from the following:
(a) section 94 of the Act to the extent provided in paragraphs (b) and (c) of this subsection;
(b) sections 102 to 107 of the Act as prescribed for the purposes of section 94 (a) of the Act;
(c) section 93 (2) of this regulation.
(9) Subject to subsection (10), a pension plan for specified individuals, other than a plan referred to in section 3 of the Act, is exempt from the Act and this regulation, except for the following provisions:
(a) sections 10, 32, 40, 64 to 66, 68, 69, 78 to 81 and 83 and Division 7 of Part 8 of the Act;
(b) sections 48, 72 and 76 to 82 and Part 9 of this regulation.
(10) An exemption under subsection (9) applies only while the pension plan is a designated plan within the meaning of section 8515 (1), (2) and (3) of the Income Tax Regulations (Canada).
(11) In subsection (9), "pension plan for specified individuals" means
(a) a pension plan that is registered under the Income Tax Act (Canada) immediately before the date this subsection comes into force, all of the members of which are specified individuals within the meaning of section 8515 (4) (b) of the Income Tax Regulations (Canada),
(b) a pension plan that is registered under the Income Tax Act (Canada) immediately before the date this subsection comes into force, the membership of which is composed exclusively of specified individuals referred to in paragraph (a) of this subsection and individuals who are connected with the participating employer within the meaning of section 8500 (3) of the Income Tax Regulations (Canada), or
(c) a pension plan the membership of which is described in paragraph (a) or (b), and an application for the registration of which has been made in the manner prescribed under the Income Tax Act (Canada) before the date this subsection comes into force.
(12) to (14) Repealed. [B.C. Reg. 264/2019, s. 4.]
(15) A pension plan to which Schedule 8 applies and a plan contributor, as defined in that Schedule, are exempt from the provisions of the Act and this regulation as set out in Schedule 8, to the extent and on the conditions specified in that Schedule.
(16) A target benefit component of a pension plan to which Schedule 9 applies and a plan contributor, as defined in that Schedule, are exempt from the provisions of the Act and this regulation as set out in Schedule 9, to the extent and on the conditions specified in that Schedule.
[am. B.C. Regs. 245/2016, s. 1; 297/2016, App. 2; 18/2017; 169/2018, s. 1; 264/2019, s. 4; 287/2020, s. 1.]
11 (1) A public sector pension plan is exempt from the Act in respect of a program of post retirement group benefits sponsored under Part 1.2 of Schedule A or Part 2.1 of Schedule B, C or D of the Public Sector Pension Plans Act.
(2) A public sector pension plan is exempt from the following:
(a) sections 8 (1) (h), 36, 39 (c), 48, 52 (2) (a), 56 (3) and (5), 63, 72 (3), 106, and 107 of the Act;
(a.1) section 94 of the Act to the extent provided in paragraphs (b) and (f) of this subsection;
(b) sections 102, 103, 104, 105 (b), 106 and 107 of the Act as prescribed for the purposes of section 94 (a) of the Act;
(c) the definition of "divisional multi-employer plan" in section 1 (1) and sections 28, 30 (4) (c), 31 (3) (c), 33 (4) (c) and (g) (vi), 37 (5) (d) (vi), (e) and (g), 43 (1) (j) and (4) (h), 46 (4) (d), (k), (m) and (q), 53, 55 (6), 57, 65, 66, 71 and 135 of this regulation;
(d) section 29 (3) (e) (i) of this regulation, on the condition that the plan summary referred to in that section contains or is accompanied by an explanation of when and how the administrator may increase contributions to meet the plan's funding requirements;
(e) section 80 of this regulation on the condition that the entire transfer amount is transferred promptly after the application for transfer;
(f) section 93 (2) of this regulation.
[am. B.C. Regs. 297/2016, App. 1; 264/2019, s. 5.]
12 The following provisions apply in respect of a pension plan if all of the members of the plan are connected with the participating employer within the meaning of section 8500 (3) of the Income Tax Regulations (Canada):
(a) sections 10, 32, 40, 64 to 66, 68, 69, 78 to 81 and 83 and Division 7 of Part 8 of the Act;
(b) sections 48, 72 and 76 to 82 and Part 9 of this regulation.
Part 2 — Pension Plan Requirements
13 (1) This section applies for the purposes of section 8 (1) of the Act.
(2) The formula that is used to determine the amount of member-required contributions and participating employer contributions under a defined contribution provision in relation to a member must, if the member is part of a class of members, be the same as the formula that is used to determine the amount of member-required contributions and participating employer contributions under that provision in relation to every other member of that class of members.
(3) The formula that is used to determine the amount of benefits to which a member is entitled under a benefit formula provision for each future year of active membership must, if the member is part of a class of members, be the same as the formula that is used to determine the amount of benefits to which every other member of that class is entitled under that provision for each future year of active membership.
(a) an additional amount of pension is payable after a member's pension commencement date, and
(b) a provision of the plan text document provides that the additional amount of pension is to cease or be reduced when a pension becomes available or is received under the CPP Act or the QPP Act,
the plan provision referred to in paragraph (b) must provide that the additional amount of pension is to cease or be reduced when the member attains the age at which the member is entitled to receive an unreduced pension under the CPP Act or the QPP Act.
(5) The plan text document of a pension plan must specify the date that is the effective date of the plan.
(6) The plan text document of a pension plan must be separate from the collective agreement, if any, and from any other document, under which the plan was created.
(7) If the plan text document of a negotiated cost plan provides that benefits payable out of the benefit formula component of the plan are to be determined by reference to contributions, the plan text document must also provide that a change in the contribution rate applicable to that component must not change the benefits that are payable out of that component and that accrued before the date on which the contribution rate changed.
(8) The plan text document of a pension plan that contains a defined contribution provision must include a provision that indicates whether the member or the administrator or both are responsible for the direction of the plan's investments.
[am. B.C. Reg. 64/2021, s. 2.]
14 (1) The plan text document of a pension plan must, in accordance with subsection (2), provide for what is to occur if a retired member recommences
(a) employment covered by the plan, or
(b) if the administrator of the plan has entered into an agreement referred to in section 1 (9) (c) (iii) of the Act with the administrator of a collectively bargained multi-employer plan registered in a reciprocal or multilateral jurisdiction, employment covered by that collectively bargained multi-employer plan.
(2) The plan text document of a pension plan
(a) must provide that one or more of the following applies to a retired member in a circumstance referred to in subsection (1):
(i) the pension is to continue and the retired member is not eligible to become an active member;
(ii) effective from the date of recommencement of employment, the pension is to be suspended, and the retired member is to become an active member;
(iii) effective from the date of recommencement of employment, if and to the extent allowed by the Income Tax Act (Canada), the pension is to continue and the retired member is to become an active member, and
(b) may make different subparagraphs of paragraph (a) apply in different circumstances.
(3) If the plan text document of a pension plan provides that more than one of subsection (2) (a) (i), (ii) and (iii) applies in a circumstance referred to in subsection (1), the retired member may elect which one of subsection (2) (a) (i), (ii) and (iii) applies.
(4) If the plan text document of a pension plan provides for the suspension of the payment of a pension under subsection (2) (a) (ii), or for the suspension of payment of a pension to obtain a phased retirement benefit, the plan text document must provide that, if a retired member who has commenced receiving life income type benefits from the plan recommences employment, any contributions made as a result of the member's recommencement of employment must not be remitted to the member's life income type benefits account until the member's subsequent pension commencement date.
(5) If a plan text document of a pension plan provides for the suspension of the payment of a pension under subsection (2) (a) (ii), or for the suspension of payment of a pension to obtain a phased retirement benefit, the plan text document must provide that the pension payable at the retired member's subsequent pension commencement date must not be less than the amount determined by adding the amounts determined under the following:
(a) the pension applicable to the period of employment that preceded the initial pension commencement date (the "initial employment period") calculated as follows:
(i) if the retired member's initial pension commencement date occurred before the plan's pension eligibility date, the amount of pension to which the member would have been entitled, under the terms of the plan text document as it read on the initial pension commencement date, had the member retired
(A) at the assumed age determined under subsection (6), and
(B) after having worked the initial employment period;
(ii) if the retired member's initial pension commencement date occurred at or after the plan's pension eligibility date, the amount of pension that was payable at the initial pension commencement date;
(b) the pension for the period of employment that followed the initial pension commencement date (the "subsequent employment period"), being the amount of pension to which the retired member is entitled under the terms of the plan text document as it reads on the subsequent pension commencement date, for the subsequent employment period.
(6) The assumed age for the purposes of subsection (5) (a) (i) (A) is the age of the retired member at the subsequent pension commencement date less the period, expressed as a number of years and months or portions of months, between the effective date of pension suspension and the initial pension commencement date.
Part 3 — Registration and Amendment of Pension Plans
15 For the purposes of section 12 (2) of the Act, the administrator of a pension plan that has not yet been registered may administer the plan from the date of the plan's establishment until the date that is 60 days after the plan's establishment.
16 For the purposes of section 13 of the Act, the administrator of a pension plan that has not yet been registered must, within 60 days after the date of the plan's establishment, apply for registration of the plan and pay the fee required by section 138 (1) (a) of this regulation.
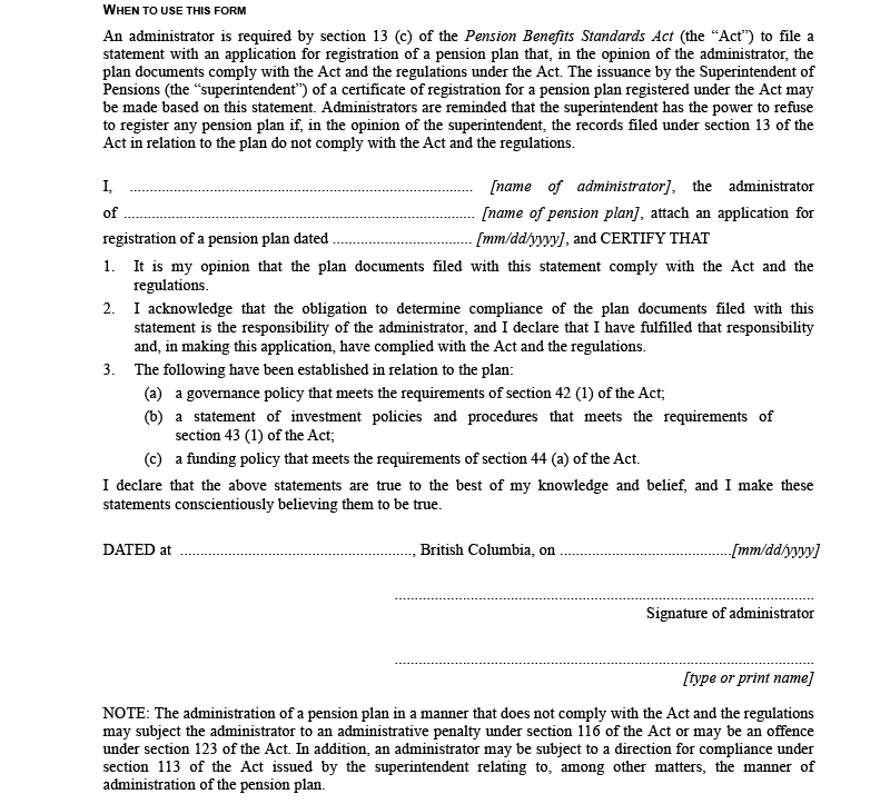
17 The statement that an administrator of a pension plan must file under section 13 (c) of the Act must be in Form 5 of Schedule 3.
18 For the purposes of section 18 of the Act, the administrator of a pension plan must, if the plan text document of that plan is amended, file the records referred to in that section within 60 days after the date on which the amendment is made, or, if the superintendent requires additional records under that section of the Act, within 60 days after the date on which the superintendent makes the demand to the administrator or a shorter period specified by the superintendent in relation to those additional records.
19 The statement that an administrator of a pension plan must file under section 18 (b) of the Act must be in Form 6 of Schedule 3.
20 (1) Subject to subsection (2), if an actuarial valuation report that is to be filed for a pension plan of which the plan text document contains a target benefit provision demonstrates that the expected contributions will be insufficient to fund the payments required under section 58 (2) or (4) in relation to that provision, the administrator of the plan must file, concurrently with the filing of that actuarial valuation report, an amendment to the plan text document to reduce or eliminate benefits, or to increase contributions in accordance with section 20 (2) (b) of the Act, the effect of which is sufficient to allow the plan to meet the funding requirements under section 58 (2) or (4).
(2) Subsection (1) does not apply if the superintendent is satisfied that a contribution increase, sufficient to allow the plan to meet the funding requirements under section 58 (2) or (4) in relation to the target benefit provision referred to in subsection (1), has been incorporated into any applicable collective agreement.
21 The administrator of a pension plan of which the plan text document contains a target benefit provision may amend the plan text document of the plan under section 21 (2) of the Act to provide for a temporary improvement in benefits if there is filed with, or within 60 days before, the filing of the amendment to the plan text document an actuarial valuation report and cost certificate that demonstrate that
(a) the target benefit component has accessible going concern excess, and
(b) after taking into account the cost of the temporary improvement in benefits, the target benefit component will continue to have accessible going concern excess.
22 For the purposes of section 22 (2) (c) of the Act, the superintendent may refuse to register an amendment to the plan text document of a pension plan
(i) the plan text document contains a defined benefit provision,
(ii) the effect of the amendment would be to reduce the defined benefit component's solvency ratio, and
(iii) there has not been filed, in support of the amendment,
(A) an actuarial valuation report that demonstrates that, immediately after the amendment takes effect, the defined benefit component's solvency ratio would be at least 0.85, and
(B) any other information or records required by the superintendent, or
(i) the plan text document contains a target benefit provision,
(ii) the effect of the amendment would be to reduce the target benefit component's going concern funded ratio, and
(iii) there has not been filed, in support of the amendment,
(A) an actuarial valuation report and a cost certificate that demonstrate that, immediately after the amendment takes effect, the target benefit component will have accessible going concern excess, and
(B) any other information or records required by the superintendent.
[am. B.C. Reg. 264/2019, s. 6.]
23 For the purposes of section 26 (1) of the Act, the administrator of a pension plan must, if a supporting plan document of that plan is amended, file the records referred to in section 26 (1) of the Act within 60 days after the date on which the amendment is made, or, if the superintendent requires additional records under section 26 (1) (c) of the Act, within 60 days after the date on which the superintendent makes the demand to the administrator or a shorter period specified by the superintendent in relation to those additional records.
24 The statement that an administrator of a pension plan must file under section 26 (1) (b) of the Act must be in Form 7 of Schedule 3.
Part 4 — Membership in Pension Plans
25 (1) Notice under section 29 (2) (b) (i) of the Act to an employee in relation to a pension plan must
(a) be provided, in writing, by the administrator of the plan,
(b) state that the employee will become a member of the plan unless the employee elects not to become a member of the plan in accordance with subsection (2) of this section, and
(i) subject to subparagraph (ii), at least 30 days before the date on which the employee first becomes eligible to become a member of that plan, or
(ii) if the employee becomes eligible to become a member within 30 days after the date of the employee's employment, on or before the employee's date of employment.
(2) For the purposes of section 29 (2) (b) (ii) of the Act, an employee's election not to be a member of the plan must
(b) state the employee's name,
(c) state that the employee elects not to become a member of the plan,
(d) be signed and dated by the employee, and
(e) be received by the participating employer within the longer of
(i) the period specified in the plan text document for the provision of the election, and
(ii) the 60-day period immediately following the employee's receipt of the notice referred to in subsection (1).
[am. B.C. Reg. 64/2021, s. 3.]
26 For the purposes of section 31 (2) (b) of the Act, a member of a pension plan who has suspended active membership in the plan may lift that suspension effective January 1 or July 1 of any year.
[am. B.C. Reg. 64/2021, s. 8.]
Part 5 — Administration of Pension Plans
27 The following criteria apply for the purposes of section 33 (a) of the Act in relation to the administrator of a pension plan:
(a) if the plan is a single employer plan other than a jointly sponsored plan, the administrator must be
(i) the participating employer, or
(ii) a board of trustees or other similar body acceptable to the superintendent that is established under the supporting plan documents to administer the plan;
(b) if the plan is a non-collectively bargained multi-employer plan other than a jointly sponsored plan, the administrator must be
(i) the participating employer, if any, who is identified in the participation agreement as the administrator of the plan, or
(ii) if the participation agreement does not identify a participating employer as the administrator of the plan, a board of trustees or other similar body acceptable to the superintendent that is established under the supporting plan documents to administer the plan;
(c) if the plan is a collectively bargained multi-employer plan, the administrator must be a board of trustees or other similar body acceptable to the superintendent that is established under the supporting plan documents to administer the plan, of which the number of members who represent members of the plan is not less than the number of members who represent participating employers;
(d) if the plan is a jointly sponsored plan, the administrator must be a person referred to in section 5 (a).
28 A written participation agreement referred to in section 36 (1) of the Act between the administrator of a non-collectively bargained multi-employer plan and the participating employers in the plan must
(i) the information and records that must be provided by participating employers to the administrator,
(ii) when and how the information and records must be provided by participating employers to the administrator, and
(iii) the other duties and obligations to be performed by participating employers,
(b) bind each participating employer to the terms of the plan documents,
(c) make each participating employer responsible for making contributions and special payments to the plan as required under the Act or the plan text document, and
(d) set out the consequences to a participating employer of failing to meet the terms of the participation agreement, which consequences must be additional to and not in conflict with any consequences set out under the Act for that failure.
Division 2 — Disclosure of Information and Records
29 (1) For the purposes of section 37 (1) (a) and (c) of the Act, an administrator of a pension plan must provide a plan summary as follows:
(a) in the case of a new plan that is not a collectively bargained multi-employer plan, to each active member within 120 days after the establishment of the plan;
(b) in the case of a collectively bargained multi-employer plan, to each active member when the first annual statement is provided to the member under section 30 of this regulation;
(c) in the case of a plan in relation to which a notice under section 29 (2) (b) (i) of the Act may be provided to a person, within 30 days after the provision of that notice to that person;
(d) in the case of any other plan, to each employee who is or is about to be eligible to become an active member of the plan,
(i) subject to subparagraph (ii), at least 30 days before the employee is eligible or required to become an active member of the plan, or
(ii) if the employee is eligible or required to become an active member of the plan within 30 days after commencing employment, on or before the employee's date of employment.
(2) A plan summary referred to in subsection (1) must contain or be accompanied by the following information:
(a) the name of the plan and its provincial registration number;
(b) the name of, and contact information for, the administrator.
(3) A plan summary referred to in subsection (1) must contain or be accompanied by the following information if and as it applies to the member or employee to whom the plan summary is being provided:
(a) a summary of member entitlements and obligations under the plan;
(b) a summary of participating employer rights and obligations under the plan;
(c) in the case of a plan of which the plan text document contains a defined contribution provision, if the plan text document provides that the member must provide direction regarding investments,
(i) a statement as to how that direction is to be provided,
(ii) a description of the investment options available, and
(iii) an explanation of how contributions will be dealt with if the member fails to provide direction regarding the investments;
(d) in the case of a plan, other than a jointly sponsored plan, of which the plan text document contains a benefit formula provision, an explanation of when and how benefits under the plan may be reduced;
(e) in the case of a jointly sponsored plan,
(i) an explanation of when and how the administrator may increase contributions or reduce benefits to meet the plan's funding requirements under section 57 or 58, as the case may be, and
(ii) an explanation of the methods by which the persons referred to in paragraph (d) of the definition of "jointly sponsored plan" in section 1 (1) of the Act make decisions about
(A) the governance of the plan, and
(B) the appointment of the administrator of the plan or the appointment or selection of members of the board or body referred to in section 5 (a);
(f) a statement of the right under section 37 (2) and (4) of the Act of the recipient of the plan summary to examine, or to obtain from the administrator, additional information and records referred to in sections 42 and 43 of this regulation.
30 (1) For the purposes of section 37 (1) (a) of the Act, an administrator of a pension plan must provide an annual statement to each active member within 180 days after the end of each fiscal year.
(2) An annual statement referred to in subsection (1) must contain or be accompanied by the following information:
(a) the name of the plan and its provincial registration number;
(b) the name of, and contact information for, the administrator;
(c) the plan's pension eligibility date;
(d) the member's name and date of birth;
(e) the date on which the member joined the plan;
(f) the name of the member's spouse, if any;
(g) the name of the member's designated beneficiary, if any;
(h) a summary of the amendments, except for amendments that have already been disclosed to the member in a notice under section 40, made to the plan text document during the most recently completed fiscal year that affect the member's benefits and an explanation of how those amendments affect those benefits;
(i) a statement of the right under section 37 (2) and (4) of the Act of the member to examine, or to obtain from the administrator, additional information and records referred to in sections 42 and 43 of this regulation.
(3) An annual statement referred to in subsection (1) must contain or be accompanied by whichever one or more of the following reconciliations apply to the member:
(a) if the member is or will be entitled to receive benefits from a defined contribution component of the plan, the balance of the member's defined contribution account immediately before the beginning of the most recently completed fiscal year and the balance of the member's defined contribution account as at the end of the most recently completed fiscal year, and a reconciliation that accounts for the difference between those 2 balances by setting out the following as they relate to those balances:
(i) any member-required contributions made during the most recently completed fiscal year;
(ii) any employer contributions made during the most recently completed fiscal year;
(iii) any interest credited during the most recently completed fiscal year;
(iv) any administration expenses deducted, and any other payments, transfers or withdrawals made, during the most recently completed fiscal year;
(b) if the member is or will be entitled to receive benefits from a benefit formula component of the plan and the plan is not a jointly sponsored plan, the member's benefit formula member-required contributions balance for that plan component immediately before the beginning of the most recently completed fiscal year and the member's benefit formula member-required contributions balance for that plan component as at the end of the most recently completed fiscal year, and a reconciliation that accounts for the difference between those 2 balances by setting out the following as they relate to those balances:
(i) any member-required contributions made to the plan for application to that benefit formula component during the most recently completed fiscal year;
(ii) any interest credited during the most recently completed fiscal year;
(c) if the member has made additional voluntary contributions to the plan, the balance of the member's additional voluntary contributions account immediately before the beginning of the most recently completed fiscal year and the balance of the member's additional voluntary contributions account as at the end of the most recently completed fiscal year, and a reconciliation that accounts for the difference between those 2 balances by setting out the following as they relate to those balances:
(i) any additional voluntary contributions made during the most recently completed fiscal year;
(ii) any interest credited during the most recently completed fiscal year;
(iii) any administration expenses deducted, and any other payments, transfers or withdrawals made, during the most recently completed fiscal year;
(d) if the member has made optional ancillary contributions to the plan, the balance of the member's optional ancillary contributions account immediately before the beginning of the most recently completed fiscal year and the balance of the member's optional ancillary contributions account as at the end of the most recently completed fiscal year, and a reconciliation that accounts for the difference between those 2 balances by setting out the following as they relate to those balances:
(i) any optional ancillary contributions made during the most recently completed fiscal year;
(ii) any interest credited during the most recently completed fiscal year;
(iii) any administration expenses deducted, and any other payments, transfers or withdrawals made, during the most recently completed fiscal year;
(e) if the plan fund includes transferred contributions transferred to the plan by or on behalf of the member, the balance of the member's transferred contributions account immediately before the beginning of the most recently completed fiscal year and the balance of the member's transferred contributions account as at the end of the most recently completed fiscal year, and a reconciliation that accounts for the difference between those 2 balances by setting out the following as they relate to those balances:
(i) any transferred contributions transferred to the plan during the most recently completed fiscal year;
(ii) any interest credited during the most recently completed fiscal year;
(iii) any administration expenses deducted, and any other payments, transfers or withdrawals made, during the most recently completed fiscal year.
(4) An annual statement referred to in subsection (1) must contain or be accompanied by the following information if and as it applies to the member:
(a) if the member is or will be entitled to receive life income type benefits from the defined contribution component of the plan, the earliest date on which the member will be entitled to start receiving those benefits;
(b) if the member is or will be entitled to receive benefits from a benefit formula component of the plan, the following information respecting the member's pension from that plan component:
(i) the number of years that, as at the end of the most recently completed fiscal year, have been credited to the member for the purposes of calculating that pension;
(ii) the amount that, as at the end of the most recently completed fiscal year, is the annual amount of that pension if that pension commences on the plan's pension eligibility date;
(iii) the earliest date on which the member will be entitled to start receiving a pension from that plan component;
(iv) the earliest date on which the member will be entitled to start receiving a pension from that plan component without reduction or increase to the pension;
(c) if the member is or will be entitled to receive benefits from a defined benefit component of the plan, the solvency ratio of the defined benefit component as set out in the current actuarial valuation report, expressed as a percentage, and, if that solvency ratio is less than 100%,
(i) a statement that the current actuarial valuation report has determined that the value of the assets of the defined benefit component would not have been sufficient to cover the defined benefit component benefits had the plan terminated on the review date applicable to that actuarial valuation report, and
(ii) a statement of the steps being taken to address any solvency deficiency;
(d) if the member is or will be entitled to receive benefits from a target benefit component of the plan,
(i) an explanation of when and how the member's benefits under the target benefit component may be reduced, except for information about when and how the component's target benefit funded ratio, as set out in the current actuarial valuation report, affects the member's benefits, and
(ii) the target benefit funded ratio of the target benefit component as set out in the current actuarial valuation report, expressed as a percentage, and, if that target benefit funded ratio is less than 100%,
(A) a statement that the current actuarial valuation report has determined that, as at the review date applicable to that actuarial valuation report, there was an unfunded liability in that the value of the assets of the target benefit component was not sufficient to cover the target benefit component benefits,
(B) a statement of the steps being taken to address the unfunded liability, and
(C) an explanation of how the member's benefits would be affected were the member to terminate active membership when the target benefit funded ratio is less than 100%;
(e) if the plan text document provides that the member may make optional ancillary contributions, a statement setting out an estimate of the maximum amount of optional ancillary contributions that, under the plan text document, the member is entitled to contribute in the fiscal year following the most recently completed fiscal year;
(f) if the member is a suspended member, information about when and how the member may lift the suspension.
[am. B.C. Reg. 196/2022, s. 5.]
31 (1) For the purposes of section 37 (1) (a) of the Act, an administrator of a pension plan must provide an annual statement to each person receiving a pension under the plan as follows:
(a) if the recipient of the statement is receiving life income type benefits from the defined contribution component of the plan, within 60 days after the end of each calendar year;
(b) for any other recipient of the statement, within 180 days after the end of each fiscal year.
(2) An annual statement referred to in subsection (1) must contain or be accompanied by the following information:
(a) the name of the plan and its provincial registration number;
(b) the name of, and contact information for, the administrator;
(c) the person's name and date of birth;
(d) a summary of the following amendments, unless the amendments have already been disclosed to the person in a notice under section 40, that affect the benefits to which the recipient of the statement is entitled and an explanation of how the amendments affect those benefits:
(i) if the recipient of the statement is receiving a pension from the benefit formula component of the plan, the amendments made to the plan text document during the most recently completed fiscal year;
(ii) if the recipient of the statement is or will be entitled to receive life income type benefits from the defined contribution component of the plan, the amendments made to the plan text document during the most recently completed calendar year;
(e) a statement of the right under section 37 (2) and (4) of the Act of the recipient of the statement, and, if a joint and survivor form of pension was elected by the retired member, the joint annuitant, to examine, or to obtain from the administrator, additional information and records referred to in sections 42 and 43 of this regulation.
(3) An annual statement referred to in subsection (1) that is being provided to a person who is receiving a pension from a benefit formula component of the plan must contain or be accompanied by the following information if and as it applies to that person:
(a) if an election has been made to have the pension payments increased under section 74 (1) of the Act, the date on which that increase will cease;
(b) if the plan text document has a cost of living adjustment provision, an explanation of the basis on which the increase in pension payments occurred in the most recently completed fiscal year as a result of that provision;
(c) if the recipient of the statement is receiving benefits from a defined benefit component of the plan, the solvency ratio of the defined benefit component as set out in the current actuarial valuation report, expressed as a percentage, and, if that solvency ratio is less than 100%,
(i) a statement that the current actuarial valuation report has established that the value of the assets of the defined benefit component would not have been sufficient to cover the defined benefit component benefits had the plan terminated on the review date applicable to that actuarial valuation report, and
(ii) a statement of the steps being taken to address any solvency deficiency;
(d) if the recipient of the statement is receiving benefits from a target benefit component of the plan,
(i) an explanation of when and how the recipient's benefits under the target benefit component may be reduced, and
(ii) the target benefit funded ratio of the target benefit component as set out in the current actuarial valuation report, expressed as a percentage, and, if that target benefit funded ratio is less than 100%,
(A) a statement that the current actuarial valuation report has established that, as at the review date applicable to that actuarial valuation report, there was an unfunded liability in that the value of the assets of the target benefit component was not sufficient to cover the target benefit component benefits, and
(B) a statement of the steps being taken to address the unfunded liability.
(4) An annual statement referred to in subsection (1) that is being provided to a person who is receiving life income type benefits from the defined contribution component of the plan must contain or be accompanied by the following information if and as it applies to that person:
(a) the balance of the recipient of the statement's life income type benefits account immediately before the beginning of the most recently completed calendar year and the balance of the recipient of the statement's life income type benefits account as at the end of the most recently completed calendar year, and a reconciliation that accounts for the difference between those 2 balances by setting out the following as they relate to those balances:
(i) any transfers into the life income type benefits account made during the most recently completed calendar year;
(ii) any interest credited during the most recently completed calendar year;
(iii) any life income type benefit payments made during the most recently completed calendar year;
(iv) any administration expenses deducted, and any other payments, transfers or withdrawals made, during the most recently completed calendar year;
(b) the life income type benefits minimum amount for the calendar year in which the statement is provided;
(c) the life income type benefits maximum amount for the calendar year in which the statement is provided;
(d) a statement requiring the recipient of the statement to advise the administrator within 30 days after receipt of the annual statement as to the amount of life income type benefit payments the recipient of the statement wishes to receive in the calendar year in which the statement is provided and indicating that, unless the recipient of the statement provides that advice, the administrator will pay the life income type benefits minimum amount for the calendar year in which the statement is provided.
[am. B.C. Regs. 325/2021; 196/2022, s. 6.]
32 (1) If a person who is receiving life income type benefits from the defined contribution component of a plan transfers money out of the person's life income type benefits account under Division 7 of Part 8 of the Act to a locked-in vehicle or to another pension plan, the administrator must, within 30 days after the date of the transfer, provide to the person a statement showing the balance of the person's life income type benefits account as at the end of the most recently completed calendar year and the balance of the person's life income type benefits account on the date of the transfer, and a reconciliation that accounts for the difference between those 2 balances by setting out the following as they relate to those balances:
(a) any interest credited between the beginning of the current calendar year and the date of the transfer;
(b) any administration expenses deducted between the beginning of the current calendar year and the date of the transfer;
(c) any payments and transfers made between the beginning of the current calendar year and the date of the transfer.
(2) If a person who is receiving life income type benefits from the defined contribution component of the plan transfers money into the person's life income type benefits account, the administrator must, within 30 days after the date of the transfer, provide to the person information respecting
(a) the amount transferred to the life income type benefits account,
(b) the balance of the life income type benefits account immediately after the transfer, and
(c) subject to subsection (3), the amount that may be paid or transferred from the life income type benefits account in that calendar year as a result of the transfer, determined by dividing the amount of the transfer by the withdrawal factor.
(3) If the money transferred to the life income type benefits account was transferred from another life income type benefits account or from a life income fund, the information referred to in subsection (2) (c) is not required to be provided.
33 (1) For the purposes of section 37 (1) (a) of the Act, an administrator of a pension plan must, subject to subsection (5) of this section, provide a termination of active membership statement to each deferred member as follows:
(a) unless the plan is a collectively bargained multi-employer plan, within 60 days after the deferred member's termination of active membership in the plan;
(b) if the plan is a collectively bargained multi-employer plan, within 90 days after the deferred member's termination of active membership in the plan.
(2) A termination of active membership statement referred to in subsection (1) must contain or be accompanied by the following information:
(a) the name of the plan and its provincial registration number;
(b) the name of, and contact information for, the administrator;
(c) the plan's pension eligibility date;
(d) the member's name and date of birth;
(e) the date on which the member joined the plan;
(f) the date on which the member terminated active membership in the plan;
(g) the name of the member's spouse, if any;
(h) the name of the member's designated beneficiary, if any;
(i) a statement of the right under section 37 (2) and (4) of the Act of the member to examine, or to obtain from the administrator, additional information and records referred to in sections 42 and 43 of this regulation.
(3) A termination of active membership statement referred to in subsection (1) must contain or be accompanied by whichever one or more of the following reconciliations apply to the member:
(a) if the member is entitled to receive benefits from a defined contribution component of the plan, the balance of the member's defined contribution account as at the end of the most recently completed fiscal year and the balance of the member's defined contribution account as at the date of the member's termination of active membership, and a reconciliation that accounts for the difference between those 2 balances by setting out the following as they relate to those balances:
(i) any member-required contributions made since the end of the most recently completed fiscal year;
(ii) any employer contributions made since the end of the most recently completed fiscal year;
(iii) any interest credited since the end of the most recently completed fiscal year;
(iv) any administration expenses deducted, and any other payments, transfers or withdrawals made, since the end of the most recently completed fiscal year;
(b) if the member is entitled to receive benefits from a benefit formula component of the plan and the plan is not a jointly sponsored plan, the member's benefit formula member-required contributions balance for that plan component as at the end of the most recently completed fiscal year and the member's benefit formula member-required contributions balance for that plan component as at the date of the member's termination of active membership, and a reconciliation that accounts for the difference between those 2 balances by setting out the following as they relate to those balances:
(i) any member-required contributions made to the plan for application to that benefit formula component since the end of the most recently completed fiscal year;
(ii) any interest credited since the end of the most recently completed fiscal year;
(c) if the member has made additional voluntary contributions to the plan, the balance of the member's additional voluntary contributions account as at the end of the most recently completed fiscal year and the balance of the member's additional voluntary contributions account as at the date of the member's termination of active membership, and a reconciliation that accounts for the difference between those 2 balances by setting out the following as they relate to those balances:
(i) any additional voluntary contributions made since the end of the most recently completed fiscal year;
(ii) any interest credited since the end of the most recently completed fiscal year;
(iii) any administration expenses deducted, and any other payments, transfers or withdrawals made, since the end of the most recently completed fiscal year;
(d) if the member has made optional ancillary contributions to the plan, the balance of the member's optional ancillary contributions account as at the end of the most recently completed fiscal year and the balance of the member's optional ancillary contributions account as at the date of the member's termination of active membership, and a reconciliation that accounts for the difference between those 2 balances by setting out the following as they relate to those balances:
(i) any optional ancillary contributions made since the end of the most recently completed fiscal year;
(ii) any interest credited since the end of the most recently completed fiscal year;
(iii) any administration expenses deducted, and any other payments, transfers or withdrawals made, since the end of the most recently completed fiscal year;
(e) if the plan fund includes transferred contributions transferred to the plan by or on behalf of the member, the balance of the member's transferred contributions account as at the end of the most recently completed fiscal year and the balance of the member's transferred contributions account as at the date of the member's termination of active membership, and a reconciliation that accounts for the difference between those 2 balances by setting out the following as they relate to those balances:
(i) any transferred contributions transferred to the plan since the end of the most recently completed fiscal year;
(ii) any interest credited since the end of the most recently completed fiscal year;
(iii) any administration expenses deducted, and any other payments, transfers or withdrawals made, since the end of the most recently completed fiscal year;
(4) A termination of active membership statement referred to in subsection (1) must contain or be accompanied by the following information if and as it applies to the member:
(a) if the member is entitled or required to transfer money out of the plan under Division 7 of Part 8 of the Act,
(i) the commuted value of the benefit to which the member is entitled as at the date of the member's termination of active membership, and
(ii) the maximum amount that under the Income Tax Regulations (Canada) may be transferred out of the plan to an RRSP, a RRIF or another pension plan and the amount, if any, by which the amount to which the member is entitled exceeds that maximum;
(b) if the member is entitled to receive benefits from a benefit formula component of the plan, the following information respecting the member's pension from that plan component:
(i) the number of years that, as at the date of the member's termination of active membership, have been credited to the member for the purposes of calculating that pension;
(ii) the amount that, as at the date of the member's termination of active membership, is the annual amount of that pension if that pension commences on the plan's pension eligibility date;
(c) if the member is entitled to receive benefits from a defined benefit component of the plan, the solvency ratio of the defined benefit component as set out in the current actuarial valuation report, expressed as a percentage, and, unless the participating employer has remitted a contribution in accordance with section 80 (3) (a) (ii), if there is a transfer deficiency applicable to the member's benefits,
(i) a statement that the current actuarial valuation report has established that there is a transfer deficiency in that the value of the assets of the defined benefit component would not have been sufficient to cover the defined benefit component benefits had the plan terminated on the review date applicable to that actuarial valuation report,
(ii) the amount of the transfer deficiency,
(iii) a statement indicating that the amount of the benefit referred to in paragraph (a) (i) of this subsection that, as at the date of the member's termination of active membership, the member is entitled to receive is the commuted value referred to in paragraph (a) (i) less the transfer deficiency,
(iv) a statement explaining, in accordance with section 80 (3), when the member will be entitled to receive the transfer deficiency, and
(v) a statement indicating that the amount the member is entitled to receive on the date referred to in subparagraph (iv) is the transfer deficiency plus interest calculated in accordance with section 69 (3);
(d) if the member is entitled to receive benefits from a target benefit component of the plan,
(i) an explanation of when and how the member's benefits under the target benefit component may be reduced, except for information about when and how the component's target benefit funded ratio, as set out in the current actuarial valuation report, affects the member's benefits, and
(ii) the target benefit funded ratio of the target benefit component as set out in the current actuarial valuation report, expressed as a percentage, and, if that target benefit funded ratio is less than 100%,
(A) a statement that the current actuarial valuation report has determined that, as at the review date applicable to that actuarial valuation report, there was an unfunded liability in the target benefit component in that the value of the assets of the target benefit component was not sufficient to cover the target benefit component benefits,
(B) a statement of the steps being taken to address the unfunded liability, and
(C) a statement that if the member elects, as at the date of the member's termination of active membership, to transfer the benefits to which the member is entitled under the target benefit component, the member is entitled to the amount determined by multiplying the commuted value referred to in paragraph (a) (i) by the component's target benefit funded ratio as at the review date applicable to the current actuarial valuation report;
(e) if the member is entitled to receive benefits from a benefit formula component of a plan, other than a jointly sponsored plan, the amount of the member's excess contributions;
(i) the options available to the member under the plan text document in relation to each of the member's benefits under the plan,
(ii) the deadlines under the plan text document for choosing any of those options,
(iii) the consequences, if any, under the plan text document of not meeting those deadlines, and
(iv) for each option that will lead to money being locked-in money, what that means to the member;
(g) if, under the plan text document, the member may or must defer receiving a pension until the plan's pension eligibility date,
(i) an explanation of what happens to the member's benefits if the member dies before pension commencement, including, without limitation, an explanation of the spouse's waiver option under section 79 (1) (b) of the Act,
(ii) an explanation of the options available to the member to elect a pension commencement date that is earlier or later than the plan's pension eligibility date, and an explanation of any adjustments to the amount of pension in each case,
(iii) an explanation of any cost of living adjustment provision of the plan text document that applies to the pension,
(iv) the name and address of the person to whom application must be made to start receiving the pension,
(v) a statement indicating that the member must notify the administrator of any change of the member's address,
(vi) in the case of a plan of which the plan text document contains a benefit formula provision, a statement of the circumstances under which the member's benefits under the benefit formula provision may be reduced, and
(vii) a statement indicating that the amount, if any, of the member's excess contributions will be recalculated and paid at the member's pension commencement date;
(h) whichever of the following is applicable:
(i) a statement that the pension legislation of British Columbia applies to determine the benefit entitlement of the member;
(ii) if, under section 1 (9) of the Act, pension legislation of a jurisdiction other than British Columbia applies to determine the benefit entitlement of the member, a statement identifying that jurisdiction and indicating that its pension legislation applies to determine the benefit entitlement of the member.
(5) A member is not entitled to receive a termination of active membership statement under subsection (1) if the member has received a statement under section 34 in relation to the plan.
[am. B.C. Regs. 64/2021, ss. 2 and 3; 196/2022, s. 7.]
34 (1) For the purposes of section 37 (1) (a) of the Act, an administrator of a pension plan who receives a completed application, in the form required by the administrator, for commencement of a pension from a plan component must provide a retirement statement to the applicant.
(2) An application under subsection (1) for commencement of a pension must
(a) be in the form required by the administrator,
(b) contain all the information necessary to allow the administrator to prepare the retirement statement, and
(c) include or be supplemented by all other records necessary to allow the administrator to prepare the retirement statement.
(3) A retirement statement under subsection (1) must be provided
(a) on or before the date that is 60 days after the date of the receipt of an application that complies with subsection (2), or
(b) if the application is received more than 120 days before the member's pension commencement date, on or before the later of
(i) the date that is 60 days after the date of the receipt of an application that complies with subsection (2), and
(ii) the date that is 120 days before the date on which the member's pension commences.
(4) A retirement statement referred to in subsection (1) must contain or be accompanied by the following information:
(a) the name of the plan and its provincial registration number;
(b) the name of, and contact information for, the administrator;
(c) the member's name and date of birth;
(d) the date on which the member joined the plan;
(e) the date on which the member terminated active membership in the plan;
(f) the member's pension commencement date;
(g) if the member has a spouse, the spouse's name and date of birth;
(h) the name of the member's designated beneficiary, if any;
(i) a statement of the right under section 37 (2) and (4) of the Act of the member to examine, or to obtain from the administrator, additional information and records referred to in sections 42 and 43 of this regulation.
(5) A retirement statement referred to in subsection (1) must contain or be accompanied by whichever one or more of the following reconciliations apply to the member:
(a) if the member is entitled to receive benefits from the defined contribution component of the plan, the balance of the member's defined contribution account as at the end of the most recently completed fiscal year and the balance of the member's defined contribution account as at the member's pension commencement date, and a reconciliation that accounts for the difference between those 2 balances by setting out the following as they relate to those balances:
(i) any member-required contributions made since the end of the most recently completed fiscal year;
(ii) any employer contributions made since the end of the most recently completed fiscal year;
(iii) any interest credited since the end of the most recently completed fiscal year;
(iv) any administration expenses deducted, and any other payments, transfers or withdrawals made, since the end of the most recently completed fiscal year;
(b) if the member is entitled to receive benefits from a benefit formula component of the plan and the plan is not a jointly sponsored plan, the member's benefit formula member-required contributions balance for that plan component as at the end of the most recently completed fiscal year and the member's benefit formula member-required contributions balance for that plan component as at the member's pension commencement date, and a reconciliation that accounts for the difference between those 2 balances by setting out the following as they relate to those balances:
(i) any member-required contributions made to the plan for application to that benefit formula component since the end of the most recently completed fiscal year;
(ii) any interest credited since the end of the most recently completed fiscal year;
(c) if the member has made additional voluntary contributions to the plan, the balance of the member's additional voluntary contributions account as at the end of the most recently completed fiscal year and the balance of the member's additional voluntary contributions account as at the member's pension commencement date, and a reconciliation that accounts for the difference between those 2 balances by setting out the following as they relate to those balances:
(i) any additional voluntary contributions made since the end of the most recently completed fiscal year;
(ii) any interest credited since the end of the most recently completed fiscal year;
(iii) any administration expenses deducted, and any other payments, transfers or withdrawals made, since the end of the most recently completed fiscal year;
(d) if the member has made optional ancillary contributions to the plan, the balance of the member's optional ancillary contributions account as at the end of the most recently completed fiscal year and the balance of the member's optional ancillary contributions account as at the member's pension commencement date, and a reconciliation that accounts for the difference between those 2 balances by setting out the following as they relate to those balances:
(i) any optional ancillary contributions made since the end of the most recently completed fiscal year;
(ii) any interest credited since the end of the most recently completed fiscal year;
(iii) any administration expenses deducted, and any other payments, transfers or withdrawals made, since the end of the most recently completed fiscal year;
(e) if the plan fund includes transferred contributions transferred to the plan by or on behalf of the member, the balance of the member's transferred contributions account as at the end of the most recently completed fiscal year and the balance of the member's transferred contributions account as at the member's pension commencement date, and a reconciliation that accounts for the difference between those 2 balances by setting out the following as they relate to those balances:
(i) any transferred contributions that were transferred to the plan since the end of the most recently completed fiscal year;
(ii) any interest credited since the end of the most recently completed fiscal year;
(iii) any administration expenses deducted, and any other payments, transfers or withdrawals made, since the end of the most recently completed fiscal year.
(6) A retirement statement referred to in subsection (1) must contain or be accompanied by the following information if and as it applies to the member and the plan component from which the pension is to be paid:
(a) if the member is entitled to receive benefits from a benefit formula component of the plan, the following:
(i) the amount of the member's excess contributions;
(A) the form of pension that is described as the normal form of pension in the plan text document and the other forms of pension that are available under the plan text document,
(B) the method by which the member must elect one of those options,
(C) the annual amount of pension payable to the member under each of those options, and
(D) the circumstances under which the member's benefits under the plan may be reduced;
(iii) if the member has a spouse, a statement that the member may elect a form of pension other than a joint and survivor pension referred to in section 80 (2) of the Act if the member provides to the administrator a waiver or confirmation in accordance with section 80 (4) of the Act;
(iv) if the plan text document provides for optional ancillary contributions, a statement setting out
(A) the cost of each of the optional ancillary benefits that are available to the member, and
(B) that if any optional ancillary contribution is not converted to optional ancillary benefits, the unconverted optional ancillary contribution is forfeited and remains in the plan fund;
(v) if the plan text document has a cost of living provision, an explanation of any cost of living provision of the plan text document that applies to the member's pension;
(i) the options available to the member under the plan text document in relation to each of the member's benefits under the plan,
(ii) the deadlines under the plan text document for choosing any of those options, and
(iii) the consequences, if any, under the plan text document of not meeting those deadlines.
(7) If the member to whom the retirement statement referred to in subsection (1) is to be provided may elect to receive life income type benefits from the defined contribution component of the plan, the retirement statement must contain or be accompanied by the following information if and as it applies to the member:
(a) the life income type benefits minimum amount for the calendar year in which the statement is provided;
(b) the life income type benefits maximum amount for the calendar year in which the statement is provided;
(c) a statement indicating that if the member elects to receive life income type benefits from the defined contribution component, the member must advise the administrator as to the amount of life income type benefits the member wishes to receive in the calendar year in which the statement is provided and indicating that, unless the member provides that advice, the administrator will pay the life income type benefits minimum amount for the calendar year in which the statement is provided;
(d) if the member has a spouse, a statement that the member may elect to receive life income type benefits if the member provides to the administrator a consent or confirmation in accordance with section 74 (3).
[am. B.C. Reg. 64/2021, s. 3.]
35 (1) For the purposes of section 83 of the Act, an administrator of a pension plan who receives from an active member a completed application, in the form required by the administrator, for a phased retirement benefit must, within 60 days after receipt of the application, provide a phased retirement benefit statement to the applicant.
(2) An application under subsection (1) for a phased retirement benefit must
(a) be in the form required by the administrator,
(b) contain all the information necessary to allow the administrator to prepare the phased retirement benefit statement, and
(c) include or be supplemented by all other records necessary to allow the administrator to prepare the phased retirement benefit statement.
(3) A phased retirement benefit statement referred to in subsection (1) must contain or be accompanied by the following information:
(a) the name of the plan and its provincial registration number;
(b) the name of, and contact information for, the administrator;
(c) the member's name and date of birth;
(d) the date on which the member joined the plan;
(e) the amount of pension to which the member would be entitled if the member retired as at the date of the statement;
(f) the annual amount of pension that, as at the date of the statement, the member will be entitled to receive if that pension commences on the plan's pension eligibility date;
(g) the phased retirement benefit to which the member is entitled, expressed as both
(i) a percentage of the pension amount referred to in paragraph (e), and
(h) a statement explaining whether, and if so how, the member's pension may be reduced as a result of the member accepting a phased retirement benefit;
(i) the frequency with which, if at all, the phased retirement benefits will be adjusted during the period during which phased retirement benefits are to be paid, and the basis on which those adjustments are to be made;
(j) a notice that the phased retirement benefit does not constitute a pension under the Act;
(k) an explanation of what happens to the member's benefits if the member dies before pension commencement, including, without limitation, an explanation of the spouse's waiver option under section 79 (1) (b) of the Act in Form 4 of Schedule 3.
[am. B.C. Reg. 64/2021, s. 2.]
36 (1) For the purposes of section 76 of the Act, an administrator of a pension plan who receives from an active member a completed application, in the form required by the administrator, to receive a lump-sum payment under section 76 of the Act must, within 60 days after receipt of the application, provide a lump-sum payment statement to the applicant.
(2) An application under subsection (1) for a lump-sum payment must
(a) be in the form required by the administrator,
(b) contain all the information necessary to allow the administrator to prepare the lump-sum payment statement, and
(c) include or be supplemented by all other records necessary to allow the administrator to prepare the lump-sum payment statement.
(3) A lump-sum payment statement referred to in subsection (1) must contain or be accompanied by the following information:
(a) the name of the plan and its provincial registration number;
(b) the name of, and contact information for, the administrator;
(c) the member's name and date of birth;
(d) the name of the member's surviving spouse, if any;
(e) an explanation of the requirement for a spouse's consent under section 75 (2) (b) of this regulation;
(f) the maximum lump-sum payment the member is permitted to receive in the fiscal year in which the statement is provided;
(g) the balance of the member's defined contribution account as at the date of the statement;
(h) a statement that the receipt of a lump-sum payment under section 76 of the Act will reduce the benefit payable to the member at the member's termination of active membership or at the member's pension commencement date.
37 (1) For the purposes of section 37 (1) (b) of the Act, if a member of a pension plan who was entitled to receive a pension from a plan component dies before beginning to receive a pension from that plan component, the administrator must provide a pre-retirement death benefits statement to the person referred to in subsection (2) within 60 days after receipt of proof of the deceased member's death.
(2) A pre-retirement death benefits statement referred to in subsection (1)
(a) must be provided to the deceased member's surviving spouse, or
(b) if the deceased member had no spouse at the time of death, or if the deceased member's spouse's interest in the member's benefits has terminated within the meaning of subsection (6),
(i) must be provided to the deceased member's designated beneficiary, or
(ii) if there is no living designated beneficiary, must be provided to the personal representative of the deceased member's estate.
(3) A pre-retirement death benefits statement referred to in subsection (1) must contain or be accompanied by the following information:
(a) the name of the plan and its provincial registration number;
(b) the name of, and contact information for, the administrator;
(c) the deceased member's name and date of death;
(d) the name of the deceased member's surviving spouse, if any;
(e) the name of the deceased member's designated beneficiary, if any;
(f) a statement of the right under section 37 (2) and (4) of the Act of the person to whom the pre-retirement death benefits statement is provided to examine, or to obtain from the administrator, additional information and records referred to in sections 42 and 43 of this regulation.
(4) A pre-retirement death benefits statement referred to in subsection (1) must contain or be accompanied by whichever one or more of the following reconciliations apply to the member:
(a) if the deceased member was entitled to receive benefits from the defined contribution component of the plan, the balance of the deceased member's defined contribution account as at the end of the most recently completed fiscal year and the balance of the deceased member's defined contribution account as at the date of the deceased member's death, and a reconciliation that accounts for the difference between those 2 balances by setting out the following as they relate to those balances:
(i) any member-required contributions made since the end of the most recently completed fiscal year;
(ii) any employer contributions made since the end of the most recently completed fiscal year;
(iii) any interest credited since the end of the most recently completed fiscal year;
(iv) any administration expenses deducted, and any other payments, transfers or withdrawals made, since the end of the most recently completed fiscal year;
(b) if the deceased member was entitled to receive benefits from a benefit formula component of the plan and the plan is not a jointly sponsored plan, the deceased member's benefit formula member-required contributions balance for that plan component as at the end of the most recently completed fiscal year and the deceased member's benefit formula member-required contributions balance for that plan component as at the date of the deceased member's death, and a reconciliation that accounts for the difference between those 2 balances by setting out the following as they relate to those balances:
(i) any member-required contributions made to the plan for application to that benefit formula component of the plan since the end of the most recently completed fiscal year;
(ii) any interest credited since the end of the most recently completed fiscal year;
(c) if the deceased member had made additional voluntary contributions to the plan, the balance of the deceased member's additional voluntary contributions account as at the end of the most recently completed fiscal year and the balance of the deceased member's additional voluntary contributions account as at the date of the deceased member's death, and a reconciliation that accounts for the difference between those 2 balances by setting out the following as they relate to those balances:
(i) any additional voluntary contributions made since the end of the most recently completed fiscal year;
(ii) any interest credited since the end of the most recently completed fiscal year;
(iii) any administration expenses deducted, and any other payments, transfers or withdrawals made, since the end of the most recently completed fiscal year;
(d) if the deceased member had made optional ancillary contributions to the plan, the balance of the deceased member's optional ancillary contributions account as at the end of the most recently completed fiscal year and the balance of the deceased member's optional ancillary contributions account as at the date of the deceased member's death, and a reconciliation that accounts for the difference between those 2 balances by setting out the following as they relate to those balances:
(i) any optional ancillary contributions made since the end of the most recently completed fiscal year;
(ii) any interest credited since the end of the most recently completed fiscal year;
(iii) any administration expenses deducted, and any other payments, transfers or withdrawals made, since the end of the most recently completed fiscal year;
(e) if the plan fund includes transferred contributions transferred to the plan by or on behalf of the deceased member, the balance of the deceased member's transferred contributions account as at the end of the most recently completed fiscal year and the balance of the deceased member's transferred contributions account as at the date of the deceased member's death, and a reconciliation that accounts for the difference between those 2 balances by setting out the following as they relate to those balances:
(i) any transferred contributions that were transferred to the plan since the end of the most recently completed fiscal year;
(ii) any interest credited since the end of the most recently completed fiscal year;
(iii) any administration expenses deducted, and any other payments, transfers or withdrawals made, since the end of the most recently completed fiscal year.
(5) A pre-retirement death benefits statement referred to in subsection (1) must contain or be accompanied by the following information if and as it applies to the deceased member:
(a) if the deceased member had no spouse at the time of death, or if the deceased member's spouse's interest in the member's benefits has terminated within the meaning of subsection (6), the amount that is payable to the deceased member's designated beneficiary or personal representative of the deceased member's estate under section 79 (1) (b) or (c) of the Act;
(b) if the deceased member had a spouse at the time of death and that spouse's interest in the member's benefits has not terminated within the meaning of subsection (6) and the spouse is entitled to receive a pension from a benefit formula component of the plan, the following information respecting the pension:
(i) the number of years that, as at the date of the deceased member's death, have been credited to the deceased member for the purposes of calculating the deceased member's pension;
(ii) the annual amount of pension that the surviving spouse is entitled to receive;
(iii) the commuted value of the pension that the surviving spouse is entitled to receive;
(iv) the maximum amount that under the Income Tax Regulations (Canada) may be transferred out of the plan to an RRSP, a RRIF or another pension plan and the amount, if any, by which the amount to which the surviving spouse is entitled exceeds that maximum;
(v) the amount of the deceased member's excess contributions, if any;
(c) if the deceased member had a spouse at the time of death and that spouse's interest in the member's benefits has not terminated within the meaning of subsection (6) and the plan text document of the plan provides that the spouse must transfer the commuted value of the deceased member's benefit from the plan, the following information:
(i) the commuted value of the benefit that the surviving spouse is entitled to receive;
(ii) the maximum amount that under the Income Tax Regulations (Canada) may be transferred out of the plan to an RRSP, a RRIF or another pension plan and the amount, if any, by which the amount to which the surviving spouse is entitled exceeds that maximum;
(iii) if the surviving spouse is entitled to receive a benefit from a benefit formula component of a plan, other than a jointly sponsored plan, the amount of the deceased member's excess contributions, if any;
(d) if the deceased member had a spouse at the time of death and that spouse's interest in the member's benefits has not terminated within the meaning of subsection (6) and the plan text document of the plan does not provide that the spouse must transfer the commuted value of the deceased member's benefits from the plan,
(i) an explanation of what happens to the surviving spouse's benefits if the surviving spouse dies before pension commencement,
(ii) an explanation of the options available to the surviving spouse to elect a pension commencement date that is earlier or later than the plan's pension eligibility date, and an explanation of any adjustments to the amount of pension in each case,
(iii) an explanation of any cost of living adjustment provision of the plan text document that applies to the pension,
(iv) the name and address of the person to whom application must be made to start receiving the pension,
(v) a statement indicating that the surviving spouse must notify the administrator of any change of the surviving spouse's address, and
(vi) in the case of a plan of which the plan text document contains a benefit formula provision, a statement of when and how the surviving spouse's benefits under the benefit formula component may be reduced;
(e) if the deceased member was entitled to receive benefits from a defined benefit component of the plan, the solvency ratio of the defined benefit component as set out in the current actuarial valuation report, expressed as a percentage, and, unless the participating employer has remitted a contribution in accordance with section 80 (3) (a) (ii), if there is a transfer deficiency applicable to the deceased member's benefits,
(i) a statement that the current actuarial valuation report has established that there is a transfer deficiency in that the value of the assets of the defined benefit component would not have been sufficient to cover the defined benefit component benefits had the plan terminated on the review date applicable to that actuarial valuation report,
(ii) the amount of the transfer deficiency,
(iii) a statement indicating that, as at the date of the deceased member's death, the amount of the benefit that the surviving spouse, designated beneficiary or personal representative is entitled to receive is the commuted value of that benefit less the transfer deficiency,
(iv) a statement explaining, in accordance with section 80 (4) of this regulation, when the surviving spouse, designated beneficiary or personal representative will be entitled to receive the transfer deficiency, and
(v) a statement indicating that the amount the surviving spouse, designated beneficiary or personal representative is entitled to receive on the date referred to in subparagraph (iv) is the transfer deficiency plus interest calculated in accordance with section 69 (3);
(f) if the deceased member was entitled to receive benefits from a target benefit component of the plan,
(i) an explanation of when and how the amount of the deceased member's benefits under the target benefit component that the surviving spouse, designated beneficiary or personal representative is entitled to receive may be reduced, except for information about when and how the component's target benefit funded ratio, as set out in the current actuarial valuation report, affects the amount of the benefits, and
(ii) the target benefit funded ratio of the target benefit component as set out in the current actuarial valuation report, expressed as a percentage, and, if that target benefit funded ratio is less than 100%,
(A) a statement that the current actuarial valuation report has established that, as at the review date applicable to that actuarial valuation report, there was an unfunded liability in the target benefit component in that the value of the assets of the target benefit component was not sufficient to cover the target benefit component benefits,
(B) a statement of the steps being taken to address the unfunded liability, and
(C) a statement indicating that, as at the date of the deceased member's death, the amount of the deceased member's benefits that the surviving spouse, designated beneficiary or personal representative is entitled to receive is the amount determined by multiplying the commuted value of the benefit by the component's target benefit funded ratio as at the review date applicable to the current actuarial valuation report;
(g) in the case of a plan of which the plan text document contains a benefit formula provision, a statement of when and how the surviving spouse's or designated beneficiary's benefits, as applicable, under the benefit formula component may be reduced;
(i) the options available to the surviving spouse or designated beneficiary, as applicable, under the plan text document, and under section 79 (1) (a) and (2) of the Act, in relation to each of the surviving spouse's or designated beneficiary's benefits under the plan,
(ii) the deadlines under the plan text document for choosing any of those options,
(iii) the consequences, if any, under the plan text document of not meeting those deadlines, and
(iv) for each option that will lead to money being locked-in money, what that means to the spouse;
(i) whichever of the following is applicable:
(i) a statement that the pension legislation of British Columbia applies to determine the benefit entitlement of the deceased member;
(ii) if, under section 1 (9) of the Act, pension legislation of a jurisdiction other than British Columbia applies to determine the benefit entitlement of the member, a statement identifying that jurisdiction and indicating that its pension legislation applies to determine the benefit entitlement of the deceased member.
(6) For the purposes of subsection (2) or (5), a surviving spouse's interest in a deceased member's benefits has terminated if one of the following has been provided to the administrator:
(a) a waiver in Form 4 of Schedule 3 signed by the spouse before the deceased member's death in the presence of a witness and outside the presence of the member;
(b) confirmation, in a form and manner satisfactory to the administrator, that section 145 of the Family Law Act applies.
[am. B.C. Regs. 64/2021, s. 3; 196/2022, s. 8.]
38 (1) For the purposes of section 37 (1) (b) of the Act, if a retired member of a pension plan who was receiving life income type benefits dies, the administrator must provide a life income type benefits death benefits statement to the person referred to in subsection (2) of this section within 60 days after receipt of proof of the deceased member's death.
(2) A life income type benefits death benefits statement referred to in subsection (1) must be provided
(a) to the deceased member's surviving spouse, or
(b) if the deceased member had no spouse at the time of death, or if the deceased member's spouse's interest in the member's life income type benefits has terminated within the meaning of subsection (6),
(i) to the deceased member's designated beneficiary, or
(ii) if there is no living designated beneficiary, to the personal representative of the deceased member's estate.
(3) A life income type benefits death benefits statement referred to in subsection (1) must contain or be accompanied by the following information:
(a) the name of the plan and its provincial registration number;
(b) the name of, and contact information for, the administrator;
(c) the deceased member's name and date of death;
(d) the name of the deceased member's surviving spouse, if any;
(e) the name of the deceased member's designated beneficiary, if any;
(f) a statement of the right under section 37 (2) and (4) of the Act of the person to whom the life income type benefits death benefits statement is provided to examine, or to obtain from the administrator, additional information and records referred to in sections 42 and 43 of this regulation.
(4) A life income type benefits death benefits statement referred to in subsection (1) must contain or be accompanied by a reconciliation in relation to the deceased member's life income type benefits account setting out the balance of the deceased member's life income type benefits account as at the end of the most recently completed calendar year and the balance of the deceased member's life income type benefits account as at the date of the deceased member's death, and a reconciliation that accounts for the difference between those 2 balances by setting out the following as they relate to those balances:
(a) any transfer made to the life income type benefits account since the end of the most recently completed calendar year;
(b) any interest credited since the end of the most recently completed calendar year;
(c) any life income type benefits payments made since the end of the most recently completed calendar year;
(d) any administration expenses deducted, and any other payments, transfers or withdrawals made, since the end of the most recently completed calendar year.
(5) A life income type benefits death benefits statement referred to in subsection (1) must contain or be accompanied by the following information if and as it applies to the deceased member:
(a) if the deceased member had no spouse at the time of death, or if the deceased member's spouse's interest in the member's life income type benefits has terminated within the meaning of subsection (6), the amount that is payable to the deceased member's designated beneficiary or personal representative of the deceased member's estate under section 74 (10);
(b) if the deceased member had a spouse at the time of death and the spouse's interest in the member's life income type benefits has not terminated within the meaning of subsection (6),
(i) the maximum amount that under the Income Tax Regulations (Canada) may be transferred out of the plan to an RRSP, a RRIF or another pension plan and the amount, if any, by which the amount to which the surviving spouse is entitled exceeds that maximum,
(ii) if the plan text document allows the surviving spouse to elect to receive life income type benefits from the plan,
(A) the life income type benefits minimum amount for the calendar year in which the statement is provided,
(B) the life income type benefits maximum amount for the calendar year in which the statement is provided,
(C) a statement indicating that if the surviving spouse elects to receive life income type benefits from the plan, the spouse must, within 30 days after receipt of the life income type benefits death benefits statement, advise the administrator as to the amount of life income type benefits the spouse wishes to receive in the calendar year in which the statement is provided, and unless the surviving spouse provides that advice, the administrator will pay the life income type benefits minimum amount for the calendar year in which the statement is provided, and
(iii) if the surviving spouse is not entitled to or does not make the election referred to in subparagraph (ii), the spouse may make an election under section 74 (9) (a), if applicable, or (b);
(c) if the deceased member had a spouse at the time of death and the spouse's interest in the member's life income type benefits has not terminated within the meaning of subsection (6), an explanation of
(i) the options available to the surviving spouse under the plan text document in relation to each of the spouse's benefits under the plan and for each option that will lead to money being locked-in money, what that means to the spouse,
(ii) the deadlines under the plan text document for choosing any of those options, and
(iii) the consequences, if any, under the plan text document of not meeting those deadlines;
(d) whichever of the following is applicable:
(i) a statement that the pension legislation of British Columbia applies to determine the benefit entitlement of the deceased member;
(ii) if, under section 1 (9) of the Act, pension legislation of a jurisdiction other than British Columbia applies to determine the benefit entitlement of the deceased member, a statement identifying that jurisdiction and indicating that its pension legislation applies to determine the benefit entitlement of the deceased member.
(6) For the purposes of subsections (2) and (5), a surviving spouse's interest in a deceased member's life income type benefits has terminated if one of the following has been provided to the administrator:
(a) a waiver in Form 4 of Schedule 3 signed by the spouse before the deceased member's death in the presence of a witness and outside the presence of the member;
(b) confirmation, in a form and manner satisfactory to the administrator, that section 145 of the Family Law Act applies.
[am. B.C. Reg. 64/2021, s. 3.]
39 For the purposes of section 37 (1) (a) and (b) of the Act, an administrator of a pension plan that has been terminated must provide to each person referred to in section 131 (b) and (c) of this regulation, within 30 days after the superintendent provides notice under section 103 (1) (a) of the Act of the acceptance of the termination report filed in relation to the plan, a termination or winding-up statement containing the following:
(a) if the recipient is not a person receiving a pension, the information that the administrator would have, but for the termination of the plan, been required to provide to the recipient under section 33, 34 or 37, as the case may be, of this regulation;
(b) if the recipient is a person receiving a pension, one of the following statements:
(i) that an annuity will be purchased on the recipient's behalf;
(ii) that the recipient will be given the option for a transfer under section 134 of this regulation;
(c) if the recipient's benefits are to be reduced in accordance with section 135 of this regulation, the reasons for the reduction and a description of the method of reduction;
(d) if there is surplus, how the surplus will be withdrawn or distributed.
40 (1) For the purposes of section 37 (1) (a) of the Act, if contributions a member is required to make to a pension plan are to be changed
(a) as a result of an actuarial valuation report in the case of a jointly sponsored plan, or
(b) as a result of an amendment to the plan text document of a pension plan other than a jointly sponsored plan,
the administrator must, at least 30 days before the effective date of the change, provide to the member notice of the change.
(2) A notice referred to in subsection (1) must set out the following:
(a) the amount by which the contributions are changing;
(b) the effective date of the change;
(c) the reasons for the change.
(3) For the purposes of section 37 (1) (a) and (b) of the Act, if the benefits that a person is entitled to receive under the plan have been reduced, the administrator must, within 30 days after receiving, under section 22 (1) (b) of the Act, notice of the registration of the amendment relating to that reduction, provide to the person notice of the reduction setting out the following:
(a) the amount by which, or the basis on which, the benefits are being reduced;
41 If a joint and survivor form of pension was elected by a retired member, the joint annuitant is prescribed for the purpose of section 37 (1) (d) of the Act.
42 (1) For the purposes of section 37 (2) of the Act, if a statement or a notice under this Division is required to set out the amount of a benefit payable under a plan, the administrator of the plan must, within 30 days after receiving a request to do so, provide any person who is entitled to receive the statement or the notice with the data, and a description of the method, used to calculate the amount of that benefit.
(2) The administrator may provide the data and description required under subsection (1) by doing whichever of the following the administrator considers appropriate:
(a) allowing the person to examine the data and description;
(b) providing to the person, without charge, a written copy of the data and description.
[am. B.C. Reg. 264/2019, s. 7.]
43 (1) For the purposes of section 37 (2) of the Act, the following information is prescribed in relation to a pension plan:
(a) a plan summary provided under section 29 as that summary read on a specified date if, on that date,
(i) the person requesting the information was an active member of the plan or another person referred to in section 29 (1), or
(ii) the person through whom the person requesting the information derives the entitlement to a benefit was an active member of the plan;
(b) the plan text document, a provision of the plan text document or an amendment to the plan text document as that document, provision or amendment read on a specified date if, on that date,
(i) the person requesting the information was an active member of the plan, or
(ii) the person through whom the person requesting the information derives the entitlement to a benefit was an active member of the plan;
(c) an amendment to the plan text document, as that amendment read on a specified date that is later than the date referred to in paragraph (b), if the amendment affects the benefits to which the person requesting the information is or may have been entitled to receive;
(d) the record that authorizes the establishment of the plan or under which the plan is established or, if the record applies to more than the establishment of the plan, the portion of the record that applies to the establishment of the plan;
(e) the 3 most recent annual information returns filed in relation to the plan under section 38 (1) (a) of the Act;
(f) the 2 most recent actuarial valuation reports and cost certificates filed in relation to the plan under section 38 (1) (b) of the Act;
(g) the 3 most recent audited financial statements filed in relation to the plan under section 38 (1) (c) of the Act;
(h) each trust deed or trust agreement, insurance contract, bylaw and resolution relating to the plan;
(i) relates to the conditions of employment of the person requesting the information, or the conditions of employment of the person through whom the person requesting the information derives the entitlement to a benefit, and
(ii) contains provisions relating to the plan,
excluding the personal information, as defined in the Freedom of Information and Protection of Privacy Act or the Personal Information Protection Act, as applicable, of individuals other than the person requesting the information and the person through whom the person requesting the information derives the entitlement to a benefit;
(j) in the case of a non-collectively bargained multi-employer plan, the participation agreement referred to in section 36 (1) (a) of the Act and a list of all of the participating employers who signed that agreement;
(k) the governance policy referred to in section 42 of the Act established in relation to the plan;
(l) the statement of investment policies and procedures referred to in section 43 of the Act established in relation to the plan;
(m) the funding policy referred to in section 44 of the Act established in relation to the plan;
(n) the termination report, if any, filed in relation to the plan, excluding the personal information, as defined in the Freedom of Information and Protection of Privacy Act or the Personal Information Protection Act, as applicable, of individuals other than the person requesting the information;
(o) any report resulting from an inspection made by an authorized person under section 110 of the Act.
(2) For the purposes of section 37 (2) (a) of the Act, the following place is prescribed in relation to a pension plan:
(a) if the administrator and the person requesting the information agree on a place, the place on which they have agreed;
(b) if paragraph (a) does not apply, if the person requesting the information requests that the examination take place at the establishment of the administrator nearest to that person's residence, at that establishment;
(c) if neither paragraph (a) nor paragraph (b) applies,
(i) subject to subparagraphs (ii) and (iii), at the place where the plan is administered,
(ii) if the plan is a collectively bargained multi-employer plan or a negotiated cost plan and the person requesting the information requests that the examination take place at the establishment of a trade union that represents members of the plan, and that is nearest to the residence of the person requesting the information, at that establishment, or
(iii) if the plan is a non-collectively bargained multi-employer plan and the person requesting the information requests that the examination take place at the establishment of any participating employer that is nearest to the residence of the person requesting the information, at that establishment.
(3) The period prescribed for the purposes of section 37 (4) of the Act is the 30-day period that follows the receipt by the administrator of the written request referred to in that subsection.
(4) For the purposes of section 37 (5) of the Act, the following records are prescribed in relation to a pension plan:
(a) the most recent plan summary referred to in section 29;
(b) the plan text document and any amendments to it;
(c) the record that authorizes the establishment of the plan or under which the plan is established or, if the record applies to more than the establishment of the plan, the portion of the record that applies to the establishment of the plan;
(d) the 3 most recent annual information returns filed in relation to the plan under section 38 (1) (a) of the Act;
(e) the 2 most recent actuarial valuation reports and cost certificates filed in relation to the plan under section 38 (1) (b) of the Act;
(f) the 3 most recent audited financial statements filed in relation to the plan under section 38 (1) (c) of the Act;
(g) each trust deed or trust agreement, insurance contract, bylaw and resolution relating to the plan;
(h) in the case of a non-collectively bargained multi-employer plan, the participation agreement referred to in section 36 (1) (a) of the Act and a list of all of the participating employers who signed that agreement;
(i) the governance policy referred to in section 42 of the Act established in relation to the plan;
(j) the statement of investment policies and procedures referred to in section 43 of the Act established in relation to the plan;
(k) the funding policy referred to in section 44 of the Act established in relation to the plan;
(l) the termination report, if any, filed in relation to the plan, excluding the personal information, as defined in the Freedom of Information and Protection of Privacy Act or the Personal Information Protection Act, as applicable, of individuals other than the person requesting the information;
(m) any report resulting from an inspection made by an authorized person under section 110 of the Act.
(5) The administrator must fulfill the duties under section 37 (2) or (5) of the Act within 30 days after receipt of a request.
[am. B.C. Reg. 196/2022, s. 9.]
Division 3 — Reports and Returns
44 (1) An annual information return must contain the following:
(i) the administration of the plan,
(ii) contributions to the plan, and
(b) any other information required by the superintendent.
(2) Subject to subsection (4), an annual information return must be filed for a pension plan within 180 days after the end of each fiscal year of the plan, along with payment of the fee required by section 138 (1) (b).
(3) Except for an annual information return required under subsection (4), a plan's annual information return must contain information required under subsection (1) in respect of the most recently completed fiscal year.
(4) If a pension plan is terminated, an annual information return must be filed for the plan, along with payment of the fee required by section 138 (1) (b), as follows:
(a) if the plan text document of the plan does not contain a benefit formula provision, the annual information return must be filed within 60 days after the effective date of the termination of the plan;
(b) if the plan text document of the plan contains one or more benefit formula provisions, the annual information return must be filed within 120 days after the effective date of the termination of the plan.
(5) If a pension plan is terminated and the fiscal year of the plan is extended under section 11 (2) of the Act to include the period between the date on which the plan's fiscal year would have ended had there been no extension and the effective date of the plan's termination, the plan's annual information return must contain information required under subsection (1) in respect of the extended fiscal year.
(6) If a pension plan is terminated and the fiscal year of the plan referred to in subsection (3) is not extended under section 11 (2) of the Act in the manner referred to in subsection (5) of this section, the annual information return required under subsection (4) must contain information required under subsection (1) in respect of the period starting on the date as at which the preceding annual information return was prepared and ending on the effective date of the plan's termination.
(7) An annual information return required by section 101 (b) of the Act must, until the solvency deficiency referred to in that section is eliminated, be filed within 60 days after each anniversary of the effective date of the termination of the plan, along with payment of the fee required by section 138 (1) (b).
45 (1) This section applies to a pension plan of which the plan text document contains one or more benefit formula provisions.
(2) The administrator of a pension plan must have the plan reviewed as follows:
(a) in the case of a new plan, as at the date specified in the plan text document as the effective date of the plan;
(b) in addition to the review required under paragraph (a), not more than 3 years after the last review date and
(i) as at the end of a fiscal year of the plan, or
(ii) if, in accordance with subsection (3), the plan text document provides for a review date that is other than the end of a fiscal year, as at the review date provided for in the plan text document.
(3) Unless the plan text document of a pension plan specifies otherwise, the review date of the plan is the fiscal year end of the plan.
(4) If the plan text document of the plan is amended to provide for a review date other than the fiscal year end of the plan, the plan text document must not be amended to further change that review date within the 9-year period immediately following the effective date of the amendment.
(5) If an amendment to a plan text document, a change in plan membership or a change in the contribution rate applicable to a target benefit component of a pension plan
(a) materially affects the cost of benefits provided by the plan, or
(b) creates an unfunded liability or a solvency deficiency,
the administrator must have an actuarial valuation report and a cost certificate prepared, or have the current actuarial valuation report and cost certificate revised, as at the effective date of the amendment or the change.
[am. B.C. Reg. 287/2020, s. 2.]
46 (0.1) In this section, "actuarial loss", in relation to a benefit formula component of a pension plan, means the amount that represents the decrease between the projected financial position of the plan component and the actual financial position of the plan component.
(1) This section applies to a pension plan of which the plan text document contains one or more benefit formula provisions.
(2) Each actuarial valuation report and cost certificate resulting from a review must be filed as follows:
(a) subject to paragraph (b), within 270 days after the review date;
(b) if the actuarial valuation report or cost certificate is required in relation to an amendment or change referred to in section 45 (5), on or within 60 days after the date of the filing of the amendment or the date the change occurs or, if this regulation requires a different filing date, in accordance with that requirement.
(3) Each actuarial valuation report and cost certificate must be prepared in a manner that is consistent with the standards of practice, issued by the Canadian Institute of Actuaries, for the preparation of actuarial valuation reports in connection with pension plans, and the reviewer must certify that the actuarial valuation report or cost certificate has been prepared in that manner.
(4) Subject to this section, an actuarial valuation report and a cost certificate must include the following:
(a) the normal actuarial cost applicable to each benefit formula component, payable by the participating employer and active members, if applicable,
(i) for the fiscal year following the review date if the review date falls on the last day of a fiscal year, or
(ii) for the fiscal year in which the review date falls if the review date falls on any other day;
(b) the rules by which the following amounts were determined:
(i) in the case of a plan other than a jointly sponsored plan, the amount of the contributions the participating employer must make and, if applicable, the amount of the member-required contributions the active members must make in respect of the normal actuarial cost;
(ii) in the case of a jointly sponsored plan, the amount of the contributions the participating employer must make and the amount of the contributions the active members must make, in respect of the normal actuarial cost;
(c) subject to subsection (8), if the plan text document contains a defined benefit provision,
(i) the amount of the unfunded liability, if any,
(ii) the sum of the special payments that are required under section 57 (2) (b), if any,
(iii) the special payments, if any, to be made under section 57 (2) (b) or (3) by the participating employer or, in the case of a jointly sponsored plan, by the participating employer and the active members, and
(iv) in the case of a jointly sponsored plan, the rules by which the amount of the special payments referred to in subparagraph (iii) was determined;
(d) if the plan text document contains a defined benefit provision and the defined benefit component has a solvency deficiency,
(i) the amount of the solvency deficiency,
(ii) the special payments to be made under section 57 (2) (c) or (3) by the participating employer or, in the case of a jointly sponsored plan, by the participating employer and the active members, and
(iii) in the case of a jointly sponsored plan, the rules by which the amount of the special payments referred to in subparagraph (ii) was determined;
(e) if the plan text document contains a target benefit provision and the target benefit component has an unfunded liability,
(i) the date of establishment of the unfunded liability,
(iii) the special payments to be made under section 58 (2) (c) or (4) by the participating employer or, in the case of a jointly sponsored plan, by the participating employer and the active members, to amortize it,
(iv) in the case of a jointly sponsored plan, the rules by which the amount of the special payments referred to in subparagraph (iii) was determined, and
(v) the date at which it will be amortized;
(f) if the plan text document contains a target benefit provision and the target benefit component has a solvency deficiency, the amount of the solvency deficiency;
(i) in the case of a plan that is not a divisional multi-employer plan, the plan's accessible going concern excess;
(ii) in the case of a divisional multi-employer plan, each participating employer's accessible going concern excess;
(h) if known to the reviewer, a description of how the amount referred to in paragraph (g) will be used;
(i) the market value of the assets of each benefit formula component as at the review date;
(j) subject to subsection (8), the going concern assets value in relation to each benefit formula component as at the review date and a description of the assumptions and valuation methods used to determine those going concern assets values;
(k) the solvency assets value in relation to each benefit formula component as at the review date and a description of the assumptions and valuation methods used to determine those solvency assets values;
(l) subject to subsection (8), the going concern liabilities value in relation to each benefit formula component as at the review date and a description of the assumptions and valuation methods used to determine those going concern liabilities values, with respect to each of the following:
(ii) deferred members and all other persons entitled to benefits under the component;
(iii) retired members and all other persons who are receiving benefits under the component;
(m) the solvency liabilities value in relation to each benefit formula component as at the review date and a description of the assumptions and valuation methods used to determine those solvency liabilities values, with respect to each of the following:
(ii) deferred members and all other persons entitled to benefits under the component;
(iii) retired members and all other persons who are receiving benefits under the component;
(n) in the case of an actuarial valuation report and a cost certificate other than those filed as part of the application for registration of the plan,
(i) an analysis of the actuarial gains and actuarial losses established by the review, and
(ii) an identification of the sources of actuarial gains and actuarial losses since the immediately preceding review date and the amount of the actuarial gain or actuarial loss attributable to each of those sources;
(o) in the case of a negotiated cost plan of which the plan text document contains a defined benefit provision, if contributions related to that provision are based on a fixed percentage of payroll or a fixed amount per hour of employment, the following in respect of each defined benefit component of the plan:
(i) the average percentage of payroll or the average amount, per hour of employment, that, under the terms of the collective agreement, must be contributed in each fiscal year covered by the actuarial valuation report;
(ii) the average percentage of payroll or the average amount, per hour of employment, needed to fund the normal actuarial cost applicable to that defined benefit component;
(ii.1) the percentage or the amount referred to in subparagraph (ii) in relation to that defined benefit component multiplied by the PfAD applicable to that defined benefit component;
(iii) the average percentage of payroll or the average amount, per hour of employment, needed to make the payments, if any, under section 57 (3) for that defined benefit component;
(iv) the average percentage of payroll or the average amount, per hour of employment, needed to make the payments referred to in subparagraph (iii) that would otherwise be required under section 57 (2) (b);
(iv.1) the average percentage of payroll or the average amount, per hour of employment, needed to make the payments referred to in subparagraph (iii) that would otherwise be required under section 57 (2) (c);
(v) the average percentage of payroll or the average amount per hour of employment of accessible going concern excess, if any, being used to meet the funding requirements under section 57 applicable to that defined benefit component as follows:
(A) in the case of a plan that is not a divisional multi-employer plan, the plan's accessible going concern excess;
(B) in the case of a plan that is a divisional multi-employer plan, each participating employer's accessible going concern excess;
(vi) the payroll or the number of hours of employment in that fiscal year that, for the purposes of the review, is expected to be the total payroll or total number of hours of employment for the active members accruing benefits under the applicable defined benefit provision;
(vii) the amount of expected contributions to be contributed by the participating employer and the active members, if applicable,
(A) for the fiscal year following the review date if the review date falls on the last day of a fiscal year, or
(B) for the fiscal year in which the review date falls if the review date falls on a day other than the last day of a fiscal year;
(p) in the case of a pension plan of which the plan text document contains a target benefit provision, if contributions related to that provision are based on a fixed percentage of payroll or a fixed amount per hour of employment, the following in respect of each target benefit component in the plan:
(i) the average percentage of payroll or the average amount, per hour of employment, that, under the terms of the plan documents, must be contributed in each fiscal year covered by the actuarial valuation report;
(ii) the average percentage of payroll or the average amount, per hour of employment, needed to fund the normal actuarial cost applicable to that target benefit component;
(iii) the average percentage of payroll or the average amount, per hour of employment, needed to amortize each unfunded liability, if any, in that target benefit component;
(iv) the percentage or the amount referred to in subparagraph (ii) in relation to that target benefit component multiplied by the PfAD applicable to that target benefit component;
(v) the average percentage of payroll or the average amount per hour of employment of accessible going concern excess, if any, being used to meet the funding requirements under section 58 applicable to that target benefit component as follows:
(A) in the case of a plan that is not a divisional multi-employer plan, the plan's accessible going concern excess;
(B) in the case of a plan that is a divisional multi-employer plan, each participating employer's accessible going concern excess;
(vi) the payroll or the number of hours of employment in that fiscal year that, for the purposes of the review, is expected to be the total payroll or total number of hours of employment for the active members accruing benefits under the applicable target benefit provision;
(vii) the amount of expected contributions to be contributed by the participating employer and the active members, if applicable,
(A) for the fiscal year following the review date if the review date falls on the last day of a fiscal year, or
(B) for the fiscal year in which the review date falls if the review date falls on a day other than the last day of a fiscal year;
(q) if the plan text document contains a defined benefit provision, the solvency ratio and the PfAD of the defined benefit component as at the review date;
(r) if the plan text document contains a target benefit provision, the following with respect to each target benefit component as at the review date:
(i) the target benefit funded ratio;
(ii) Repealed. [B.C. Reg. 196/2022, s. 13 (a).]
(iii) the PfAD that applies to
(A) the normal actuarial cost, and
(B) the going concern liabilities value;
(s) any other information required by the superintendent.
(5) If a going concern valuation is made in respect of a component that provides a pension based on
(a) a rate of salary during a period immediately before the date of pension commencement, or
(b) average rates of salary over a specified and limited period,
a projection of the current salary of each member must be used to estimate the salary on which the pension payable at the member's pension commencement date will be based.
(6) If the actuarial method used in a review may not allow the reviewer to determine whether there is a funding requirement under section 57 (2) (b) or (c) or 58 (2) (c), the reviewer must
(a) perform whatever calculations are necessary to allow the reviewer to determine whether the funding requirements under section 57 or 58, as applicable, are being met, and
(b) certify that the pension plan is being funded in accordance with the Act and this regulation.
(7) If the plan text document contains a defined benefit provision and a solvency reserve account has been established for the defined benefit component, an actuarial valuation report and cost certificate for the plan must account separately for the solvency reserve account and the remainder of the plan's pension fund.
(8) Subsection (4) (c), (j) and (l) does not apply to a pension plan if
(a) the plan text document contains a defined benefit provision, and
(b) the superintendent has consented under section 95 (1) of the Act to the continuation of the pension plan.
[am. B.C. Regs. 264/2019, s. 8; 196/2022, ss. 10 to 13.]
47 (1) The administrator of a pension plan must, within 180 days after the end of the plan's fiscal year, file audited financial statements for the plan if
(a) the plan text document of the plan contains a benefit formula provision and the market value of the benefit formula component's assets is at least $10 million as at the plan's fiscal year end, or
(b) the plan is a collectively bargained multi-employer plan.
(2) Audited financial statements filed under subsection (1) must be prepared in accordance with the accounting standards contained in the CPA Canada Handbook — Accounting and the CPA Canada Handbook — Assurance, as amended from time to time, except that those statements need not include information respecting benefit obligations.
[am. B.C. Reg. 264/2019, s. 9.]
Division 4 — Repayment of Contributions or Transfer of Benefits
48 For the purposes of section 40 of the Act, if a person becomes entitled or obligated to receive a lump-sum payment or a transfer of benefits from a pension plan, the administrator of the plan must make the payment or transfer within 60 days after the later of
(a) the event giving rise to the entitlement or obligation, and
(b) the receipt by the administrator of all records that are necessary to allow the administrator to make the payment or transfer, including evidence required under section 67 of the Act.
Division 5 — Assessment of Plan and Plan Policies
49 For the purposes of section 41 (1) of the Act, an administrator of a pension plan must assess the administration of the plan as follows:
(a) for the first time, within one year after the end of the second fiscal year of the plan;
(b) after that, within one year after the end of every third fiscal year of the plan.
50 An administrator of a pension plan must ensure that the governance policy established under section 42 of the Act does the following:
(a) sets out the structures and processes for overseeing, managing and administering the plan;
(b) explains what those structures and processes are intended to achieve;
(c) identifies all participants who have authority to make decisions in respect of those structures and processes, and describes the roles, responsibilities and accountabilities of those participants;
(d) sets performance measures and establishes a process for monitoring, against those performance measures, the performance of each of the participants identified in paragraph (c);
(e) establishes procedures to ensure that the administrator and, as necessary, any other participants in those structures and processes have access to relevant, timely and accurate information;
(f) establishes a code of conduct for the administrator and a procedure to disclose and address conflicts of interest of the administrator;
(g) establishes an ongoing process to identify the educational requirements and skills necessary for the administrator to perform the administrator's duties in relation to the plan;
(h) identifies the material risks that apply to the plan and establishes internal controls to manage those risks;
(i) establishes a process for the resolution of disputes involving members or other persons who are entitled to benefits under the plan.
[am. B.C. Reg. 64/2021, s. 3.]
51 (1) The administrator of a pension plan must ensure that the written statement of investment policies and procedures required under section 43 of the Act is established.
(2) In establishing the statement of investment policies and procedures, the administrator must have regard to all factors that may affect the funding and solvency of the plan and the ability of the plan to meet its financial obligations, including, without limitation, the following:
(a) categories of investments, including derivatives;
(b) diversification of the investment portfolio;
(c) asset mix and the basis on which that mix is determined, including by reference to volatility and rate of return expectations;
(e) the lending of cash or securities;
(f) the retention or delegation of voting rights acquired through investments;
(g) the method of, and the basis for, the valuation of investments that are not regularly traded at a marketplace, as defined in section 2 (1) of the Pension Benefits Standards Regulation, 1985 (Canada), SOR/87-19;
(h) related party transactions permitted under section 17 of federal Schedule III and the criteria to be used to establish whether a transaction is nominal or immaterial to the plan.
(3) The statement referred to in subsection (1) must include
(a) a description of the factors to which the administrator had regard when establishing the statement, and
(b) how those factors were applied to establish the policies and procedures set out in the statement.
(4) If investments of the plan are directed entirely by the members, a statement of investment policies and procedures is not required.
52 If the plan text document of a pension plan contains a benefit formula provision, the administrator of the plan must ensure that the funding policy established for the plan under section 44 of the Act does the following:
(a) sets out the funding objectives for the plan as it relates to the following items:
(i) if applicable, benefit security;
(iii) if applicable, stability of contributions;
(iv) if applicable, contribution levels;
(b) identifies the material risks that affect the plan's funding requirements and the tolerances for those risks, and establishes internal controls to manage those risks;
(b.1) in the case of a plan that contains a target benefit component, sets out the intended method for identifying a PfAD that is expected to
(i) achieve the funding objectives set out in the funding policy, and
(ii) manage the material risks identified in the funding policy;
(c) sets out expectations for the going concern funded ratio and, if applicable, the solvency ratio of the plan;
(d) sets out the expectations for the amortization of unfunded liabilities and, if applicable, solvency deficiencies;
(e) in the case of a negotiated cost plan, a jointly sponsored plan or a plan that contains a target benefit component, sets out the expectations for a reduction of benefits under section 20 (2) of the Act in the event that the circumstances of the plan or component require a reduction of benefits;
(f) sets out expectations for the use of actuarial excess;
(g) establishes a standard for the frequency of the preparation of actuarial valuation reports, whether or not those actuarial valuation reports comply with the definition of "actuarial valuation report" in section 1 (1) of this regulation or are filed with the superintendent under section 38 (1) (b) (i) of the Act.
[am. B.C. Reg. 196/2022, s. 14.]
Division 6 — Participating Employers
53 An employer must, within 60 days after becoming a participating employer in a non-collectively bargained multi-employer plan, enter into a participation agreement that complies with section 36 (1) of the Act and section 28 of this regulation.
54 The following are prescribed for the purposes of section 50 (2) (d) of the Act:
(a) the British Columbia Pension Corporation established under the Public Sector Pension Plans Act;
(b) a society established under the Pension Fund Societies Act;
(c) a society established under the Pension Fund Societies Act (Canada).
55 (1) For the purposes of section 51 (a) of the Act, the fundholder of a pension plan must hold the pension fund
(a) in a name that clearly indicates that the assets are held in trust for the pension plan and, where the assets are capable of being registered, registered in the name of the pension plan,
(b) in the name of a savings institution, or a nominee of the savings institution, in accordance with a custodial agreement or trust agreement, entered into on behalf of the plan with the savings institution, that clearly indicates that the assets are held for the plan, or
(c) in the name of a clearing agency as defined in the Securities Transfer Act, or a nominee of a clearing agency, in accordance with a custodial agreement or trust agreement, entered into on behalf of the plan with a savings institution, that clearly indicates that the assets are held for the plan.
(2) If the fundholder is a trust referred to in section 50 (2) (b) (ii) of the Act, that fundholder must hold the pension fund in the name of a savings institution, or a nominee of a savings institution, in accordance with a custodial agreement or trust agreement, entered into on behalf of the plan with the savings institution, that clearly indicates that the assets are held for the plan.
(3) For the purposes of subsections (1) and (2), "custodial agreement" means an agreement providing that
(a) an asset held on behalf of a plan pursuant to the agreement
(i) constitutes part of the plan's pension fund, and
(ii) does not constitute an asset of the custodian or nominee, and
(b) the custodian must maintain records that are sufficient to allow the ownership of any asset to be traced to the plan.
(4) If the plan text document of a pension plan does not contain a benefit formula provision, the superintendent may request, in writing, the fundholder of the plan to file a pension fund statement for each defined contribution component of the plan, and, in that event, the fundholder must prepare the requested pension fund statements as at the plan's fiscal year end and file them within 60 days after the date of the superintendent's request.
(5) On a quarterly basis each fiscal year, the fundholder of a pension plan, other than a collectively bargained multi-employer plan, must monitor the remittance by the participating employer of member and participating employer contributions made under section 56 (1) of the Act and compare those amounts against the summary of contributions required to be made in respect of the plan under section 56 (5) of the Act.
(6) Where, pursuant to a comparison made under subsection (5), the member and participating employer contributions actually remitted are less than 90% of the amounts expected to be remitted, the fundholder to whom the contributions ought to have been remitted must, within 45 days after the end of the quarter referred to in subsection (5), provide to the superintendent, whether or not the contributions were subsequently remitted, a written notice advising of the failure of the participating employer to remit, which notice must include the following:
(a) the name of the plan and its provincial registration number;
(b) current contact information of the person who prepared the notice;
(c) the amount, if any, of the required contributions that have been remitted and the amount of the required contributions that are outstanding or an estimate of them;
(d) the period or periods to which the contributions referred to in paragraph (c) relate;
(e) the amount, if any, of the outstanding contributions that were remitted after the end of the quarter and before the notice is provided;
(f) any other information or records required by the superintendent for the purposes of this subsection.
Part 6 — Funding, Contributions and Assets
56 In this Part, "plan contributor", in relation to a pension plan, means
(a) the participating employers in the plan, if the plan is neither a jointly sponsored plan nor a divisional multi-employer plan,
(b) the participating employers and the active members in the plan, if the plan is a jointly sponsored plan that is not a divisional multi-employer plan, or
(c) each participating employer in the plan, if the plan is a divisional multi-employer plan.
[en. B.C. Reg. 264/2019, s. 10.]
57 (1) This section applies to a pension plan of which the plan text document contains one or more defined benefit provisions.
(2) Subject to subsection (3) and section 63, a plan contributor must, in accordance with this subsection, pay each of the following into the plan, or, in the case of a divisional multi-employer plan, pay the plan contributor's share of each of the following into the plan:
(a) at least monthly, an amount equal to 1/12 of the defined benefit component's normal actuarial cost determined on the basis of the current actuarial valuation report or cost certificate;
(i) and (ii) Repealed. [B.C. Reg. 264/2019, s. 11 (a).]
(a.1) if the current actuarial valuation report does not establish that the defined benefit component has accessible going concern excess, at least monthly, an amount equal to the product of the PfAD and the amount referred to in paragraph (a);
(b) at least monthly, an amount equal to 1/120 of the amount, if any, established by the current actuarial valuation report, by which the going concern assets value of the defined benefit component is less than the amount determined by the following formula:
| the going concern liabilities value of the defined benefit component | + | the going concern liabilities value of the defined benefit component | × PfAD | − | the value of any annuities held by the plan's pension fund for the defined benefit component | × PfAD |
(c) at least monthly, an amount equal to 1/60 of the amount, if any, established by the current actuarial valuation report, by which 85% of the solvency liabilities value of the defined benefit component exceeds the sum of the solvency assets value of the defined benefit component and the solvency asset adjustment.
(2.1) Any payments referred to in subsection (2) must
(a) start in the first month of the fiscal year of the plan following the review date, in the case of a plan other than a jointly sponsored plan, or
(b) start in the first month of the second fiscal year of the plan following the review date, in the case of a jointly sponsored plan.
(3) Instead of making the payments referred to in subsection (2) (b) or (c) during the period referred to in paragraph (a) of this subsection, the plan contributor may elect to make payments into the plan under this subsection if
(a) the payments are made at least monthly over the 3-year period
(i) that starts in the first month of the fiscal year of the plan following the review date, in the case of a plan other than a jointly sponsored plan, or
(ii) that starts in the first month of the second fiscal year of the plan following the review date, in the case of a jointly sponsored plan,
(b) the payment amounts are calculated as a percentage of the payroll or as an average amount per hour of employment that was projected for the members as at the review date of the actuarial valuation report by which the requirement to make payments under subsection (2) (b) or (c) was established, and
(c) the sum of the payments over the period referred to in paragraph (a), or any shorter period selected by the administrator for the purposes of this subsection, is equal to the sum of the payments that would otherwise be required under subsection (2) (b) or (c) during the period referred to in paragraph (a) of this subsection.
(4) to (9) Repealed. [B.C. Reg. 264/2019, s. 11 (c).]
(10) If a defined benefit component of a pension plan or a participating employer's share of a defined benefit component of a pension plan has accessible going concern excess, the accessible going concern excess may
(a) be left in the plan component,
(b) subject to section 22, be used to increase benefits under the defined benefit provision,
(c) subject to section 63 of the Act and section 71 of this regulation, be applied to reduce or eliminate the contributions referred to in subsection (2) (a) of this section, or
(d) subject to section 62 of the Act and section 70 of this regulation, be distributed as provided by the plan text document or, if section 62 (3) of the Act applies, to the persons referred to in a proposal as contemplated by section 62 (3) (a) of the Act.
(11) If a defined benefit component of a pension plan has accessible solvency excess, the accessible solvency excess may
(a) be left in the defined benefit component, or
(b) subject to section 54 of the Act and section 61 of this regulation, be withdrawn by the person referred to in section 61 (1) (a) of this regulation.
(12) If a plan contributor is required to make payments referred to in subsection (2) or (3), the plan contributor may make larger payments, more frequent payments or earlier payments than what is required, and, in that event, the plan contributor may, despite subsections (2) and (3), reduce or eliminate subsequent payments provided that the sum of the payments made under this subsection is never less than the sum of the payments that would otherwise have been required under subsection (2) or (3).
(13) The reviewer preparing an actuarial valuation report in relation to a negotiated cost plan must
(a) determine whether the expected contributions will be sufficient to meet the funding requirements applicable to the defined benefit component, and
(b) if the reviewer determines that the expected contributions are not sufficient to meet the funding requirements applicable to the defined benefit component,
(i) promptly advise the administrator, and
(ii) propose measures to the administrator that will ensure that contributions will be sufficient to meet the funding requirements applicable to the defined benefit component.
(14) If the administrator of the plan receives the advice referred to in sub-section (13) (b) in relation to the plan, the administrator must,
(a) promptly after receiving the advice, notify the superintendent that the contributions to the plan required by the plan documents in relation to the defined benefit component are not sufficient to meet the funding requirements applicable to that plan component, and
(b) concurrently with or before the filing of the actuarial valuation report,
(i) satisfy the superintendent that a contribution increase, sufficient to allow the plan to meet the funding requirements applicable to the defined benefit component, has been incorporated into the applicable collective agreement, or
(ii) under section 20 (2) (a) of the Act, amend the plan text document to reduce benefits.
(15) Despite any other provision of this section, this section applies to designated plans as defined in the Income Tax Regulations (Canada) but only to the extent allowed under those regulations.
[am. B.C. Regs. 264/2019, s. 11; 196/2022, s. 15.]
"establishment date", in the case of an unfunded liability of a target benefit component of a pension plan, means
(a) the review date as at which the existence of the unfunded liability was established, or
(b) if the unfunded liability resulted from an amendment to the plan text document of the plan, the effective date of the amendment;
"expected average remaining service life", in relation to a target benefit component of a pension plan, means the expected average number of years or portions of years that the reviewer who prepared the current actuarial valuation report estimated to be worked by active members accruing benefits under the component, from the review date of the current actuarial valuation report until the anticipated date that each active member terminates active membership, based on the demographic assumptions used in the most recent actuarial valuation;
"unfunded liability payment period", in relation to an unfunded liability of a target benefit component of a pension plan, means
(a) in the case of a plan other than a jointly sponsored plan, the shorter of
(i) the 15-year period that begins on the establishment date of the unfunded liability, and
(ii) the expected average remaining service life that begins on the establishment date of the unfunded liability, or
(b) in the case of a jointly sponsored plan, the shorter of
(i) the 15-year period that begins on the first anniversary of the establishment date of the unfunded liability, and
(ii) the expected average remaining service life that begins on the first anniversary of the establishment date of the unfunded liability.
(1) This section applies to a pension plan of which the plan text document contains one or more target benefit provisions.
(2) Subject to subsection (4), a plan contributor must, in accordance with this subsection, pay the following into the plan or, in the case of a divisional multi-employer plan, pay the plan contributor's share of the following into the plan:
(a) at least monthly, an amount that is equal to 1/12 of the target benefit component's normal actuarial cost determined on the basis of the current actuarial valuation report or cost certificate,
(i) starting in the first month of the fiscal year of the plan following the review date, in the case of a plan other than a jointly sponsored plan, or
(ii) starting in the first month of the second fiscal year of the plan following the review date, in the case of a jointly sponsored plan;
(b) at least monthly, an amount equal to the product of the PfAD and the amount referred to in paragraph (a);
(c) without limiting any other obligation on the plan contributor to make payments under this section in relation to any previous unfunded liability of the target benefit component, if the current actuarial valuation report establishes the existence of an unfunded liability for the target benefit component, a series of equal payments that are made at least monthly, which series of payments must be sufficient, in the opinion of the reviewer who prepared that actuarial valuation report, to amortize the unfunded liability within the unfunded liability payment period applicable to it.
(3) If, under section 92 of the Act, the plan text document of a pension plan is amended to convert a defined benefit provision to a target benefit provision, the payments required under subsection (2) (b) in relation to that target benefit provision need not begin until the third anniversary of the date on which the conversion occurred.
(4) Instead of making the payments referred to in subsection (2) (c) in relation to an unfunded liability, the plan contributor may elect to make payments into the plan under this subsection if
(a) the payments are made at least monthly over the unfunded liability payment period applicable to the unfunded liability,
(b) the payment amounts are identical and are calculated as a percentage of the payroll or as an average amount per hour of employment that, as at the review date of the actuarial valuation report by which the existence of the unfunded liability was established, was projected for the members, and
(c) the actuarial present value of the payments over the period referred to in paragraph (a), or any shorter period selected by the administrator for the purposes of this subsection, is equal to the unfunded liability.
(5) Without limiting subsections (2) and (4), each unfunded liability must be funded by a separate series of payments under subsection (2) (c) or (4) and must not be combined with any other unfunded liability.
(6) If the current actuarial valuation report prepared in relation to a pension plan establishes that the total amount of all unfunded liabilities of the plan component is less than the total amount of all unfunded liabilities projected for the plan component in the previously filed actuarial valuation report, the amount of that actuarial gain must be used
(a) to eliminate every unfunded liability of that plan component, or
(b) if the amount of that actuarial gain is insufficient to eliminate every unfunded liability of the plan component, to reduce the unfunded liabilities of the plan component, with the unfunded liabilities of the plan component being eliminated or reduced chronologically, beginning with the oldest unfunded liability.
(7) If the target benefit component's actuarial gain is used in the manner referred to in subsection (6) (b) to reduce the amount of an unfunded liability, the payments that are, under subsection (2) or (4), required to be made in relation to that unfunded liability may be
(a) reduced, on a prorated basis, and paid over
(i) the remainder of the applicable unfunded liability payment period, or
(b) left unreduced and paid over a shorter period than the applicable unfunded liability payment period.
(8) If a target benefit component of a pension plan has accessible going concern excess, the accessible going concern excess may
(a) be left in the target benefit component,
(b) subject to section 21 of the Act and sections 21 and 22 of this regulation, be used to increase benefits under the target benefit provision, or
(c) subject to section 63 (3) (c) of the Act and section 3 (2.1) of this regulation, be used or applied in relation to the component to meet the funding requirements applicable to the target benefit component or in any other way contemplated by the plan text document.
(9) If a plan contributor is required under subsection (2) or (4) to make payments in relation to an unfunded liability, the plan contributor may make larger payments, more frequent payments or earlier payments than what is required, and, in that event, the plan contributor may, despite subsections (2) and (4), reduce or eliminate subsequent payments provided that
(a) the unfunded liability is eliminated within the applicable unfunded liability payment period, and
(b) the balance of the unfunded liability never exceeds the amount of that unfunded liability that would have existed had the full amount of the payments required under subsection (2) or (4) been made.
(10) The reviewer preparing an actuarial valuation report in relation to a pension plan must
(a) determine whether the expected contributions will be sufficient to meet the funding requirements applicable to the target benefit component, and
(b) if the reviewer determines that the expected contributions are not sufficient to meet the funding requirements applicable to the target benefit component,
(i) promptly advise the administrator, and
(ii) propose measures to the administrator that will ensure that contributions will be sufficient to meet the funding requirements applicable to the target benefit component.
(11) If the administrator of the plan receives the advice referred to in subsection (10) (b) in relation to the plan, the administrator must,
(a) promptly after receiving the advice, notify the superintendent that the contributions to the plan required by the plan documents in relation to the target benefit component are not sufficient to meet the funding requirements applicable to that component, and
(b) concurrently with or before the filing of the actuarial valuation report,
(i) satisfy the superintendent that a contribution increase, sufficient to allow the plan to meet the funding requirements applicable to the target benefit component, has been incorporated into the applicable collective agreement, if any, or
(ii) under section 20 (2) (b) of the Act, amend the plan text document to reduce or eliminate benefits or increase contributions.
(12) Despite any other provision of this section, this section applies to designated plans as defined in the Income Tax Regulations (Canada) but only to the extent allowed under those regulations.
[am. B.C. Regs. 264/2019, s. 12; 287/2020, ss. 2 and 3; 196/2022, s. 16.]
59 If, in preparing an actuarial valuation report in relation to a pension plan of which the plan text document contains a benefit formula provision, the reviewer uses an averaging method that stabilizes short-term fluctuations in the market value of the assets of the benefit formula component when determining the going concern assets value of the component, the method by which and the period over which the averaging occurs must be satisfactory to the superintendent.
60 When preparing an actuarial valuation report in relation to a pension plan of which the plan text document contains a target benefit provision, the reviewer must do the following in a manner satisfactory to the superintendent:
(a) select the factors that, in the reviewer's opinion, pose a material risk to the plan's ability to meet the funding requirements under section 58;
(b) reflect, in the actuarial valuation report, for each of the selected risk factors, any material changes that would be necessitated in the report if a situation contemplated by that risk factor changed in a reasonably foreseeable way without any of the other situations contemplated by any of the other risk factors changing;
(c) explain the justification for selecting the risk factors referred to in paragraph (a) and the situational changes considered under paragraph (b).
61 (1) For the purposes of section 54 (5) of the Act, actuarial excess may, subject to subsection (2) of this section, be withdrawn from a plan's solvency reserve account as follows:
(a) the person who may withdraw actuarial excess from the plan's solvency reserve account is the administrator of the plan;
(i) in the case of a plan that is not a divisional multi-employer plan, withdraw an amount that is not more than the plan's accessible solvency excess, or
(ii) in the case of a participating employer in a divisional multi-employer plan, withdraw an amount that is not more than the participating employer's accessible solvency excess.
(2) Actuarial excess must not be withdrawn from the plan's solvency reserve account unless
(a) the administrator has made written application to the superintendent for consent to withdraw
(i) not more than 20% of the plan's accessible solvency excess or not more than 20% of the participating employer's accessible solvency excess, as the case may be, in the fiscal year in which the application is made, and
(ii) not more than 20% of that accessible solvency excess in the following fiscal years, if any, to which the application applies, up to a maximum of the 2 following fiscal years,
(b) the existence and amount of the accessible solvency excess that is to be withdrawn have been established by the current actuarial valuation report and that actuarial valuation report was prepared as at a date that is not more than one year before the date of the application,
(c) the administrator has provided to the superintendent any information or records the superintendent requires to assess the application,
(d) the superintendent has consented, in writing, to the withdrawals referred to in the application and that consent has not been revoked under subsection (3),
(e) no withdrawals of actuarial excess are made other than withdrawals that have been consented to by the superintendent and that are made before the earlier of
(i) the date on which a new actuarial valuation report is filed in relation to the plan, and
(ii) the date that, under section 46, is the date on which a new actuarial valuation report is required to be filed in relation to the plan, and
(f) one of the following applies:
(i) in the case of a plan that is not a divisional multi-employer plan,
(A) no defined benefit component has an unfunded liability,
(B) the withdrawal will not result in any defined benefit component having an unfunded liability,
(C) the plan contributor has no requirement under section 57 (2) (b) to make special payments for any defined benefit component, and
(D) the withdrawal will not result in the plan contributor having a requirement referred to in clause (C);
(ii) in the case of a plan that is a divisional multi-employer plan,
(A) the participating employer's share of any unfunded liability of a defined benefit component of the plan being funded by the participating employer is zero,
(B) the withdrawal will not result in the participating employer's share of any unfunded liability becoming greater than zero,
(C) the participating employer has no requirement under section 57 (2) (b) to make special payments for any defined benefit component, and
(D) the withdrawal will not result in the participating employer having a requirement referred to in clause (C).
(3) If the superintendent is of the opinion that it is appropriate to do so, the superintendent may revoke consent to a withdrawal of accessible solvency excess and direct the administrator to cease withdrawing accessible solvency excess from a solvency reserve account.
(4) After withdrawing accessible solvency excess from a plan's solvency reserve account, the administrator of the plan must, in accordance with subsection (5), disclose the withdrawal
(a) to the following active members, in the annual statement required under section 30:
(i) in the case of a plan that is not a divisional multi-employer plan, to active members accruing benefits from a defined benefit component of the plan;
(ii) in the case of a divisional multi-employer plan, to active members accruing benefits from a defined benefit component of the plan being funded by the participating employer, and
(b) to the following persons who are receiving a pension, in the annual statement required under section 31:
(i) in the case of a plan that is not a divisional multi-employer plan, to each person who is receiving a pension from a defined benefit component of the plan;
(ii) in the case of a divisional multi-employer plan, to each person who is receiving a pension from a defined benefit component of the plan being funded by the participating employer.
(5) The disclosure required under subsection (4) must contain the following information:
(a) the amount of the solvency reserve account as determined in the current actuarial valuation report applicable to the plan;
(b) the amount of the plan's accessible solvency excess or the participating employer's accessible solvency excess, as the case may be, as disclosed in the current actuarial valuation report and the amount of that accessible solvency excess that was withdrawn from the solvency reserve account in the period to which the applicable annual statement applies.
[am. B.C. Regs. 264/2019, s. 13; 287/2020, s. 4; 64/2021, s. 8.]
62 (1) This section applies if
(a) one of the following applies:
(i) the plan is not a divisional multi-employer plan and the plan terminates with surplus;
(ii) the plan is a divisional multi-employer plan, and
(A) the plan terminates or a participating employer withdraws from the plan and does not join or establish a successor plan that assumes responsibility for the employer's liabilities under the plan, and
(B) the components of the plan that are funded by the participating employer have surplus on the effective date of the termination of the plan or the date of the withdrawal referred to in clause (A), and
(b) the plan has a solvency reserve account.
(2) The surplus must not be withdrawn from the solvency reserve account until the following have been paid:
(a) in the case of a plan that is not a divisional multi-employer plan, all of the benefits to which members and other persons are entitled on termination of the plan;
(b) in the case of a divisional multi-employer plan, all of the benefits to which members and other persons are entitled, if those benefits accrued to a member while the member is or was employed by the participating employer, on termination of the plan or the participating employer's withdrawal from the plan.
(3) After all of the benefits referred to in subsection (2) (a) or (b), as the case may be, have been paid, the administrator may, subject to subsection (4), withdraw the following:
(a) in the case of a plan that is not a divisional multi-employer plan, the money in the solvency reserve account;
(b) in the case of a divisional multi-employer plan, the participating employer's share of the money in the solvency reserve account.
(4) The money referred to in subsection (3) must not be withdrawn unless
(a) the administrator has, in accordance with subsection (6), made written application to the superintendent for consent to withdraw that money,
(b) the existence and amount of the plan's surplus or the participating employer's share of the surplus, as the case may be, has been established by the termination report that was prepared as at the effective date of the termination or as at the date of the participating employer's withdrawal from the plan,
(c) the administrator has provided to the superintendent any information or records the superintendent requires to assess the application, and
(d) the superintendent has consented, in writing, to the withdrawal referred to in the application and that consent has not been revoked under subsection (5).
(5) If the superintendent is of the opinion that it is appropriate to do so, the superintendent may revoke consent to a withdrawal of the money referred to in subsection (3) and direct the administrator to cease withdrawing that money.
(6) An application to the superintendent for consent to withdraw the money referred to in subsection (3) must include the following:
(a) confirmation that all benefits referred to in subsection (2) (a) or (b), as the case may be, have been paid;
(b) the amount of the money referred to in subsection (3);
(c) any other information or records required by the superintendent.
[am. B.C. Reg. 64/2021, s. 8.]
"acceptable rating", in relation to a bank or credit union, means a current rating of
(a) A or better given to the bank or credit union by DBRS Limited, Fitch Ratings, Inc. or Standard & Poor's Ratings Services, or
(b) A2 or better given to the bank or credit union by Moody's Investors Service;
"holder", in relation to a letter of credit, means the fundholder to whom the letter of credit is made out for the benefit of the plan, or that fundholder's successor;
"issuer" means a bank or credit union that has an acceptable rating and is a member of the Canadian Payments Association;
"obligated issuer", in relation to a letter of credit used for the purposes of section 55 of the Act, means an issuer that is contractually liable to pay money under the letter of credit if that payment is demanded under the letter of credit;
"prescribed letter of credit" means a letter of credit that
(a) is an irrevocable and unconditional standby letter of credit,
(b) was issued by an issuer that is not a participating employer in the plan for which the letter of credit has been issued or an affiliate, within the meaning of section 2 of the Business Corporations Act, of that employer,
(c) is issued to a fundholder in trust for the benefit of the pension plan,
(d) specifies the date on which it becomes effective and the date on which it expires,
(e) expires no later than one year after the date on which it becomes effective,
(f) makes the issuer that issued it contractually liable to pay money under it if that payment is demanded under the letter of credit,
(g) is issued in Canadian currency,
(i) on demand for payment under the letter of credit, the obligated issuer will, immediately after that demand, pay the lesser of the face amount and the amount demanded,
(ii) the insolvency or bankruptcy of the participating employer in the plan for which the letter of credit has been issued has no effect on the rights or obligations of the obligated issuer or the holder under the letter of credit,
(iii) immediately after the date on which the letter of credit expires, it will, in accordance with this section, be renewed, replaced or allowed to expire without renewal or replacement,
(iv) if the obligated issuer decides not to renew the letter of credit, the obligated issuer will notify the administrator of the plan for which the letter of credit has been issued, the holder and the superintendent of that decision at least 90 days before the expiry of the letter of credit,
(v) the letter of credit may not be assigned unless it is assigned to another issuer, and
(vi) the letter of credit may not be amended, except
(B) if there is a change of holder, to reflect that change, and
(i) is in accordance with the rules of International Standby Practices ISP98 (publication No. 590) of the International Chamber of Commerce, as those rules are amended from time to time;
"solvency deficiency payments", in relation to a pension plan, means the special payments referred to in section 57 (2) (c) or (3).
(2) This section applies to a pension plan of which the plan text document contains one or more defined benefit provisions.
(3) A letter of credit must not be used in relation to a defined benefit component of the plan for the purposes of section 55 of the Act unless it is a prescribed letter of credit.
(4) If a letter of credit is issued in relation to a defined benefit component of the plan for the purpose of section 55 of the Act and is not a renewal of or replacement for a letter of credit previously issued for that purpose, the administrator must, at least 30 days before the date on which the next solvency deficiency payment applicable to that plan component falls due, file both of the following:
(a) the executed letter of credit or a certified copy of it;
(b) a written statement from the administrator that the letter of credit is a prescribed letter of credit.
(5) If a letter of credit is to be issued in relation to a defined benefit component of the plan for the purpose of section 55 of the Act as a renewal of or replacement for a letter of credit previously issued for that purpose, the administrator must, at least 30 days before the expiry of the letter of credit to be renewed or replaced,
(a) file both of the following:
(i) the executed renewal or replacement letter of credit or a certified copy of it;
(ii) a written statement from the administrator that the renewal or replacement letter of credit is a prescribed letter of credit,
(b) notify the holder that the renewal or replacement letter of credit was filed under paragraph (a), and
(c) follow the process set out in subsection (6), if applicable.
(6) Subject to subsection (12) (b), the amount covered by a renewal or replacement letter of credit may be reduced from the amount covered by the letter of credit being renewed or replaced as follows:
(a) if the administrator files, with the records filed under subsection (5) (a), the current actuarial valuation report showing that, despite the reduction, the funding requirements under section 57 will continue to be met, the amount covered by the renewal or replacement letter of credit may be reduced from the amount covered by the letter of credit being renewed or replaced to the extent indicated in the actuarial valuation report;
(b) if the administrator files, with the records filed under subsection (5) (a), proof that the participating employer who provided the letter of credit has remitted to the plan for application to the defined benefit component all or a portion of the amount covered by the letter of credit to be renewed or replaced, the amount covered by the renewal or replacement letter of credit may be reduced from the amount covered by the letter of credit being renewed or replaced by the amount of the employer's remittance;
(c) if the administrator files, with the records filed under subsection (5) (a),
(i) proof that the participating employer has remitted to the plan for application to the defined benefit component a portion of the amount covered by the letter of credit to be renewed or replaced, and
(ii) the current actuarial valuation report showing that, after taking into account both the remittance referred to in subparagraph (i) and the reduction, the funding requirements under section 57 will continue to be met,
the amount covered by the renewal or replacement letter of credit may be reduced from the amount covered by the letter of credit being renewed or replaced by the combination of the reduction contemplated by subparagraph (i) and the reduction contemplated by subparagraph (ii).
(7) If a letter of credit issued in relation to a defined benefit component of the plan for the purposes of section 55 of the Act is to be allowed to expire without being renewed or replaced, the administrator must, at least 30 days before the letter of credit expires,
(a) notify the superintendent and the holder of that fact, and
(b) at the same time that the notification is provided to the superintendent, file
(i) the current actuarial valuation report showing that, despite the expiry, the funding requirements under section 57 will continue to be met, or
(ii) proof that the participating employers who provided the letter of credit to the holder have remitted to the plan for application to the defined benefit component all of the amount covered by the letter of credit.
(8) As soon as practicable after receiving an executed letter of credit under subsection (4), (5) (a) or (9) (c), or a certified copy of it the superintendent must provide to the administrator a notice acknowledging that receipt.
(9) If the superintendent notifies the administrator that an executed letter of credit is not a prescribed letter of credit, the following must occur within 30 days after that notification:
(a) the administrator must notify the participating employers who provided the letter of credit of that fact;
(b) the participating employers who provided the letter of credit must
(i) provide to the administrator an executed letter of credit that is a prescribed letter of credit, or
(ii) make solvency deficiency payments in accordance with section 57;
(c) the administrator must, if a letter of credit is provided to the administrator under paragraph (b) (i), file that executed letter of credit, or a certified copy of it, together with the written statement referred to in subsection (4) (b) that relates to that letter of credit.
(10) If the superintendent provides to the administrator a notice of receipt under subsection (8) in relation to a letter of credit, the administrator must forward the original of the executed letter of credit to the holder, together with a copy of the superintendent's acknowledgement of receipt, within the following time periods:
(a) if the letter of credit is not a renewal or replacement letter of credit, on or before the day when the first of the solvency deficiency payments to which the letter of credit relates falls due;
(b) if the letter of credit is a renewal or replacement letter of credit, at least 15 days before the expiry of the letter of credit being renewed or replaced.
(11) If, 14 days before the expiry of a letter of credit, the holder
(a) has not received any record that the administrator is required to send to the holder under subsection (5) (b), (7) (a) or (10), and
(b) has not received notice that the plan is or is about to be terminated,
the holder must, on the next business day, demand payment from the obligated issuer of the full amount of the letter of credit.
(12) If the defined benefit component to which the letter of credit relates, or the plan, is or is about to be terminated, the administrator must
(a) maintain the letter of credit in force, and
(b) if necessary, renew or replace the letter of credit, without the amount covered by the renewal or replacement letter of credit being reduced from the amount covered by the letter of credit being renewed or replaced, and maintain the renewal or replacement letter of credit in force,
until
(c) the superintendent has provided notice of acceptance of the termination report and the administrator has received permission to cancel the letter of credit under subsection (13) (a),
(d) the solvency assets value of the defined benefit component to which the letter of credit relates is equal to or greater than the solvency liabilities value of that plan component, or
(e) the demand for payment under subsection (14) has been made.
(13) At the time of notifying the administrator that the termination report has been accepted, the superintendent must also notify the administrator, with a copy to the holder, that, based on that termination report,
(a) the letter of credit may be cancelled because the solvency assets value of the defined benefit component to which the letter of credit relates is at least equal to the solvency liabilities value of that plan component, or
(b) the solvency assets value of the defined benefit component to which the letter of credit relates is less than the solvency liabilities value of that plan component.
(14) If subsection (13) (b) applies,
(a) the superintendent must, in both the notice to the administrator and the copy to the holder, identify the amount by which the solvency liabilities value of the defined benefit component to which the letter of credit relates exceeds the solvency assets value of that plan component, and
(b) one of the following must occur:
(i) the administrator must, within 14 days after receiving that notice, ensure that the holder has received the amount by which the solvency liabilities value of the defined benefit component to which the letter of credit relates exceeds the solvency assets value of that plan component, or
(ii) if the holder does not receive that amount within that 14-day period, the holder must, on the next business day after that 14-day period ends, demand payment from the obligated issuer of the letter of credit for the lesser of
(A) the full amount of the letter of credit, and
(B) the amount by which the solvency liabilities value of the defined benefit component to which the letter of credit relates exceeds the solvency assets value of that plan component.
(15) A notice that is to be given under this section must be given in writing, and a demand for payment under subsection (11) or (14) must be in writing or in any other manner provided for under the letter of credit.
(16) If a participating employer arranges a letter of credit in relation to a defined benefit component of the plan for the purposes of section 55 of the Act,
(a) the fees related to the issue and maintenance of the letter of credit must not be included in the letter of credit or charged as a cost to the plan, and
(b) the participating employer that arranged the letter of credit must either
(i) make monthly payments to the plan, each of which must be
(A) equal to the interest that would have accrued on the amount of the solvency deficiency covered by the letter of credit in the previous month had that interest been calculated at the interest rate used to establish that solvency deficiency, and
(B) made within 30 days after the end of the month to which the interest payment relates, or
(ii) ensure that the interest payments referred to in subparagraph (i) are included in the amount covered by the letter of credit.
(17) If a participating employer has arranged a letter of credit in relation to a defined benefit component of the plan for the purposes of section 55 of the Act, when a person becomes entitled to a transfer, within the meaning of section 80 of this regulation, from the plan, the participating employer must
(a) make a lump-sum payment to the plan, in an amount equal to the transfer deficiency, before the administrator may make a transfer, or
(b) include an amount equal to the transfer deficiency in the participating employer's next remittance of contributions.
[am. B.C. Regs. 183/2015; 264/2019, s. 14.]
Division 2 — Contributions to Plan
64 (1) A participating employer in a pension plan must remit contributions due to the pension fund of the plan as follows:
(a) in the case of contributions made by active members, within 30 days after the end of the month in which the contributions were received by the participating employer or were deducted from the active members' remuneration;
(b) in the case of participating employer contributions required in relation to a defined contribution provision,
(i) subject to subparagraph (ii), within 30 days after the end of the month for which those contributions are payable, or
(ii) for a contribution of which the amount relates to profits of the participating employer, within 90 days after the end of the fiscal year of the plan to which the profits relate;
(c) in the case of participating employer contributions under a plan of which the plan text document contains a benefit formula provision, within 30 days after the end of the month for which those contributions are payable.
(2) In the case of a pension plan other than a jointly sponsored plan, within 30 days after the filing of a new actuarial valuation report or cost certificate, the participating employer must, in addition to remitting the contributions required under section 56 (1) of the Act in accordance with this section, remit a payment equal to the amount determined by the following formula, if that amount is a positive number:
| (contribution requirement − amount remitted) + applicable interest |
| where | |||
| contribution requirement | = | the amount of the contributions that the participating employer would have been required to remit for the preparation period had the new actuarial valuation report or cost certificate been filed on the review date; | |
| amount remitted | = | the amount of the contributions, attributable to the preparation period, that were actually remitted by the participating employer in accordance with section 56 (1) of the Act; | |
| applicable interest | = | interest calculated | |
| (a) | on the positive difference, if any, obtained by subtracting the amount remitted from the contribution requirement, and | ||
| (b) | at the same rate of interest as was used in the current actuarial valuation report to calculate the amount of the contributions referred to in subsection (1) (c). | ||
(3) In subsection (2), "preparation period", in relation to a filed actuarial valuation report, means the period between the review date for the actuarial valuation report and the date on which the actuarial valuation report was filed.
(4) Nothing in this section prevents a participating employer from meeting any obligation under this section or section 56 of the Act in a manner contemplated by section 63 or 71 of this regulation.
65 A notice of failure to remit contributions required under section 56 (3) of the Act must include the following:
(a) the name of the plan and its provincial registration number;
(b) current contact information of the person who prepared the notice;
(c) a statement that no contributions were remitted;
(d) the amount of the required contributions that ought to have been remitted that are outstanding or an estimate of them;
(e) the period or periods to which the contributions referred to in paragraph (d) relate;
(f) the amount, if any, of the outstanding contributions that were remitted after the end of the applicable period referred to in section 64 (1) and before the notice is provided.
66 An administrator referred to in section 56 (5) of the Act, must, at the following times, provide to the fundholder a summary of the contributions required to be made in respect of the plan:
(a) within 30 days after the registration of the plan;
(b) within 30 days after the beginning of each fiscal year of the plan;
(c) within 30 days after the occurrence of an event that materially changes the amount of the contributions that must be made to the plan.
67 (1) Subject to section 57 (5) to (7) of the Act, if, in relation to a pension plan of which the plan text document contains a benefit formula provision, the contributions of a member of the plan result in there being an excess referred to in section 57 (2) of the Act, the excess must be allocated or distributed under section 57 (4) of the Act at the earliest of the following:
(a) the date on which the member terminates active membership in the plan;
(b) the member's pension commencement date;
(c) the date on which a target benefit provision is converted under section 92 of the Act to a defined contribution provision and that conversion results in the benefits that have accrued to the date of the conversion being converted.
(2) The lump-sum payment to which a member referred to in section 57 (7) of the Act is entitled under section 57 (4) of the Act must be reduced by multiplying the amount calculated under section 57 (2) of the Act by the target benefit funded ratio that is set out in the current actuarial valuation report for the plan.
[am. B.C. Reg. 264/2019, s. 15.]
Division 3 — Investing Plan Assets
68 (1) In this section, "permitted investment" means an investment permitted under this section and federal Schedule III, and "permitted" must be construed accordingly.
(2) Despite the provisions of any pension plan or of any instrument governing a plan, the assets of a plan must be invested, and the investments must be made, in accordance with federal Schedule III.
(3) When interpreting federal Schedule III for the purposes of this section, "Canadian resource property" has the meaning given to it by section 66 (15) of the Income Tax Act (Canada) and "Superintendent" means the person appointed as the Superintendent of Pensions under section 4 of the Act.
(4) Subject to subsection (6), if the plan text document of a pension plan provides that a member must provide direction regarding investments, the administrator must ensure that
(a) members are offered a sufficient number of investment options of varying degrees of risk and expected return that would allow a reasonable and prudent person to create a portfolio of investments that is appropriate for retirement savings, and
(b) a plan document provides that one of the following default investment options applies to the account of a member who fails to provide direction regarding the investments:
(ii) a portfolio of investments that takes into account the member's age.
(5) The administrator must ensure that a current record is maintained that identifies every investment held on behalf of the plan, the name in which the asset is held and, if applicable, the name in which the asset is registered.
(6) An administrator of a pension plan that is registered under the Pension Benefits Standards Act, R.S.B.C. 1996, c. 352, immediately before subsection (4) comes into force must ensure that a plan document provides for the default investment options referred to in subsection (4) (b) on or before 180 days after the beginning of the first fiscal year of the plan immediately following the fiscal year of the plan during which subsection (4) comes into force.
"calculation period", in relation to a pension plan, means the period at the end of which, under the plan text document of the plan, interest is to be calculated
(a) in relation to contributions to the plan, or
(b) on the commuted value of benefits under the plan;
"CANSIM rate", in relation to a period of not more than 12 months for which interest is payable, means the rate of interest calculated on the basis of the average of the reference rates, which average is determined in relation to the most recent period of that length for which the rates are available;
"contribution account" means,
(a) in relation to member-required contributions made to a plan under a benefit formula provision, the total of
(i) the member-required contributions made by the member under that provision, and
(ii) the interest, if any, that is attributable to those contributions and any related interest,
(b) in relation to member-required contributions made by a member and contributions made by a participating employer in respect of that member to a plan under a defined contribution provision, the total of
(i) the member-required contributions made by the member and contributions made by a participating employer in respect of that member under that provision, and
(ii) the interest, if any, that is attributable to those contributions and any related interest, and
(c) in relation to additional voluntary contributions and optional ancillary contributions made to a plan and transferred contributions transferred to the plan by or on behalf of a member, the total of
(i) the additional voluntary contributions and optional ancillary contributions made by the member and transferred contributions transferred to the plan by or on behalf of the member under the provision of the plan text document that authorizes those contributions or that transfer, and
(ii) the interest, if any, that is attributable to those contributions and any related interest;
"fund rate of return" means the return, expressed as a percentage, earned by the pension fund;
"reference rate" means the last weekly Wednesday rate of each month published by the Bank of Canada in the Canadian Socio-Economic Information Management System (CANSIM) Series V80691336, which sets out the 5-year personal fixed term chartered bank deposit rates.
(2) Interest that is to be calculated on contributions to a pension plan that are attributable to an active member, or to a deferred member who has not elected a transfer under section 88 of the Act, must be calculated as follows:
(a) in relation to member-required contributions made to the plan under a benefit formula provision,
(i) on the balance in the member's contribution account related to those member-required contributions as at the end of the previous calculation period at the CANSIM rate or the fund rate of return, as specified in the plan text document, and
(ii) on member-required contributions under the benefit formula provision in the current calculation period, at 1/2 of the rate referred to in subparagraph (i);
(b) in relation to member-required contributions made to the plan and contributions made to the plan by the participating employers under a defined contribution provision,
(i) on the balance in the member's contribution account related to those contributions as at the end of the previous calculation period at the fund rate of return, and
(ii) on the member-required contributions and participating employer contributions made in the current calculation period, at 1/2 of the rate referred to in subparagraph (i);
(c) in relation to additional voluntary contributions, optional ancillary contributions and transferred contributions,
(i) on the balance in the member's contribution account related to those additional voluntary contributions, optional ancillary contributions and transferred contributions as at the end of the previous calculation period at the fund rate of return, and
(ii) on the additional voluntary contributions and optional ancillary contributions made by the member and the transferred contributions transferred by the member in the current calculation period, at 1/2 of the rate referred to in subparagraph (i).
(3) Subject to subsection (5), if termination of active membership has occurred and the individual entitled to a benefit elects a transfer under section 88 of the Act, interest that is to be calculated on the commuted value of benefits under the plan must be calculated to the end of the month preceding the month in which the transfer is made as follows:
(a) if the benefits are under a benefit formula provision, at the interest rate used to determine the commuted value;
(b) if the benefits are under a defined contribution provision, at the fund rate of return.
(4) If a member is entitled to a refund of additional voluntary contributions or optional ancillary contributions or to payment or transfer of the member's excess contributions determined under section 57 of the Act, interest that is to be calculated on the additional voluntary contributions or optional ancillary contributions or on the member's excess contributions must be calculated to the end of the month preceding the month of the refund, payment or transfer at the fund rate of return.
(5) If, on the effective date of the termination of a pension plan, a person who is entitled to benefits from the plan is entitled to a refund, payment or transfer, interest that is to be calculated on that refund, payment or transfer must, unless the person is a deferred member or a person who is receiving a pension on whose behalf the plan is to purchase an annuity, be calculated from the effective date of termination to the end of the month preceding the month in which the refund, payment or transfer is made at the fund rate of return.
(6) The calculation period applicable to a plan must be no longer than one year.
(7) Interest on contributions to a pension plan that are attributable to a member must be calculated and credited to the member's contribution account at the end of each calculation period.
(8) If the plan text document of a pension plan provides for interest to be calculated in another manner and at other rates, that provision applies to the plan despite any provision of this section if the superintendent
(a) considers that that manner and those rates are reasonable and appropriate, and
(b) consents in writing to the provision.
[am. B.C. Reg. 196/2022, s. 17.]
Division 4 — Use of Actuarial Excess and Surplus
70 (1) For the purposes of section 62 of the Act as it relates to a pension plan of which the plan text document contains a defined benefit provision, the actuarial excess that may, subject to subsection (2), be distributed by an administrator or fundholder is,
(a) in the case of a plan that is not a divisional multi-employer plan, the plan's accessible going concern excess, or
(b) in the case of a divisional multi-employer plan, the participating employer's accessible going concern excess.
(2) Actuarial excess must not be distributed unless
(a) the administrator has, in accordance with subsection (9), made written application to the superintendent for consent to distribute actuarial excess,
(b) the existence and amount of the plan's accessible going concern excess or the participating employer's accessible going concern excess, as the case may be, have been established by the current actuarial valuation report and that actuarial valuation report was prepared as at a date that is not more than one year before the date of the application,
(c) the administrator has provided to the superintendent any information and records the superintendent requires to assess the application,
(d) the superintendent's consent, referred to in section 62 (1) (c) of the Act, to the distributions of actuarial excess has not been revoked under subsection (5) of this section,
(e) subject to subsection (10), the distribution is made before the earlier of
(i) the date on which a new actuarial valuation report is filed in relation to the plan, and
(ii) the date that, under section 46, is the date on which a new actuarial valuation report is required to be filed in relation to the plan, and
(f) one of the following applies:
(i) the plan is not a divisional multi-employer plan, none of the defined benefit components have a solvency deficiency and the distribution will not result in any defined benefit component having a solvency deficiency;
(ii) the plan is a divisional multi-employer plan, the participating employer's share of the solvency deficiency of any defined benefit component of the plan is zero and the distribution will not result in the participating employer's share of the solvency deficiency becoming greater than zero.
(3) For the purposes of section 62 of the Act as it relates to a plan of which the plan text document contains a defined benefit provision, the surplus that may be distributed is,
(a) in the case of a plan that is not a divisional multi-employer plan, the surplus applicable to all defined benefit components of the plan, or
(b) in the case of a divisional multi-employer plan, the participating employer's share of the surplus attributable to all defined benefit components of the plan being funded by the participating employer.
(4) Despite subsection (3), surplus must not be distributed unless
(a) the administrator has, in accordance with subsection (9), made written application to the superintendent for consent to distribute surplus,
(b) the existence and amount of the plan's surplus or the participating employer's share of the surplus attributable to all defined benefit components of the plan being funded by the participating employer, as the case may be, has been established by the termination report that was prepared as at the effective date of the termination or the participating employer's withdrawal from the plan, and
(c) one of the following applies:
(i) the plan is not a divisional multi-employer plan and no distributions of surplus are made other than distributions that have been consented to by the superintendent;
(ii) the plan is a divisional multi-employer plan and no distributions of the participating employer's share of the surplus attributable to all defined benefit components of the plan funded by the participating employer are made other than distributions that have been consented to by the superintendent.
(5) If the superintendent is of the opinion that it is appropriate to do so, the superintendent may revoke consent to a distribution of accessible going concern excess or surplus and direct the administrator to cease distributing accessible going concern excess or surplus.
(6) At least 30 days before submitting an application to the superintendent under this section, the administrator of the plan must provide a written notice that meets the requirements of subsection (7) to
(i) in the case of a plan that is not a divisional multi-employer plan, the active and deferred members of the plan who have an entitlement to benefits from a defined benefit component of the plan;
(ii) in the case of a divisional multi-employer plan, the active and deferred members of the plan who have an entitlement to benefits from a defined benefit component of the plan being funded by the participating employer,
(b) the following persons who are receiving a pension:
(i) in the case of a plan that is not a divisional multi-employer plan, each person who is receiving a pension from a defined benefit component of the plan;
(ii) in the case of a divisional multi-employer plan, each person who is receiving a pension from a defined benefit component of the plan being funded by the participating employer,
(c) a trade union that represents,
(i) in the case of a plan that is not a divisional multi-employer plan, members of the plan who have an entitlement to benefits from a defined benefit component of the plan, or
(ii) in the case of a divisional multi-employer plan, the members who have an entitlement to benefits from all defined benefit components of the plan that accrued while the member was employed by the participating employer, and
(d) any other person designated by the superintendent.
(7) The notice required under subsection (6) must be consented to by the superintendent, must accord with any terms and conditions imposed by the superintendent under section 6 of the Act and must include the following information:
(a) a statement that the administrator intends to distribute accessible going concern excess or surplus and to whom that excess or surplus is to be distributed;
(i) if the administrator intends to distribute accessible going concern excess, the amount of the plan's accessible going concern excess or the participating employer's accessible going concern excess, as the case may be, as established by the current actuarial valuation report;
(ii) if the administrator intends to distribute surplus, the amount of the plan's surplus or the amount of the participating employer's share of the surplus attributable to all defined benefit components of the plan being funded by the participating employer, as the case may be, as established by the termination report filed in relation to the plan;
(c) the amount of accessible going concern excess or surplus that the administrator intends to distribute;
(d) a statement of the right, under section 37 (2), (4) or (5) of the Act, of a person referred to in subsection (6) (a), (b) or (c) of this section to examine, or to obtain from the administrator, additional information and records referred to in sections 42 and 43 of this regulation;
(e) if the plan text document does not clearly provide for the distribution of the actuarial excess or surplus to be distributed or to whom it may be distributed,
(i) a proposal referred to in section 62 (3) of the Act directed to the persons referred to in subsection (6) (a) and (b) of this section indicating how and to whom the distribution is to be made,
(ii) a means by which the persons referred to in subsection (6) (a) and (b) can indicate whether or not they consent to the proposal, and
(iii) a statement that unless the proposal receives the consent required under section 62 (4) of the Act within 180 days after the proposal was provided, the proposed distribution will not proceed unless a new proposal is provided and a new consent is sought and obtained.
(8) If the plan text document does not clearly provide for the distribution of the actuarial excess or surplus to be distributed or to whom it may be distributed, the administrator must, promptly after determining whether the consent required under section 62 (4) of the Act to the proposal referred to in subsection (7) (e) has been received, provide notice of that result to the persons referred to in subsection (6) (a) and (b) of this section by the same method of communication as was used to provide the proposal to them.
(9) An application to the superintendent for consent to distribute actuarial excess or surplus must include the following:
(a) a statement of the administrator that the notice required under subsection (6) was provided to the persons referred to in subsection (6) at least 30 days before the date on which the application was filed;
(b) a copy of the notice required under subsection (6);
(c) in the case of an application to distribute actuarial excess in relation to a plan that is not a divisional multi-employer plan,
(i) a request for consent to distribute,
(A) subject to subsection (10), not more than 20% of the plan's accessible going concern excess in the fiscal year in which the application is made, and
(B) not more than 20% of that accessible going concern excess in each of the following fiscal years, if any, to which the application applies, up to a maximum of the 2 following fiscal years, and
(ii) a statement that, in the administrator's opinion, the distribution will not result in any defined benefit component of the plan having a solvency deficiency;
(d) in the case of an application to distribute actuarial excess in relation to a divisional multi-employer plan,
(i) a request for consent to distribute
(A) not more than 20% of the participating employer's accessible going concern excess in the fiscal year in which the application is made, and
(B) not more than 20% of that accessible going concern excess in each of the following fiscal years, if any, to which the application applies, up to a maximum of the 2 following fiscal years, and
(ii) a statement that, in the administrator's opinion, the distribution will not result in the participating employer's share of the solvency deficiency of any defined benefit component of the plan becoming greater than zero;
(e) in the case of an application to distribute surplus, a request for consent to distribute the surplus;
(f) if the plan text document does not clearly provide for the distribution of the actuarial excess or surplus to be distributed or to whom it may be distributed, a statement of the administrator that
(i) the proposal materials referred to in subsection (7) (e) were provided to the persons referred to in subsection (6) (a) and (b), and
(ii) the proposal received the consent required under section 62 (4) of the Act;
(g) any other information or records required by the superintendent.
(10) In the case of a jointly sponsored plan,
(a) the prohibition against distributing actuarial excess unless the distribution is made before the earlier of the dates referred to in subsection (2) (e) (i) and (ii) is to be read as a prohibition against distributing actuarial excess before the earlier of the dates that are one year later than the dates referred to in subsection (2) (e) (i) and (ii), and
(b) the requirement in subsection (9) (c) (i) (A) to distribute not more than 20% of the plan's accessible going concern excess in the fiscal year in which the application is made is to be read as a requirement to distribute not more than 20% of the plan's accessible going concern excess in the fiscal year immediately following the fiscal year in which the application is made.
[am. B.C. Regs. 264/2019, ss. 16 and 17; 64/2021, s. 8.]
71 (1) This section applies to a pension plan of which the plan text document contains a defined benefit provision.
(2) For the purposes of section 63 (1) of the Act, the actuarial excess that may be used to reduce or eliminate contributions required in relation to the plan is, subject to subsection (3) of this section,
(a) in the case of a plan that is not a divisional multi-employer plan, the plan's accessible going concern excess, or
(b) in the case of a divisional multi-employer plan, the participating employer's accessible going concern excess.
(3) Actuarial excess must not be used to reduce or eliminate contributions unless
(a) the existence and amounts of the following have been established by the current actuarial valuation report and that actuarial valuation report was prepared as at a date that is not more than one year before the date of the application:
(i) in the case of a plan that is not a divisional multi-employer plan, of the plan's accessible going concern excess;
(ii) in the case of a divisional multi-employer plan, of the participating employer's accessible going concern excess,
(b) subject to subsection (7), the actuarial excess is used for that purpose before the earlier of
(i) the date on which a new actuarial valuation report is filed in relation to the plan, and
(ii) the date that, under section 46, is the date on which a new actuarial valuation report is required to be filed in relation to the plan,
(c) one of the following applies:
(i) the plan is not a divisional multi-employer plan, none of the defined benefit components have a solvency deficiency and the use of actuarial excess to reduce or eliminate contributions will not result in any defined benefit component having a solvency deficiency;
(ii) the plan is a divisional multi-employer plan and the participating employer's share of the solvency deficiency of any defined benefit component of the plan is zero and the use of actuarial excess to reduce or eliminate contributions will not result in the participating employer's share of the solvency deficiency becoming greater than zero,
(d) in relation to the use of the actuarial excess for that purpose in any fiscal year, the use in that year does not exceed the amount referred to in subsection (4), and
(e) prior written notice is provided to the superintendent and the fundholder.
(4) The following limits apply to the use of actuarial excess to reduce or eliminate contributions:
(a) in the case of a plan that is not a divisional multi-employer plan,
(i) subject to subsection (7), not more than 20% of the plan's accessible going concern excess may be used to reduce or eliminate contributions in the first fiscal year to which the current actuarial valuation report applies, and
(ii) not more than 20% of the plan's accessible going concern excess may be used for that purpose in each of the 2 following fiscal years;
(b) in the case of a divisional multi-employer plan,
(i) not more than 20% of the participating employer's accessible going concern excess may be used to reduce or eliminate contributions in the first fiscal year to which the current actuarial valuation report applies, and
(ii) not more than 20% of the participating employer's accessible going concern excess may be used for that purpose in each of the 2 following fiscal years.
(5) After using actuarial excess to reduce or eliminate contributions, the administrator of the plan must disclose the use in accordance with subsection (6).
(6) The disclosure required under subsection (5) must
(a) be made to the following active members, in the annual statement required under section 30:
(i) in the case of a plan that is not a divisional multi-employer plan, to active members accruing benefits from a defined benefit component of the plan;
(ii) in the case of a divisional multi-employer plan, to active members accruing benefits from a defined benefit component of the plan being funded by the participating employer,
(b) be made to the following persons who are receiving a pension, in the annual statement required under section 31:
(i) in the case of a plan that is not a divisional multi-employer plan, to each person who is receiving a pension from a defined benefit component of the plan;
(ii) in the case of a divisional multi-employer plan, to each person who is receiving a pension from a defined benefit component of the plan being funded by the participating employer, and
(c) contain the following information:
(i) a statement that the pension plan provides for the reduction or elimination of contributions;
(ii) the amount of the following as established by the current actuarial valuation report:
(A) in the case of a plan that is not a divisional multi-employer plan, the amount of the plan's accessible going concern excess;
(B) in the case of a divisional multi-employer plan, the amount of the participating employer's accessible going concern excess;
(iii) the amount of the accessible going concern excess that was used by the employer to reduce or eliminate contributions during the fiscal year to which the annual statement applies.
(7) In the case of a jointly sponsored plan,
(a) the prohibition against using actuarial excess to reduce or eliminate contributions unless it is used before the earlier of the dates referred to in subsection (3) (b) (i) and (ii) is to be read as a prohibition against using actuarial excess to reduce or eliminate contributions unless it is used before the earlier of dates that are one year later than the dates referred to in subsection (3) (b) (i) and (ii), and
(b) the limit in subsection (4) (a) (i) that not more than 20% of the plan's accessible going concern excess may be used to reduce or eliminate contributions in the first fiscal year to which the current actuarial valuation report applies is to be read as a limit that not more than 20% of the plan's accessible going concern excess may be used to reduce or eliminate contributions in the second fiscal year to which the current actuarial valuation report applies.
[am. B.C. Reg. 264/2019, s. 16.]
Part 7 — Benefits and Transfers
Division 1 — Restrictions on Access to Benefits
72 (1) The amount prescribed for the purposes of section 69 (1) of the Act is 20% of the Year's Maximum Pensionable Earnings for the calendar year in which the most recent determination of the commuted value referred to in that section was made.
(2) The total amount of the series of payments referred to in section 69 (3) (a) (i) of the Act, or the lump-sum payment referred to in section 69 (3) (a) (ii) of the Act, that a person may elect under that provision must be the commuted value of the benefits to which the person is entitled under the plan as that commuted value is determined without taking into consideration the shortened life expectancy of the person.
(3) For the purposes of section 69 (3) (b) of the Act as it applies to a pension plan, a person referred to in that provision must not make a withdrawal from the plan under that provision unless the person has been absent from Canada for 2 or more years.
(4) The statement that a spouse must file under section 69 (5) of the Act in relation to an election under section 69 (3) of the Act must be in Form 1 of Schedule 3.
73 (1) The amount prescribed for the purposes of section 74 (1) (b) of the Act is 20% of the Year's Maximum Pensionable Earnings for the calendar year in which the most recent determination of the commuted value referred to in that provision has been made.
(2) The maximum amount of a reduction allowed to a member of a pension plan under section 74 (4) of the Act because of the member's entitlement to any payments under one or both of the CPP Act and the QPP Act must be determined in accordance with the following formula:
| CPP pension × contribution period 420 | + | QPP pension × contribution period 420 |
| where | |||
| CPP pension | = | the amount of pension payable to the member under the CPP Act, as that amount is calculated as at the date of the member's termination of active membership in the plan; | |
| contribution period | = | the lesser of | |
| (a) | the number of months during which the member accrues benefits under the plan, and | ||
| (b) | 420; | ||
| QPP pension | = | the amount of pension payable to the member under the QPP Act, as that amount is calculated as at the date of the member's termination of active membership in the plan. | |
Division 2 — Benefits May Be Affected
74 (1) This section applies to a pension plan of which the plan text document authorizes payment of life income type benefits.
(2) The plan text document must not authorize payment of life income type benefits from any component of the plan other than a defined contribution component.
(3) The administrator must not establish a life income type benefits account for a member who has a spouse unless one of the following has been provided to the administrator:
(a) a consent in Form 3 of Schedule 3 signed by the member's spouse in the presence of a witness and outside the presence of the member not more than 90 days before the date of the establishment of the life income type benefits account;
(b) confirmation, in a form and manner satisfactory to the administrator, that section 145 of the Family Law Act applies.
(4) If, in a calendar year, life income type benefits are to be paid out of a life income type benefits account, the amount of those life income type benefits in that year must be
(a) not less than the life income type benefits minimum amount applicable to that account for that year, and
(b) not more than the life income type benefits maximum amount applicable to that account for that year.
(5) The plan text document may provide that a member may elect, effective on the member's pension commencement date, to have the member's defined contribution account used to establish a life income type benefits account.
(6) If a member makes an election referred to in subsection (5), there is established in the plan, effective on the member's pension commencement date, a life income type benefits account for the member that consists of the defined contribution account referred to in the election.
(7) After a life income type benefits account is established for a member under subsection (6), the member may, if authorized to do so by the plan text document and subject to subsection (8), make a transfer to that account from one or more of the following:
(a) the member's locked-in retirement account;
(b) the member's life income fund;
(8) The administrator must not accept a transfer of money under subsection (7) to the life income type benefits account of a member who has a spouse
(a) from a locked-in retirement account or another pension plan, other than another life income type benefits account, unless one of the following has been provided to the administrator:
(i) a consent in Form 3 of Schedule 3 signed by the spouse in the presence of a witness and outside the presence of the member not more than 90 days before the date of the transfer;
(ii) confirmation, in a form and manner satisfactory to the administrator, that section 145 of the Family Law Act applies, or
(b) from another life income type benefits account or a life income fund unless a copy of the consent or confirmation required under paragraph (a) or required to be received by the administrator under section 120 (2) (b) has been provided to the administrator.
(9) If, when a member who is receiving life income type benefits under a pension plan dies, the member has a surviving spouse whose interest in the deceased member's life income type benefits has not been terminated within the meaning of subsection (11),
(a) if the plan text document allows the surviving spouse to elect to receive life income type benefits from the plan and the spouse makes that election,
(i) there is established a life income type benefits account for the spouse consisting of the balance of the member's life income type benefits account, and
(ii) the spouse must notify the administrator in writing of the amount of life income type benefits to be paid to the spouse, which amount must accord with subsection (4), or
(b) if paragraph (a) does not apply, the administrator must, at the election of the surviving spouse,
(i) pay the balance of the member's life income type benefits account to the surviving spouse as a lump-sum payment, or
(ii) transfer the balance of the member's life income type benefits account to one of the following:
(A) a pension plan, if the plan text document of the plan allows the transfer;
(B) a life income fund in accordance with Division 3 of Part 9;
(C) a locked-in retirement account in accordance with Division 2 of Part 9;
(D) an insurance company to purchase an annuity.
(10) If a member who is receiving life income type benefits under a pension plan dies and
(a) the member is not survived by a spouse, or
(b) the member is survived by a spouse but the spouse's interest has been terminated within the meaning of subsection (11),
the administrator must pay the value of the member's life income type benefits account as a lump-sum payment to the designated beneficiary or, if there is no living designated beneficiary, to the personal representative of the deceased member's estate.
(11) For the purposes of subsections (9) and (10), a surviving spouse's interest in the deceased member's life income type benefits is terminated if one of the following has been provided to the administrator:
(a) a waiver in Form 2 (Waiver C) of Schedule 3 signed by the spouse before the member's death in the presence of a witness and outside the presence of the member;
(b) confirmation, in a form and manner satisfactory to the administrator, that section 145 of the Family Law Act applies.
(12) If a surviving spouse who is receiving life income type benefits under the plan dies, the administrator must pay the balance of the surviving spouse's life income type benefits account as a lump-sum payment
(a) to the spouse's designated beneficiary, or
(b) if there is no living designated beneficiary, to the personal representative of the spouse's estate.
(13) In each calendar year, a member receiving life income type benefits must, within 30 days after receipt of the annual statement required under section 31 or by the applicable deadline referred to in a retirement statement in accordance with section 34 (6) (b) (ii), notify the administrator in writing of the amount of life income type benefits to be paid to the member during that year, which amount must accord with subsection (4) of this section.
(14) If a member fails to comply with subsection (13) in any calendar year, the administrator must, subject to subsection (19), pay to the member, in that year, the life income type benefits minimum amount applicable to the member's life income type benefits account for that year.
(15) In each calendar year, a surviving spouse receiving life income type benefits must, within 30 days after receipt of the annual statement required under section 31 or the life income type benefits death benefits statement required under section 38, notify the administrator in writing of the amount of life income type benefits to be paid to the spouse during that year, which amount must accord with subsection (4) of this section.
(16) If a surviving spouse fails to comply with subsection (15) in any calendar year, the administrator must, subject to subsection (19), pay to the spouse, in that year, the life income type benefits minimum amount applicable to the spouse's life income type benefits account for that year.
(17) Subject to subsection (18), a person who is receiving life income type benefits must, within 30 days after receipt of the transfer statement referred to in section 32 (2), notify the administrator in writing of the additional amount of life income type benefits to be paid to the person during that year, which amount must accord with subsection (4) of this section.
(18) If the money transferred to the life income type benefits account was transferred from another life income type benefits account or from a life income fund, the information referred to in subsection (17) is not required to be provided.
(19) A person receiving life income type benefits may, at any time during a calendar year, change the amount of life income type benefits to be paid to the person during the year to a different amount that accords with subsection (4).
[am. B.C. Regs. 9/2016, s. 1; 64/2021, ss. 2 and 3.]
75 (1) An active member of a pension plan of which the plan text document contains a defined contribution provision may, in any fiscal year in which the following conditions are met, exercise any entitlement that the member may have under section 76 (1) of the Act to receive from the defined contribution component of the plan a lump-sum payment, provided that
(a) in the fiscal year, there is provided to the administrator an application for the lump-sum payment that complies with subsection (2);
(b) in the fiscal year, no other applications for a lump-sum payment have been provided to the administrator by the active member.
(2) An application referred to in subsection (1) (a) must
(a) be provided in a form and manner satisfactory to the administrator, and
(b) if the active member has a spouse, include or be accompanied by the spouse's written consent, in a form satisfactory to the administrator, to the lump-sum payment.
(3) The amount of a lump-sum payment that may be paid under section 76 (1) of the Act in a fiscal year must be no greater than the lowest of
(a) 70% of the amount by which the active member's remuneration was reduced during the fiscal year as a result of the reduction in the member's working time during that year,
(b) 40% of the Year's Maximum Pensionable Earnings for the fiscal year,
(c) if the agreement referred to in section 76 (1) (a) of the Act does not cover the full fiscal year, 40% of the Year's Maximum Pensionable Earnings for that year prorated to reflect the portion of that year that is covered by the agreement, and
(d) the commuted value of what would have been the active member's benefits if the member had ceased to be an active member on the date of the member's application for payment of the lump sum.
(4) The date of an active member's receipt of a lump-sum payment under section 76 (1) of the Act is not to be construed as the active member's pension commencement date.
[am. B.C. Reg. 64/2021, ss. 2 and 3.]
76 The statement referred to in section 79 (1) (b) of the Act must be in Form 4 of Schedule 3.
77 (1) The statement referred to in section 80 (4) (a) of the Act must be in Form 2 (Waiver A) of Schedule 3.
(2) The statement referred to in section 80 (6) (a) of the Act must be in Form 2 (Waiver B) of Schedule 3.
[en. B.C. Reg. 9/2016, s. 2.]
Division 4 — Phased Retirement Benefits
78 (1) A phased retirement benefit must not be paid from a pension plan to an eligible person under section 83 of the Act unless all of the following conditions have been met:
(a) the plan documents of the plan provide for the payment of a phased retirement benefit;
(b) the plan has not been terminated;
(c) the eligible person has entered into a written agreement with a participating employer in the plan for payment of the benefit;
(d) if the plan is administered by a board of trustees, the participating employer referred to in paragraph (c) has made arrangements approved by the board of trustees to fund payment of the benefit;
(e) if, before the period in respect of which a phased retirement benefit is to be paid to an eligible person begins, the eligible person's spouse or former spouse is entitled under section 117 of the Family Law Act to receive from the plan a proportionate share of benefits paid under the plan,
(i) the administrator of the plan agrees in writing to continue payment of the proportionate share of benefits, other than the proposed phased retirement benefit, to that spouse during the proposed phased retirement period, or
(ii) the administrator of the plan does not agree to continue payment of the proportionate share of those benefits to that spouse during the proposed phased retirement benefit period and that spouse has consented in writing to the cessation of those payments;
(f) during the phased retirement benefit period, the eligible person is accruing a pension under the plan and the conditions described in section 8503 (19) of the Income Tax Regulations (Canada) are satisfied.
(2) The portion prescribed for the purposes of section 83 (4) of the Act is the portion referred to in section 8503 (19) (b) of the Income Tax Regulations (Canada).
(3) During a phased retirement benefit period,
(a) the eligible person must continue membership in the pension plan from which the phased retirement benefit is being paid,
(b) the administrator of the plan must not pay the pension to which the eligible person would otherwise be entitled under section 64 (1) of the Act or that the eligible person would otherwise be eligible to receive under section 65 (1) of the Act,
(c) if the eligible person had commenced receiving a pension from the pension plan referred to in paragraph (a) of this subsection before the phased retirement benefit period began, the administrator of the plan must suspend the payment of that pension to the eligible person, and
(d) if, in a case to which subsection (1) (e) applies, the administrator of the plan had agreed to continue payment of the proportionate share of benefits other than the proposed phased retirement benefit to the eligible person's spouse or former spouse, the administrator must continue those payments.
[am. B.C. Reg. 64/2021, s. 2.]
Division 5 — Transfer by or on Behalf of a Member
79 For the purposes of section 86 (b) of the Act, "target benefit funded ratio", in relation to a target benefit component of a pension plan, means the lesser of 1 and the going concern funded ratio of the target benefit component.
[en. B.C. Reg. 264/2019, s. 18.]
80 (1) In this section, "transfer" means a transfer out of a defined benefit component of a pension plan under section 79 (1) or Division 7 of Part 8 of the Act.
(2) If, when a transfer is to be made in relation to a benefit, the solvency ratio of the defined benefit component is less than 1,
(a) the amount that may be transferred is the commuted value of the benefit multiplied by the solvency ratio of the defined benefit component, and
(b) the balance of the commuted value of the benefit, with interest calculated under section 69 (3), must be transferred in accordance with subsection (3) of this section.
(3) The amount referred to in subsection (2) (b) must be transferred as follows:
(a) if, on the date of the transfer referred to in subsection (2) (a) or at any time in the 5 years after that date,
(i) the solvency ratio of the defined benefit component is 1 or more, or
(ii) the participating employer remits a contribution to the administrator or fundholder, as required by section 56 (1) of the Act, the amount of which is at least equal to the amount referred to in subsection (2) (b) of this section,
the whole of the amount referred to in subsection (2) (b) must be transferred at that time;
(b) if paragraph (a) does not apply in that 5-year period, the amount referred to in subsection (2) (b) must be transferred on the fifth anniversary of the transfer referred to in subsection (2) (a).
(4) The administrator need not effect a transfer referred to in subsection (3) (b) out of a defined benefit component of a plan if
(a) the administrator provides a written request to the superintendent for consent to delay making the transfer and includes in that request the administrator's assessment that the transfer would in fact materially impair the solvency of the plan component, and
(b) the superintendent consents in writing to the delay.
[am. B.C. Reg. 64/2021, s. 3.]
81 (1) The administrator of a pension plan of which the plan text document contains a defined contribution provision must not make a transfer under section 88 (1) (a) (iii) or (b) (i) of the Act on behalf of a member who has a spouse unless
(a) the annuity is in the form of a joint and survivor pension referred to in section 80 (2) of the Act, or
(b) one of the following has been provided to the administrator:
(i) a waiver in Form 2 (Waiver A) of Schedule 3 signed by the spouse in the presence of a witness and outside the presence of the member not more than 90 days before the date that payments are to begin;
(ii) confirmation, in a form and manner satisfactory to the administrator, that section 145 of the Family Law Act applies.
(2) A spouse who has validly signed a waiver under subsection (1) (b) (i) is the sole designated beneficiary of any remaining benefits in the member's annuity, after the member's death, unless one of the following has been provided to the administrator:
(a) a waiver in Form 2 (Waiver B) of Schedule 3 signed by the spouse before the member's death in the presence of a witness and outside the presence of the member;
(b) confirmation, in a form and manner satisfactory to the administrator, that section 145 of the Family Law Act applies.
[am. B.C. Regs. 9/2016, ss. 3 and 4; 196/2022, s. 18.]
82 The amount prescribed for the purposes of section 89 (2) of the Act is 20% of the Year's Maximum Pensionable Earnings for the calendar year in which the most recent determination of the commuted value referred to in that subsection was made.
83 (1) For the purposes of section 89.1 of the Act, the administrator of a pension plan must not transfer assets from the defined benefit component of a pension plan to purchase an annuity if the solvency ratio of the component, as determined in the current actuarial valuation report, is less than 1, unless the participating employer that is required to make contributions to the plan in respect of the benefit for which the annuity is to be purchased has remitted to the administrator or fundholder, as required by section 56 (1) of the Act, the difference, if any, between
(a) the purchase price of the annuity, and
(b) the solvency ratio of the component, as determined in the current actuarial valuation report, multiplied by the commuted value of the benefit.
(a) the solvency ratio of the defined benefit component of a pension plan, as determined in the current actuarial valuation report, is 1 or more,
(b) the purchase price of the annuity exceeds the commuted value of the benefit to which the person is entitled, and
(c) the solvency ratio of the defined benefit component of the plan would be less than 1 after the purchase of the annuity,
the administrator must not transfer assets from the defined benefit component of the plan under section 89.1 of the Act to purchase an annuity unless the participating employer that is required to make contributions to the plan in respect of the benefit for which the annuity is to be purchased has remitted to the administrator or fundholder, as required by section 56 (1) of the Act, sufficient contributions to ensure that the solvency ratio is 1 or more after the purchase of the annuity.
(3) The administrator must not transfer assets from the defined benefit component of a pension plan to purchase an annuity under section 89.1 of the Act in respect of a deferred member who is entitled to a benefit from the component unless the annuity provides as follows:
(a) if the annuitant dies before payments from the annuity begin and the annuitant is survived by a spouse, the annuitant's entitlement under the annuity contract must be provided to the surviving spouse, unless paragraph (b) applies;
(b) if the annuitant dies before payments from the annuity begin and
(i) the annuitant is not survived by a spouse, or
(ii) the annuitant is survived by a spouse and one of the following has been provided to the insurance company:
(A) a waiver in Form 4 of Schedule 3 signed by the spouse before the annuitant's death in the presence of a witness and outside the presence of the annuitant;
(B) confirmation, in a form and manner satisfactory to the insurance company, that section 145 of the Family Law Act applies,
the insurance company must pay, as a lump-sum payment, the value of the annuitant's entitlement under the annuity contract, within 60 days after the receipt by the insurance company of all records that are necessary to allow the insurance company to make the payment, to the annuitant's designated beneficiary, or, if there is no living designated beneficiary, to the personal representative of the annuitant's estate;
(c) if a spouse who has an entitlement under paragraph (a) dies before payments begin, the insurance company must pay, as a lump-sum payment, the value of the deceased spouse's entitlement, within 60 days after the receipt by the insurance company of all records that are necessary to allow the insurance company to make the payment, to the spouse's designated beneficiary, or, if there is no living designated beneficiary, to the personal representative of the spouse's estate;
(d) if, at the time the annuitant elects to begin receiving payments from the annuity, the annuitant has a spouse, the annuity must be in the form of a joint and survivor pension referred to in section 80 (2) of the Act unless one of the following has been provided to the insurance company:
(i) a waiver in Form 2 (Waiver A) of Schedule 3 signed by the spouse in the presence of a witness and outside the presence of the annuitant not more than 90 days before the date that payments are to begin;
(ii) confirmation, in a form and manner satisfactory to the insurance company, that section 145 of the Family Law Act applies;
(e) if the spouse of the annuitant has validly signed a waiver referred to in paragraph (d) (i), the spouse is the sole designated beneficiary of any remaining entitlement in the annuitant's annuity after the annuitant's death, unless one of the following has been provided to the insurance company:
(i) a waiver in Form 2 (Waiver B) of Schedule 3 signed by the spouse before the annuitant's death in the presence of a witness and outside the presence of the annuitant;
(ii) confirmation, in a form and manner satisfactory to the insurance company, that section 145 of the Family Law Act applies;
(f) if the spouse of the annuitant has validly signed a waiver referred to in paragraph (d) (i) to allow the annuitant to elect an annuity in the form of a joint and survivor pension other than the joint and survivor pension referred to in section 80 (2) of the Act, the spouse's entitlement to the payment of the annuity in the form of the joint and survivor pension does not cease merely because that person ceases to be the spouse of the annuitant at any subsequent date.
(4) The administrator must not transfer assets from the defined benefit component of a pension plan to purchase an annuity under section 89.1 of the Act in respect of a retired member who is receiving a pension from the component unless the annuity provides as follows:
(a) if the spouse of the retired member has validly signed a waiver referred to in section 80 (4) of the Act, the spouse is the sole designated beneficiary of the member unless one of the following has been provided to the insurance company:
(i) a waiver in Form 2 (Waiver B) of Schedule 3 signed by the spouse before the member's death in the presence of a witness and outside the presence of the deferred member;
(ii) confirmation, in a form and manner satisfactory to the insurance company, that section 145 of the Family Law Act applies;
(b) if the spouse of the retired member has validly signed a waiver referred to in section 80 (4) (a) of the Act to allow the retired member to elect a joint and survivor pension other than the joint and survivor pension referred to in section 80 (2) of the Act, the spouse's entitlement to the payment of the annuity in the form of the joint and survivor pension does not cease merely because that person ceases to be the spouse of the annuitant at any subsequent date.
(a) the plan text document of a pension plan provides, in relation to a defined benefit component, that the excess in relation to a deferred member whose pension commencement date does not immediately follow the member's termination of active membership is to be recalculated as at the member's pension commencement date and is not to be allocated or distributed until that recalculation is done, and
(b) the value of the member's contributions to the defined benefit component, with interest, exceeds 1/2 of the purchase price of the annuity,
the administrator must not transfer assets from the component under section 89.1 of the Act to an insurance company to purchase an annuity in respect of the deferred member unless the administrator first allocates and distributes the excess contributions in the manner elected by the deferred member under section 57 (4) of the Act.
[am. B.C. Regs. 9/2016, ss. 3 and 4; 64/2021, ss. 2 and 3.]
84 For the purposes of section 8 (1) (f) of the Act, the plan text document of a pension plan must provide that if a person is entitled to make an election under section 57 (4) or (6) (a) of the Act, is entitled to exercise an option under section 79 (2) of the Act or may make an election resulting from a transfer under section 79 (1) (a) (i) (B) or (3), 85 or 89 of the Act or under section 74 (9) (a) of this regulation,
(a) the person must make the election or exercise the option within 90 days of the receipt of the information required by section 33, 37, 38 or 39, as the case may be, and
(b) if the election is not made or the option is not exercised within the 90-day period referred to in paragraph (a), the person is limited to the options, if any, provided by the plan text document.
Part 8 — Changes in Plan Benefit Type or Plan Structure
Division 1 — Predecessor and Successor Plans
85 In this Division:
"predecessor employer" means a participating employer in the predecessor plan;
"predecessor plan" means the first pension plan referred to in section 86;
"successor employer" means a participating employer in the successor plan;
"successor plan" means the second pension plan referred to in section 86.
86 This Division applies if all or an identifiable group of members of one pension plan become members of another pension plan due to an event or transaction referred to in section 87.
87 The following are prescribed events or transactions for the purposes of section 90 of the Act:
(a) all or part of an employer's business, undertaking or assets is to be disposed of;
(b) pension plans of the same or different employers are to be merged;
(c) assets and liabilities of a pension plan applicable to an identifiable group of members of the plan are to be transferred out of a plan to establish a new plan of the same or different employers;
(d) another event is to occur that the superintendent considers may result in an identifiable group of members of one pension plan becoming members of another pension plan.
88 (1) The administrator of a predecessor plan to which an event or transaction referred to in section 87 applies may transfer assets and liabilities of the predecessor plan to the successor plan if
(a) the administrator files a written application for consent to the transfer,
(b) in the case of a predecessor plan of which the plan text document contains a benefit formula provision, the administrator provides to the superintendent, with the application,
(i) if an event or transaction referred to in section 87 materially affects the cost of benefits provided by the plan or creates an unfunded liability or a solvency deficiency, an actuarial valuation report and cost certificate prepared, or the current actuarial valuation report and cost certificate revised, as at the effective date of the event or transaction,
(ii) if an event or transaction referred to in section 87 does not materially affect the cost of benefits provided by the plan or create an unfunded liability or a solvency deficiency, certification by the reviewer that the event or transaction does not materially affect the cost of benefits provided by the plan,
(iii) a statement identifying the assets and liabilities of the predecessor plan that are to be transferred to the successor plan,
(iv) a statement indicating the number of members of the predecessor plan who are to become members of the successor plan, and
(v) any other information or records required by the superintendent, and
(c) the superintendent consents in writing to the transfer.
(2) If, in conjunction with an event or transaction referred to in section 87, the assets and liabilities of a predecessor plan are to be transferred to a successor plan, the administrator of the predecessor plan may, but is not required to, transfer any actuarial excess in the predecessor plan to the successor plan.
89 If the plan text document of a successor plan contains a benefit formula provision and an event or transaction referred to in section 87 would result in an identifiable group of members entitled to receive benefits from a predecessor plan becoming members entitled to receive benefits from the successor plan, the administrator of the successor plan must file in relation to the successor plan the following:
(a) if the successor plan has been registered under section 14 of the Act,
(i) if an event or transaction referred to in section 87 materially affects the cost of benefits provided by the plan or creates an unfunded liability or a solvency deficiency, an actuarial valuation report and cost certificate prepared, or the current actuarial valuation report and cost certificate revised, as at the effective date of the event or transaction, or
(ii) if an event or transaction referred to in section 87 does not materially affect the cost of benefits provided by the plan or create an unfunded liability or a solvency deficiency, certification by the reviewer that the event or transaction does not materially affect the cost of benefits provided by the plan;
(b) any other information or records required by the superintendent.
[am. B.C. Reg. 9/2016, s. 5.]
90 (1) If, in conjunction with an event or transaction referred to in section 87, the assets and liabilities of a predecessor plan are transferred to a successor plan, the administrator of the successor plan must, within 30 days after receiving the superintendent's consent under section 88 (1) (c), disclose the following to each of the members of the predecessor plan who has become a member of the successor plan:
(a) a summary of the event or transaction;
(b) a description of the effect of the event or transaction on the member's benefits and entitlements.
(2) If, in conjunction with an event or transaction referred to in section 87, the successor employer acquires all or part of a predecessor employer's business, undertaking or assets but no assets or liabilities of the predecessor plan are transferred to the successor plan, the administrator of the predecessor plan must, within 30 days after the effective date of the event or transaction, disclose the following to each of the members of the predecessor plan who has become a member of the successor plan:
(a) a summary of the event or transaction;
(b) a description of the effect of the event or transaction on the member's benefits and entitlements.
91 (1) If an event or transaction referred to in section 87 occurs that does not result in the transfer of an active member's membership to the successor plan, the member is, if the member becomes an employee of the successor employer as a result of that event or transaction, immediately entitled to become an active member of the successor plan.
(2) If an event or transaction referred to in section 87 occurs as a result of which an employee of the predecessor employer becomes an employee of the successor employer, the employee's years of employment with the predecessor employer are to be considered as years of employment with the successor employer for the purposes of determining the employee's entitlement under section 29 (1) of the Act to become a member of the successor plan.
[am. B.C. Reg. 64/2021, ss. 2 and 3.]
Division 2 — Other Changes in Plan Benefit Type or Plan Structure
92 (1) This section applies if the plan text document of a pension plan is amended to convert a plan provision of one type to a plan provision of another type under section 92 of the Act.
(2) The superintendent may refuse to register an amendment to the plan text document of a pension plan to convert a plan provision of one type to a plan provision of another type if the superintendent considers that the amendment, or any matter relating to it, including, without limitation, any actuarial valuation report filed in relation to the conversion and any notice to members relating to the conversion, is unsatisfactory.
(3) If the plan text document of a pension plan is amended to convert a plan provision of one type to a plan provision of another type, the administrator of the plan must, at least 30 days before filing the records referred to in section 18 that apply to the amendment, provide to members affected by the conversion notice of the conversion, along with the information required by the superintendent, in the form and manner required by the superintendent.
93 (1) Sections 99 to 107 of the Act are prescribed for the purposes of section 94 (a) of the Act.
(2) Section 97 of the Act applies to a participating employer referred to in section 94 of the Act as if a reference in section 97 of the Act to a responsible person were a reference to the participating employer.
Part 9 — Locked-In Retirement Accounts and Life Income Funds
Division 1 — Interpretation and Authorized Entities
94 In this Part:
, in relation to a locked-in retirement account issuer or a life income fund issuer, has the meaning set out in section 95 (4);
"dependant" means a person who is dependent on the owner or the owner's spouse for support;
"issuer" has the same meaning as in section 146 (1) of the Income Tax Act (Canada);
"medical expenses" means
(a) expenses for goods and services of a medical or dental nature, or
(b) expenses incurred or to be incurred for renovations or alterations to the principal residence of the owner or of the owner's spouse or of a dependant of either or any additional expenses incurred in the construction of the residence, made necessary by the illness or disability of the owner, spouse or dependant;
"member owner" means an owner of a locked-in vehicle if
(a) the owner was a member of a pension plan, and
(b) the locked-in vehicle contains locked-in money from that plan;
"owner", in relation to a locked-in vehicle, means
(a) a member owner of the locked-in vehicle, or
(b) a spouse owner of the locked-in vehicle;
"spouse owner" means an owner of a locked-in vehicle if the locked-in vehicle contains locked-in money from a pension plan, who is
(a) the spouse or former spouse of a member of the pension plan or member owner, whose entitlement to the locked-in money in the locked-in vehicle arose by virtue of a breakdown of the marriage or marriage-like relationship between the owner and the member or member owner, or
(b) the surviving spouse of a deceased member of the pension plan or member owner whose entitlement to the locked-in money in the locked-in vehicle arose by virtue of the death of the member or member owner.
95 (1) The superintendent may establish and maintain one or more of the following lists:
(a) a list of issuers that are authorized to issue locked-in retirement accounts;
(b) a list of issuers that are authorized to issue life income funds;
(c) a list of issuers that are authorized to issue both locked-in retirement accounts and life income funds.
(2) The superintendent may establish the criteria that must be met by an issuer in order for the issuer to be added to a list referred to in subsection (1) and may remove from a list any issuer that does not meet, or has ceased to meet, the criteria applicable to that list.
(3) To be added to a list referred to in subsection (1), an issuer must apply to the superintendent and satisfy the superintendent that the issuer meets the criteria established under subsection (2).
(a) authorized to issue locked-in retirement accounts if the issuer is listed on the list referred to in subsection (1) (a) or (c), and
(b) authorized to issue life income funds if the issuer is listed on the list referred to in subsection (1) (b) or (c).
(5) For the purposes of subsection (4),
(a) an issuer is, for the period of 6 months immediately following the coming into force of this section, deemed to be listed on the list referred to in subsection (1) (a) of this section if the issuer is, on the coming into force of this section, listed on a list established and maintained under section 29 (3) of the Pension Benefits Standards Regulation, B.C. Reg. 433/93, and
(b) an issuer is, for the period of 6 months immediately following the coming into force of this section, deemed to be listed on the list referred to in subsection (1) (b) of this section if the issuer is, on the coming into force of this section, listed on a list established and maintained under section 30 (3) of the Pension Benefits Standards Regulation, B.C. Reg. 433/93.
(6) An issuer referred to in subsection (5) is, at the end of the 6-month period referred to in that subsection, removed from each list referred to in subsection (1) on which the issuer was, under subsection (5), deemed to be listed unless the issuer is listed on that list as a result of an application under subsection (3) made by the issuer to the superintendent on or after the coming into force of this section.
(7) If an issuer is removed under subsection (2) or (6) from a list referred to in subsection (1), the obligations and liabilities of the issuer in relation to any locked-in retirement account or life income fund are not affected by that removal.
Division 2 — Locked-In Retirement Accounts
96 For the purposes of the definition of "locked-in retirement account" in section 1 (1) of the Act, an RRSP is a locked-in retirement account if the RRSP includes locked-in money.
97 If an issuer transfers money from a locked-in retirement account held by that issuer to another locked-in vehicle held by that issuer, this Division applies to the issuer in the same way that this Division would have applied to the issuer had the transfer been made to a locked-in vehicle held by another issuer.
98 (1) A locked-in retirement account issuer must ensure that
(a) a locked-in retirement account is administered in accordance with the Act and this regulation,
(b) the locked-in retirement account is registered under the Income Tax Act (Canada),
(c) the money in the locked-in retirement account is invested in a manner that complies with the rules in the Income Tax Act (Canada) for the investment of RRSP money,
(d) money is not paid, transferred or withdrawn from the locked-in retirement account other than in accordance with paragraph (e) of this subsection and
(i) section 69 (2) or (4) of the Act and section 107, 108, 109 or 110 of this regulation, or
(ii) section 106 of this regulation, and
(e) any money transferred from the locked-in retirement account is, subject to section 106 (1), transferred
(i) to a pension plan if the plan text document of the plan allows the transfer,
(ii) to another locked-in retirement account in accordance with this Division,
(iii) to a life income fund in accordance with section 103 (2) and Division 3, or
(iv) to an insurance company to purchase an annuity in accordance with section 103 (4).
(2) If a person becomes entitled to receive a transfer of benefits under subsection (1) (e) of this section or section 106 (1) of this regulation, or entitled to payment or withdrawal of a lump sum under section 69 (2) or (4) of the Act or section 106 (2) or (4), 107, 108, 109 or 110 of this regulation, from a locked-in retirement account, the locked-in retirement account issuer must make the transfer, payment or withdrawal within 60 days after the later of
(a) the event giving rise to the entitlement, and
(b) the receipt by the issuer of all records that are necessary to allow the issuer to make the transfer, payment or withdrawal.
(3) If a person becomes entitled to payment or withdrawal of a lump sum under section 69 (2) or (4) of the Act or section 106 (2) or (4), 107, 108, 109 or 110 of this regulation from a locked-in retirement account, the locked-in retirement account issuer must transfer the amount, if and to the extent that the Income Tax Act (Canada) allows, to an RRSP or RRIF, with or without conditions, at the option of the person to whom the lump sum is payable.
99 (1) The contract for a locked-in retirement account must include the addendum referred to in Schedule 1 whether entered into before or after this section comes into force.
(2) A locked-in retirement account contract that does not contain the addendum referred to in subsection (1) is deemed to include the addendum, whether entered into before or after this section comes into force.
(3) The addendum referred to in subsection (1) must be attached to the copy of the locked-in retirement account contract when that copy is provided by the issuer to the person signing the contract.
(4) If the addendum referred to in subsection (1) is amended, the addendum to each locked-in retirement account contract is deemed to be amended in a corresponding way, and each issuer must provide to each owner of a locked-in retirement account held by that issuer notice of that amendment in any form or manner the superintendent considers appropriate.
(5) In the event of a conflict between a provision of a locked-in retirement account contract and a provision of the addendum referred to in subsection (1), the provision of the addendum prevails.
100 A locked-in retirement account issuer must, in relation to the locked-in retirement account, comply with the obligations set out in the addendum referred to in section 99 (1) or ensure that those obligations are complied with.
101 The payment from a locked-in retirement account of administration expenses applicable to the administration of the locked-in retirement account does not constitute an assignment, charge, alienation or anticipation of the money in the locked-in retirement account for the purposes of section 70 of the Act.
102 (1) An issuer must not accept a transfer of locked-in money to an RRSP unless the issuer is authorized to issue locked-in retirement accounts.
(2) A locked-in retirement account issuer must not accept a transfer of money to the locked-in retirement account unless that money is locked-in money.
103 (1) Unless section 98 (3) applies, an administrator of a pension plan or a locked-in retirement account issuer must not transfer money from the plan or locked-in retirement account, respectively, to an RRSP unless
(a) the issuer to which the transfer is to be made (the "transferee issuer") is authorized to issue locked-in retirement accounts, and
(b) the transferring administrator or issuer has advised the transferee issuer in writing that the money is locked-in money.
(2) A locked-in retirement account issuer must not transfer money in a locked-in retirement account to a life income fund unless
(a) the issuer to which the transfer is to be made is authorized to issue life income funds,
(b) the locked-in retirement account issuer has advised the life income fund issuer in writing that the money is locked-in money, and
(c) if the member owner has a spouse, one of the following has been provided to the locked-in retirement account issuer:
(i) a consent in Form 3 of Schedule 3 signed by the spouse in the presence of a witness and outside the presence of the member owner not more than 90 days before the date of the transfer;
(ii) confirmation, in a form and manner satisfactory to the locked-in retirement account issuer, that section 145 of the Family Law Act applies.
(3) If any or all of the money in a locked-in retirement account has been held during any portion of a calendar year in a life income fund or a life income type benefits account, the locked-in retirement account issuer must not, in that calendar year, transfer money from the locked-in retirement account to a life income fund.
(4) A locked-in retirement account issuer must not transfer money in a locked-in retirement account to an insurance company to purchase an annuity unless
(a) payments under the annuity do not begin until the member owner or spouse owner, within the meaning of paragraph (a) of the definition of "spouse owner", as the case may be, of the locked-in retirement account has reached 50 years of age,
(b) payments under the annuity begin on or before the last date on which a person is allowed under the Income Tax Act (Canada) to start receiving a pension from a registered pension plan,
(c) there is no differentiation among the annuitants on the basis of gender, and
(d) if the owner is a member owner who has a spouse,
(i) the annuity is in the form of a joint and survivor pension referred to in section 80 (2) of the Act, or
(ii) one of the following has been provided to the locked-in retirement account issuer:
(A) a waiver in Form 2 (Waiver A) of Schedule 3 signed by the spouse in the presence of a witness and outside the presence of the member owner not more than 90 days before the date that payments are to begin;
(B) confirmation, in a form and manner satisfactory to the locked-in retirement account issuer, that section 145 of the Family Law Act applies.
(5) A locked-in retirement account issuer making a transfer
(a) under subsection (2) must, if a consent referred to in subsection (2) (c) (i) or a confirmation referred to in subsection (2) (c) (ii) has been provided to the issuer under that provision, provide a copy of that consent or confirmation to the life income fund issuer at or before the time of making the transfer, or
(b) under subsection (4) must, if a waiver referred to in subsection (4) (d) (ii) (A) or a confirmation referred to in subsection (4) (d) (ii) (B) has been provided to the issuer under that provision, provide a copy of that waiver or confirmation to the insurance company at or before the time of making the transfer.
[am. B.C. Reg. 9/2016, s. 3.]
104 (1) If a locked-in retirement account holds identifiable and transferable securities, the transfers referred to in this Division may be made, at the option of the locked-in retirement account issuer and with the consent of the owner, by the transfer of those securities.
(2) There may be transferred to a locked-in retirement account identifiable and transferable securities, if that transfer is approved by the locked-in retirement account issuer and consented to by the owner.
105 (1) If a locked-in retirement account issuer pays or transfers money from a locked-in retirement account contrary to the Act or this regulation, the issuer must, except in a situation referred to in subsection (2), do the following:
(a) if less than all of the money in the locked-in retirement account is improperly paid or transferred, the issuer must deposit into the locked-in retirement account an amount of money equal to the amount of money that was improperly paid or transferred;
(b) if all of the money in the locked-in retirement account is improperly paid or transferred, the issuer must establish a new locked-in retirement account for the owner and deposit into that new locked-in retirement account an amount of money equal to the amount of money that was improperly paid or transferred.
(a) a locked-in retirement account issuer transfers money from the locked-in retirement account to an issuer (the "transferee issuer") authorized to issue locked-in retirement accounts,
(b) the transferring issuer fails to advise the transferee issuer that the money is locked-in money, and
(c) the transferee issuer deals with the money in a manner that is contrary to the manner in which locked-in money must be dealt with under the Act,
the transferring issuer must pay to the transferee issuer, in accordance with the requirements of the Act and this regulation relating to transfers of locked-in money, an amount equal to the amount dealt with in the manner referred to in paragraph (c).
(3) If a member of a pension plan or the surviving spouse of a deceased member elects to transfer from the plan to a locked-in retirement account money to which the member or surviving spouse is entitled and the administrator of the plan pays or transfers that money out of the plan contrary to the Act or this regulation,
(a) the administrator, except in a situation referred to in paragraph (b), remains liable to ensure that the member or surviving spouse receives a pension equal in value to the pension that would have been provided had the payment or transfer not been made, or
(i) the administrator of the plan transfers that money to an issuer (the "transferee issuer") authorized to issue locked-in retirement accounts,
(ii) the administrator fails to advise the transferee issuer that the money is locked-in money, and
(iii) the transferee issuer deals with the money in a manner that is contrary to the manner in which locked-in money must be dealt with under the Act,
the administrator must pay to the transferee issuer, in accordance with the requirements of the Act and this regulation relating to transfers of money from pension plans, an amount equal to the amount dealt with in the manner referred to in subparagraph (iii).
(4) If money is paid to a transferee issuer under subsection (2) or (3) (b), the transferee issuer must ensure that that money is deposited into a locked-in retirement account for the benefit of the owner of the locked-in retirement account from which the improper payment or transfer was made.
106 (1) Subject to subsection (2), if a member owner of a locked-in retirement account dies and the member owner is survived by a spouse, the locked-in retirement account issuer must transfer the money in the locked-in retirement account to whichever of the following the surviving spouse elects:
(a) a pension plan if the plan text document of the plan allows the transfer;
(b) another locked-in retirement account in accordance with this Division;
(c) a life income fund, in accordance with section 103 (2) and Division 3;
(d) an insurance company to purchase an annuity in accordance with section 103 (4) (b) and (c).
(2) If a member owner of a locked-in retirement account dies and
(a) the member owner is not survived by a spouse, or
(b) the member owner is survived by a spouse and one of the following has been provided to the locked-in retirement account issuer:
(i) a waiver in Form 4 of Schedule 3 signed by the spouse before the member owner's death in the presence of a witness and outside the presence of the member owner;
(ii) confirmation, in a form and manner satisfactory to the locked-in retirement account issuer, that section 145 of the Family Law Act applies,
the locked-in retirement account issuer must pay, as a lump-sum payment, the money in the locked-in retirement account to the member owner's designated beneficiary or, if there is no living designated beneficiary, to the personal representative of the deceased member owner's estate.
(3) If a waiver or confirmation has been provided under subsection (2) (b) to the locked-in retirement account issuer, the surviving spouse is not entitled to receive the money in the locked-in retirement account under subsection (2) (b) as the member owner's designated beneficiary.
(4) If a spouse owner of a locked-in retirement account dies, the locked-in retirement account issuer must pay the money in the locked-in retirement account, as a lump-sum payment,
(a) to the spouse owner's designated beneficiary, or
(b) if there is no living designated beneficiary, to the personal representative of the spouse owner's estate.
[am. B.C. Reg. 64/2021, s. 2.]
107 (1) For the purposes of section 69 (2) of the Act as it applies to a locked-in retirement account, a locked-in retirement account contract must provide that the owner of the locked-in retirement account is entitled to the lump-sum amount referred to in section 69 (2) if
(a) the owner makes application to the locked-in retirement account issuer, and
(b) on the date of the application,
(i) the balance of the locked-in retirement account does not exceed 20% of the Year's Maximum Pensionable Earnings for the calendar year in which the application is made, or
(ii) both of the following apply:
(A) the owner is at least 65 years of age;
(B) the balance of the locked-in retirement account does not exceed 40% of the Year's Maximum Pensionable Earnings for the calendar year in which the application is made.
(2) Money in a locked-in retirement account that is not eligible for the payment option referred to in subsection (1) must not be transferred to 2 or more locked-in retirement accounts, life income funds, pension plans or annuities, or any combination of them, if that transfer would make any one or more of them eligible for a payment option referred to in subsection (1) of this section or section 69 (1) or (2) of the Act.
108 For the purposes of section 69 (4) (a) of the Act as it applies to a locked-in retirement account, a locked-in retirement account contract must provide that the owner of the locked-in retirement account is entitled to the payment, or series of payments for a fixed term, referred to in that paragraph if the owner makes application to the locked-in retirement account issuer.
109 For the purposes of section 69 (4) (b) of the Act as it applies to a locked-in retirement account, a locked-in retirement account contract must provide that the owner of the locked-in retirement account is entitled to withdraw the lump sum referred to in that paragraph if
(a) the owner makes application to the locked-in retirement account issuer, and
(b) the owner provides a statement signed by the owner that the owner has been absent from Canada for 2 or more years.
110 (1) An owner wishing to make a withdrawal under section 69 (4) (c) of the Act must, in accordance with this section, apply for that withdrawal to the locked-in retirement account issuer.
(2) Only one application for a withdrawal under subsection (1), for each of the grounds listed in subsection (4), may be made in any calendar year in respect of each locked-in retirement account.
(3) An application under subsection (1) must be
(a) made in the form and manner required by the superintendent, and
(b) signed by the owner not more than 90 days before the date of the application.
(4) For the purposes of section 69 (4) (c) of the Act, an owner seeking to make a withdrawal under that provision is suffering financial hardship if
(a) the owner's expected total income for the one-year period following the date on which the application for the withdrawal is signed, from all sources other than the withdrawal amount, is not more than 66 2/3% of the Year's Maximum Pensionable Earnings for the calendar year in which the application is signed,
(b) the owner is not, without the withdrawal, able to pay for medical expenses incurred or to be incurred by the owner or by the owner's spouse or by a dependant of either, and those medical expenses are not paid by, and are not subject to reimbursement from, any other source,
(c) the owner or the owner's spouse has received a written demand in respect of arrears in the payment of rent for the owner's or spouse's principal residence, and the owner or spouse is facing eviction if the arrears remain unpaid,
(d) the owner or the owner's spouse has received a written demand in respect of default on a mortgage that is secured against the owner's or spouse's principal residence, and the owner or spouse is facing foreclosure if the default is not rectified, or
(e) the owner requires the withdrawal to be able to pay the first month's rent, security deposit or pet damage deposit required to be paid to obtain a principal residence for the owner or the owner's spouse.
(5) An owner referred to in subsection (4) of this section must not withdraw under section 69 (4) (c) of the Act in an application an amount that is more than the total of
(a) whichever of the following applies to the owner:
(i) for an owner referred to in subsection (4) (a), the amount determined by subtracting 75% of the expected total income amount referred to in subsection (4) (a) from 50% of the Year's Maximum Pensionable Earnings for the calendar year in which the application for the withdrawal is signed;
(ii) for an owner referred to in subsection (4) (b), the amount required to pay the required medical expenses incurred or to be incurred in the one-year period following the date on which the application for the withdrawal is signed;
(iii) for an owner referred to in subsection (4) (c), the amount required to pay the arrears;
(iv) for an owner referred to in subsection (4) (d), the amount required to rectify the default;
(v) for an owner referred to in subsection (4) (e), the amount required to pay the first month's rent, security deposit or pet damage deposit, and
(b) the tax payable on the withdrawal.
(6) If an owner is seeking a withdrawal under section 69 (4) (c) of the Act on the basis of financial hardship within the meaning of subsection (4) (a) of this section, the owner seeking the withdrawal must include in the application for the withdrawal a statement signed by the owner setting out the amount of the owner's expected total income from all sources, before taxes, for the 12 months after the date on which the application is signed.
(7) If an owner is seeking a withdrawal under section 69 (4) (c) of the Act on the basis of financial hardship within the meaning of subsection (4) (b) of this section, the following conditions must be met:
(a) a medical practitioner certifies that the medical treatment for which the withdrawal is sought is required by the person for whom the expense was incurred or is to be incurred;
(b) the owner seeking the withdrawal includes in the application for the withdrawal
(i) the medical certificate referred to in paragraph (a), and
(ii) a copy of receipts for, or an estimate of the amount of, the medical expenses being claimed.
(8) If an owner is seeking a withdrawal under section 69 (4) (c) of the Act on the basis of financial hardship within the meaning of subsection (4) (c) of this section, the owner seeking the withdrawal must include in the application for the withdrawal a copy of the written demand referred to in subsection (4) (c).
(9) If an owner is seeking a withdrawal under section 69 (4) (c) of the Act on the basis of financial hardship within the meaning of subsection (4) (d) of this section, the owner seeking the withdrawal must include in the application for the withdrawal a copy of the written demand referred to in subsection (4) (d).
(10) If an owner is seeking a withdrawal under section 69 (4) (c) of the Act on the basis of financial hardship within the meaning of subsection (4) (e) of this section, the owner seeking the withdrawal must include in the application for the withdrawal a copy of the rental agreement, if any.
(11) A record submitted for the purposes of subsection (7) (b), (8), (9) or (10) must be signed not more than 12 months before the date of the application referred to in subsection (1).
[am. B.C. Reg. 64/2021, s. 3.]
111 If a member owner who is eligible to make a withdrawal under section 69 (4) of the Act and section 108, 109 or 110 of this regulation, as the case may be, has a spouse, the member owner must not make the withdrawal unless one of the following has been provided to the locked-in retirement account issuer:
(a) a waiver in Form 1 of Schedule 3 signed by the spouse in the presence of a witness and outside the presence of the member owner not more than 90 days before the date of the application under section 108, 109 (a) or 110 (1) of this regulation, as the case may be;
(b) confirmation, in a form and manner satisfactory to the locked-in retirement account issuer, that section 145 of the Family Law Act applies.
[am. B.C. Reg. 9/2016, s. 6.]
Division 3 — Life Income Funds
112 In this Division:
"life income fund balance", in relation to a life income fund, means
(a) in the calendar year in which the fund is established, the balance of the fund as at the date on which the fund is established, and
(b) in every subsequent calendar year, the balance of the fund as at January 1 of the calendar year in which the calculation is made;
"life income fund maximum amount", in relation to the income that may be paid out of a life income fund to an owner in a calendar year, means the greatest of
(a) the investment returns for the most recently completed calendar year for the owner's life income fund,
(b) the life income fund minimum amount applicable to the owner's life income fund for that year, and
(c) the amount determined by dividing the life income fund balance by the withdrawal factor;
"life income fund minimum amount", in relation to the income that may be paid out of a life income fund to an owner in a calendar year, means the minimum amount of income that, under the Income Tax Act (Canada) or the Income Tax Regulations (Canada), is required to be paid out of the owner's life income fund in that year;
"withdrawal factor" means the actuarial present value, on January 1 of the calendar year in which the calculation is made, of an annuity of $1, payable at the beginning of each calendar year between that date and December 31 of the calendar year during which the owner reaches the age of 90 years, and calculated by using,
(a) for the first 15 calendar years, the greater of the following:
(b) for each calendar year after the first 15 calendar years, 6% per year.
113 For the purposes of the definition of "life income fund" in section 1 (1) of the Act, a RRIF is a life income fund if the RRIF includes locked-in money.
114 If an issuer transfers money from a life income fund held by that issuer to another locked-in vehicle held by that issuer, this Division applies to the issuer in the same way that this Division would have applied to the issuer had the transfer been made to a locked-in vehicle held by another issuer.
115 (1) A life income fund issuer must ensure that
(a) the life income fund is administered in accordance with the Act and this regulation,
(b) the life income fund is registered under the Income Tax Act (Canada),
(c) the money in the life income fund is invested in a manner that complies with the rules in the Income Tax Act (Canada) for the investment of RRIF money,
(d) money is not paid, transferred or withdrawn from the life income fund other than in accordance with paragraph (e) of this subsection and
(i) section 69 (2) or (4) of the Act and section 126, 127, 128 or 129 of this regulation, or
(ii) section 123 or 125 of this regulation, and
(e) any money transferred from the life income fund is transferred
(i) to a pension plan if the plan text document of the plan allows the transfer,
(ii) to another life income fund in accordance with this Division,
(iii) to a locked-in retirement account in accordance with section 121 (2) and Division 2, or
(iv) to an insurance company to purchase an annuity in accordance with section 121 (3).
(2) If a person becomes entitled to receive a transfer of benefits under subsection (1) (e) of this section or entitled to payment or withdrawal of a lump sum under section 69 (2) or (4) of the Act or section 125 to 129 of this regulation from a life income fund, the life income fund issuer must make the transfer, payment or withdrawal within 60 days after the later of
(a) the event giving rise to the entitlement, and
(b) the receipt by the issuer of all records that are necessary to allow the issuer to make the transfer, payment or withdrawal.
(3) If a person becomes entitled to payment or withdrawal of a lump sum under section 69 (2) or (4) of the Act or section 125 to 129 of this regulation from a life income fund, the life income fund issuer must transfer the amount, if and to the extent that the Income Tax Act (Canada) allows, to an RRSP or RRIF, with or without conditions, at the option of the person to whom the lump sum is payable.
116 (1) The contract for a life income fund must include the addendum in Schedule 2 whether entered into before or after this section comes into force.
(2) A life income fund contract that does not contain the addendum is deemed to include the addendum referred to in subsection (1).
(3) The addendum referred to in subsection (1) must be attached to the copy of the life income fund contract when that copy is provided by the issuer to the person signing the contract.
(4) If the addendum referred to in subsection (1) is amended, the addendum to each life income fund contract is deemed to be amended in a corresponding way, and each issuer must provide to each owner of a life income fund held by that issuer notice of that amendment in any form or manner the superintendent considers appropriate.
(5) In the event of a conflict between a provision of a life income fund contract and a provision of the addendum referred to in subsection (1), the provision of the addendum prevails.
117 A life income fund issuer must, in relation to a life income fund, comply with the obligations set out in the addendum referred to in section 116 (1) or ensure that those obligations are complied with.
118 (1) A life income fund issuer must, within 30 days after the beginning of each calendar year, provide to the owner of the life income fund a statement containing the following information:
(a) the amounts of any transfers made to the life income fund in the most recently completed calendar year;
(b) the investment returns for the life income fund in the most recently completed calendar year;
(c) any administration expenses deducted, and any other payments, transfers or withdrawals made, out of the life income fund in the most recently completed calendar year;
(d) the value of the life income fund as at the end of the most recently completed calendar year;
(e) the life income fund minimum amount for the calendar year in which the statement is provided;
(f) the life income fund maximum amount for the calendar year in which the statement is provided;
(g) a statement indicating that the owner must advise the issuer as to the amount the owner wishes to receive in the calendar year in which the statement is provided and indicating that, unless the owner provides that advice, the issuer will pay the life income fund minimum amount for the calendar year in which the statement is provided.
(2) A life income fund issuer must, within 30 days after a transfer is made to a life income fund, provide to the owner of the life income fund information
(a) respecting the amount transferred into the life income fund,
(b) respecting the value of the life income fund immediately after the transfer, and
(c) if the transfer is not made from another life income fund or a life income type benefits account, respecting the amount that may be paid or transferred from the life income fund in that calendar year as a result of the transfer, determined by dividing the amount of the transfer by the withdrawal factor.
(3) A life income fund issuer must,
(a) if the owner of a life income fund transfers money out of the life income fund to another locked-in vehicle or to a pension plan or annuity, provide to the owner, within 30 days after the date of the transfer, a statement showing
(i) the value of the life income fund as at the end of the most recently completed calendar year,
(ii) the value of the life income fund immediately before the transfer, and
(iii) the amounts transferred into, the investment returns earned by, the administration expenses deducted, and any other payments, transfers or withdrawals made out of, the life income fund between the beginning of the current calendar year and the date of the transfer,
(b) if the owner of a life income fund receives a payment or withdrawal under section 69 (2) or (4) of the Act and section 126, 127, 128 or 129 of this regulation, provide to the owner, within 30 days after the date of the payment or withdrawal, a statement showing
(i) the value of the life income fund as at the end of the most recently completed calendar year,
(ii) the value of the life income fund immediately before the payment or withdrawal, and
(iii) the amounts transferred into, the investment returns earned by, the administration expenses deducted, and any other payments, transfers or withdrawals made out of, the life income fund between the beginning of the current calendar year and the date of the payment or withdrawal, and
(c) if the owner of the life income fund dies and the surviving spouse, designated beneficiary or the personal representative of the owner's estate receives a payment under section 125, provide to the surviving spouse, designated beneficiary or estate along with the payment a statement showing
(i) the value of the life income fund at the end of the most recently completed calendar year,
(ii) the value of the life income fund immediately before the payment, and
(iii) the amounts transferred into, the investment returns earned by, the administration expenses deducted, and any other payments, transfers or withdrawals made out of, the life income fund between the beginning of the current calendar year and the date of the owner's death.
119 The payment from a life income fund of administration expenses applicable to the administration of the life income fund does not constitute an assignment, charge, alienation or anticipation of the money in the life income fund for the purposes of section 70 of the Act.
120 (1) An issuer must not accept a transfer of locked-in money to a RRIF unless the issuer is authorized to issue life income funds.
(2) A life income fund issuer must not accept a transfer of money to the life income fund unless
(a) the transferred money is locked-in money,
(b) if the owner is a member owner who has a spouse, the life income fund issuer has received a copy of the consent or confirmation required by section 103 (2) (c) or 121 (1) (b) (ii), and
(c) if the locked-in money is coming from a locked-in retirement account by way of a transfer by the owner of the account, or from a pension plan by way of a transfer by a member of the plan, the member owner or spouse owner, within the meaning of paragraph (a) of the definition of "spouse owner" or member, as the case may be, is at least 50 years of age.
(3) For the purpose of subsection (2), a spouse's consent or confirmation is valid for each successive transfer of money in a life income fund to another life income fund.
121 (1) Unless section 115 (3) applies, an administrator of a pension plan or a life income fund issuer must not transfer money from the plan or life income fund, as applicable, to a RRIF unless
(a) the issuer to which the transfer is to be made (the "transferee issuer") is authorized to issue life income funds,
(b) if the transferor is an administrator of a pension plan,
(i) the administrator advises the transferee issuer in writing that the money is locked-in money,
(ii) if the member has a spouse, one of the following has been provided to the administrator:
(A) a consent in Form 3 of Schedule 3 signed by the spouse in the presence of a witness and outside the presence of the member not more than 90 days before the date of the transfer;
(B) confirmation, in a form and manner satisfactory to the administrator, that section 145 of the Family Law Act applies, and
(iii) if the plan authorizes payment of life income type benefits in accordance with section 75 of the Act and the member or the surviving spouse of a deceased member has elected to receive life income type benefits, the administrator advises the transferee issuer as to the following:
(A) the amount, if any, that has been paid from the plan by way of life income type benefits in the calendar year in which the transfer is being made;
(B) the life income type benefits minimum amount that must be paid or transferred from the life income type benefits account in that calendar year;
(C) the life income type benefits maximum amount that under section 74 (4) (b) of this regulation the member or surviving spouse is entitled to receive in that calendar year from the plan,
(c) if the transferor is a life income fund issuer,
(i) the life income fund issuer advises the transferee issuer that the money is locked-in money that is being transferred from a life income fund, and
(ii) the life income fund issuer advises the transferee issuer as to the following:
(A) the amount, if any, that has been paid or transferred from the life income fund in the calendar year in which the transfer is being made;
(B) the life income fund minimum amount that must be paid or transferred from the life income fund in that calendar year;
(C) the life income fund maximum amount that under section 123 (1) (b) may be paid or transferred in that calendar year, and
(d) the transferee issuer provides to the transferring administrator or issuer written confirmation that the transferee issuer has received a copy of the consent or confirmation required by section 120 (2) (b).
(2) A life income fund issuer must not transfer money in the life income fund to a locked-in retirement account unless
(a) the issuer to which the transfer is to be made is authorized to issue locked-in retirement accounts, and
(b) the life income fund issuer has advised the locked-in retirement account issuer in writing that the money is locked-in money that is being transferred from a life income fund.
(3) A life income fund issuer must not transfer money in the life income fund to an insurance company to purchase an annuity unless
(a) payments under the annuity commence on or before the last date on which a person is allowed under the Income Tax Act (Canada) to start receiving a pension from a registered pension plan,
(b) there is no differentiation among the annuitants on the basis of gender, and
(c) if the member owner has a spouse,
(i) the annuity is in the form of a joint and survivor pension referred to in section 80 (2) of the Act, or
(ii) one of the following has been provided to the life income fund issuer:
(A) a waiver in Form 2 (Waiver A) of Schedule 3 signed by the spouse in the presence of a witness and outside the presence of the member owner not more than 90 days before the date that the payments are to begin;
(B) confirmation, in a form and manner satisfactory to the life income fund issuer, that section 145 of the Family Law Act applies.
(4) A life income fund issuer making a transfer under subsection (3) must, if a waiver referred to in subsection (3) (c) (ii) (A) or a confirmation referred to in subsection (3) (c) (ii) (B) has been provided to the issuer under that provision, provide a copy of that waiver or confirmation to the insurance company at or before the time of making the transfer.
[am. B.C. Reg. 9/2016, s. 3.]
122 (1) If a life income fund holds identifiable and transferable securities, the transfers referred to in this Division may be effected, at the option of the life income fund issuer and with the consent of the owner, by the transfer of those securities.
(2) There may be transferred to a life income fund identifiable and transferable securities, if that transfer is approved by the life income fund issuer and consented to by the owner.
123 (1) There must be paid from a life income fund in each calendar year an amount of income that is
(a) not less than the life income fund minimum amount applicable to the owner's life income fund for that year, and
(b) not more than the life income fund maximum amount applicable to the owner's life income fund for that year.
(2) The owner of a life income fund must notify the life income fund issuer, in writing, at the following times, of the amount of income that is to be paid out of the life income fund during a calendar year, which amount must accord with subsection (1):
(a) at the beginning of that calendar year;
(b) if the owner receives information under section 118 (2) (c), after receipt of that information.
(3) If the owner of a life income fund fails to notify the life income fund issuer in accordance with subsection (2) in a calendar year, the life income fund issuer must, subject to subsection (4), pay to the owner, in that year, the owner's life income fund minimum amount applicable to the owner's life income fund for that year.
(4) The owner of a life income fund may, at any time during a calendar year, change the amount of income that is to be paid out of the life income fund during that year to a different amount that accords with subsection (1).
124 (1) If a life income fund issuer pays or transfers money from a life income fund contrary to the Act or this regulation, the issuer must, except in a situation referred to in subsection (2), do the following:
(a) if less than all of the money in the life income fund is improperly paid or transferred, the issuer must deposit into the life income fund an amount of money equal to the amount of money that was improperly paid or transferred;
(b) if all of the money in the life income fund is improperly paid or transferred, the issuer must establish a new life income fund for the owner and deposit into that new life income fund an amount of money equal to the amount of money that was improperly paid or transferred.
(a) a life income fund issuer transfers money from the life income fund to an issuer (the "transferee issuer") authorized to issue life income funds,
(b) the transferring issuer fails to advise the transferee issuer that the money is locked-in money, and
(c) the transferee issuer deals with the money in a manner that is contrary to the manner in which locked-in money must be dealt with under the Act,
the transferring issuer must pay to the transferee issuer, in accordance with the requirements of the Act and this regulation relating to transfers of locked-in money, an amount equal to the amount dealt with in the manner referred to in paragraph (c).
(3) If a member of a pension plan or the surviving spouse of a deceased member elects to transfer from the plan to a life income fund money to which the member or surviving spouse is entitled and the administrator of the plan pays or transfers that money out of the plan contrary to the Act or this regulation,
(a) the administrator, except in a situation referred to in paragraph (b), remains liable to ensure that the member or surviving spouse receives a pension equal in value to the pension that would have been provided had the payment or transfer not been made, or
(i) the administrator of the plan transfers that money to an issuer authorized to issue life income funds,
(ii) the administrator fails to advise the transferee issuer that the money is locked-in money, and
(iii) the transferee issuer deals with the money in a manner that is contrary to the manner in which locked-in money must be dealt with under the Act,
the administrator must pay to the transferee issuer, in accordance with the requirements of the Act and this regulation relating to transfers of money from pension plans, an amount equal to the amount dealt with in the manner referred to in subparagraph (iii).
(4) If money is paid to a transferee issuer under subsection (2) or (3) (b), the transferee issuer must ensure that that money is deposited into a life income fund for the benefit of the owner of the life income fund from which the improper payment or transfer was made.
125 (1) If a member owner of a life income fund dies and the member owner is survived by a spouse, the life income fund issuer must pay, as a lump-sum payment, the money in the life income fund to the surviving spouse, unless subsection (2) applies.
(2) If a member owner of a life income fund dies and
(a) the member owner is not survived by a spouse, or
(b) the member owner is survived by a spouse and one of the following has been provided to the life income fund issuer:
(i) a waiver in Form 4 of Schedule 3 signed by the spouse before the member owner's death in the presence of a witness and outside the presence of the member owner;
(ii) confirmation, in a form and manner satisfactory to the life income fund issuer, that section 145 of the Family Law Act applies,
the life income fund issuer must pay, as a lump-sum payment, the money in the life income fund to the member owner's designated beneficiary or, if there is no living designated beneficiary, to the personal representative of the deceased member owner's estate.
(3) If a spouse owner of a life income fund dies, the life income fund issuer must pay as a lump-sum payment, the money in the life income fund
(a) to the spouse owner's designated beneficiary, or
(b) if there is no living designated beneficiary, to the personal representative of the spouse owner's estate.
[am. B.C. Reg. 64/2021, s. 2.]
126 (1) For the purposes of section 69 (2) of the Act as it applies to a life income fund, a life income fund contract must provide that the owner of the life income fund is entitled to the lump-sum amount referred to in section 69 (2) if
(a) the owner makes application to the life income fund issuer for the lump-sum amount, and
(b) on the date of the application,
(i) the balance of the life income fund does not exceed 20% of the Year's Maximum Pensionable Earnings for the calendar year in which the application is made, or
(ii) both of the following apply:
(A) the owner is at least 65 years of age;
(B) the balance of the life income fund does not exceed 40% of the Year's Maximum Pensionable Earnings for the calendar year in which the application is made.
(2) Money in a life income fund that is not eligible for the payment option referred to in subsection (1) must not be transferred to 2 or more locked-in vehicles, pension plans or annuities, or any combination of them, if that transfer would make any one or more of them eligible for a payment option referred to in subsection (1) or section 69 (1) or (2) of the Act.
127 For the purposes of section 69 (4) (a) of the Act as it applies to a life income fund, a life income fund contract must provide that the owner of the life income fund is entitled to the payment or series of payments referred to in that paragraph if the owner makes application to the life income fund issuer.
128 For the purposes of section 69 (4) (b) of the Act as it applies to a life income fund, a life income fund contract must provide that the owner of the life income fund is entitled to the lump sum referred to in that provision if
(a) the owner makes application to the life income fund issuer, and
(b) the owner provides a statement signed by the owner that the owner has been absent from Canada for 2 or more years.
129 (1) An owner wishing to make a withdrawal under section 69 (4) (c) of the Act must, in accordance with this section, apply for that withdrawal to the life income fund issuer.
(2) Only one application for a withdrawal under subsection (1), for each of the grounds listed in subsection (4), may be made in any calendar year in respect of each life income fund.
(3) An application under subsection (1) must be
(a) made in the form and manner required by the superintendent.
(b) signed by the owner not more than 90 days before the date of the application.
(4) For the purposes of section 69 (4) (c) of the Act, an owner seeking to make a withdrawal under that provision is suffering financial hardship if
(a) the owner's expected total income for the one-year period following the date on which the application for the withdrawal is signed, from all sources other than the withdrawal amount is not more than 66 2/3% of the Year's Maximum Pensionable Earnings for the calendar year in which the application is signed,
(b) the owner is not, without the withdrawal, able to pay for medical expenses incurred or to be incurred by the owner or by the owner's spouse or by a dependant of either, and those medical expenses are not paid by, and are not subject to reimbursement from, any other source,
(c) the owner or the owner's spouse has received a written demand in respect of arrears in the payment of rent for the owner's or spouse's principal residence, and the owner or spouse is facing eviction if the arrears remain unpaid,
(d) the owner or the owner's spouse has received a written demand in respect of default on a mortgage that is secured against the owner's or spouse's principal residence, and the owner or spouse is facing foreclosure if the default is not rectified, or
(e) the owner requires the withdrawal to be able to pay the first month's rent, security deposit or pet damage deposit required to be paid to obtain a principal residence for the owner or the owner's spouse.
(5) An owner referred to in subsection (4) of this section must not withdraw under section 69 (4) (c) of the Act in an application an amount that is more than the total of
(a) whichever of the following applies to the owner:
(i) for an owner referred to in subsection (4) (a), the amount determined by subtracting 75% of the expected total income amount referred to in subsection (4) (b) from 50% of the Year's Maximum Pensionable Earnings for the calendar year in which the application for the withdrawal is signed;
(ii) for an owner referred to in subsection (4) (b), the amount required to pay the required medical expenses incurred or to be incurred in the one-year period following the date on which the application for the withdrawal was signed;
(iii) for an owner referred to in subsection (4) (c), the amount required to pay the arrears;
(iv) for an owner referred to in subsection (4) (d), the amount required to rectify the default;
(v) for an owner referred to in subsection (4) (e), the amount required to pay the first month's rent, security deposit or pet damage deposit, and
(b) the tax payable on the withdrawal.
(6) If an owner is seeking a withdrawal under section 69 (4) (c) of the Act on the basis of financial hardship within the meaning of subsection (4) (a) of this section, the owner seeking the withdrawal must include in the application for the withdrawal a statement, signed by the owner, setting out the amount of the owner's expected total income from all sources, before taxes, for the 12 months after the date on which the application is signed.
(7) If an owner is seeking a withdrawal under section 69 (4) (c) of the Act on the basis of financial hardship within the meaning of subsection (4) (b) of this section, the following conditions must be met:
(a) a medical practitioner certifies that the medical treatment for which the withdrawal is sought is required by the person for whom the expense was incurred or is to be incurred;
(b) the owner seeking the withdrawal includes in the application for the withdrawal
(i) the medical certificate referred to in paragraph (a), and
(ii) a copy of receipts for, or an estimate of the amount of, the medical expenses being claimed.
(8) If an owner is seeking a withdrawal under section 69 (4) (c) of the Act on the basis of financial hardship within the meaning of subsection (4) (c) of this section, the owner seeking the withdrawal must include in the application for the withdrawal a copy of the written demand referred to in subsection (4) (c).
(9) If an owner is seeking a withdrawal under section 69 (4) (c) of the Act on the basis of financial hardship within the meaning of subsection (4) (d) of this section, the owner seeking the withdrawal must include in the application for the withdrawal a copy of the written demand referred to in subsection (4) (d).
(10) If an owner is seeking a withdrawal under section 69 (4) (c) of the Act on the basis of financial hardship within the meaning of subsection (4) (e) of this section, the owner seeking the withdrawal must include in the application for the withdrawal a copy of the rental agreement, if any.
(11) A record submitted for the purposes of subsection (7) (b), (8), (9) or (10) must be signed not more than 12 months before the date of the application referred to in subsection (1).
[am. B.C. Reg. 64/2021, s. 3.]
130 If a member owner who is eligible to make a withdrawal under section 69 (4) of the Act and section 127, 128 or 129 of this regulation, as the case may be, has a spouse, the member owner must not make the withdrawal unless one of the following has been provided to the life income fund issuer:
(a) a waiver in Form 1 of Schedule 3 signed by the spouse in the presence of a witness and outside the presence of the member owner not more than 90 days before the date of the application under section 127, 128 (a) or 129 (1) of this regulation, as the case may be;
(b) confirmation, in a form and manner satisfactory to the life income fund issuer, that section 145 of the Family Law Act applies.
[am. B.C. Reg. 9/2016, s. 7.]
Part 10 — Termination and Winding-Up of Plan
131 A responsible person must provide a copy of the notice referred to in section 97 (2) (a) of the Act to the following:
(c) if a member who is entitled to a benefit is deceased, to whomever of the following is entitled to receive the benefit:
(i) the surviving spouse of the deceased member;
(ii) the person who is, in relation to the benefit, the designated beneficiary,
or, if no person referred to in subparagraph (i) or (ii) is entitled to the benefit, the personal representative of the deceased member's estate;
132 (1) A participating employer of a pension plan to which section 101 of the Act applies
(a) that is insolvent on the effective date of the termination of the plan must make a payment into the plan sufficient to eliminate the solvency deficiency referred to in that section, or
(b) that becomes insolvent after the effective date of the termination of the plan must, on becoming insolvent, make a payment into the plan sufficient to eliminate the solvency deficiency referred to in that section.
(2) Subject to subsection (1) (b), a participating employer of a pension plan to which section 101 of the Act applies that is not insolvent on the effective date of the termination of the plan must eliminate the solvency deficiency referred to in that section by paying into the plan a series of equal payments made at least monthly, which series of payments must be sufficient to amortize the solvency deficiency within 5 years after the effective date of the termination of the plan.
133 (1) A termination report must be prepared by the following:
(a) subject to paragraph (c), to the extent that the report relates to a benefit formula component of the plan, by a Fellow of the Canadian Institute of Actuaries;
(b) to the extent that the report relates to a defined contribution component of the plan, by a Fellow of the Canadian Institute of Actuaries or by
(i) a representative of the fundholder who is authorized by the fundholder to prepare that portion of the report,
(ii) the administrator of the plan, or
(iii) any person acceptable to the superintendent;
(c) if the plan is a fully insured plan that is underwritten by an insurance company through a group annuity contract and the plan text document of the plan does not require members to make any contributions to the plan, by a Fellow of the Canadian Institute of Actuaries or by a person who is authorized by the insurance company to prepare the report.
(2) A termination report must be filed,
(a) if the plan text document of the plan does not contain a benefit formula provision, within 60 days after the effective date of the termination of the plan, or
(b) if the plan text document of the plan contains one or more benefit formula provisions, within 120 days after the effective date of the termination of the plan.
(3) The administrator of a pension plan a participating employer of which becomes insolvent after the effective date of the termination of the plan, and to which section 132 (1) (b) applies, must, within 120 days of the insolvency of the participating employer, file a termination report.
(4) The administrator of a pension plan a participating employer of which is required to make payments under section 132 (2) must, within 120 days of the earlier of the following, file a termination report that demonstrates the elimination of the solvency deficiency as at that earlier date:
(a) the first date as at which the plan no longer has a solvency deficiency;
(b) the fifth anniversary of the effective date of the termination of the plan.
(5) A record required by the superintendent under section 102 (b) of the Act must be filed within the period specified by the superintendent in relation to the record.
134 For the purposes of section 105 of the Act, as part of the winding-up of a pension plan, a person who is receiving a pension may elect a transfer under Division 7 of Part 8 of the Act if
(a) the superintendent consents, in writing, to the transfer, and
(b) one of the following circumstances applies:
(i) the plan is not a jointly sponsored plan, a defined benefit component of the plan has a solvency deficiency and the participating employer responsible for funding that solvency deficiency is insolvent;
(ii) the administrator of the plan is not reasonably able to purchase an annuity that provides payments to the person in the same amount and form that the person is receiving from the plan;
(iii) the plan is a negotiated cost plan or a jointly sponsored plan and, at the effective date of the termination of the plan, the assets of the plan are not sufficient to pay all benefits;
(iv) the plan text document contains a target benefit provision and, at the effective date of the termination of the plan, the assets of the target benefit component are not sufficient to pay all benefits;
(v) the person is receiving life income type benefits from a defined contribution component of the plan.
135 (1) If, at the time that the assets of a benefit formula component of a pension plan are to be distributed as a result of the winding-up of the plan, the assets of the benefit formula component are not sufficient to pay all benefits,
(a) the assets of a defined benefit component must be allocated and distributed in accordance with subsections (2) to (8) if, on the effective date of the termination of the plan, the defined benefit component of the plan has a solvency deficiency and special payments are required to be made under section 132 (2),
(b) the assets of a defined benefit component must be allocated and distributed in accordance with subsections (9) to (11) if, on the effective date of the termination of the plan, the defined benefit component of the plan has a solvency deficiency and one of the following applies:
(i) a payment is required to be made under section 132 (1) (a);
(ii) the plan is a jointly sponsored plan or a negotiated cost plan, and
(c) the assets of a target benefit component must be allocated and distributed in accordance with subsections (12) and (13).
(2) Assets of the defined benefit component must be allocated to each person who is entitled to receive benefits out of the defined benefit component so that there is allocated to each of those persons an amount equal to the product of the commuted value of the benefit from the defined benefit component to which the person is entitled and the solvency ratio of the defined benefit component, both calculated as at the effective date of the termination of the plan.
(3) The assets of the defined benefit component allocated under subsection (2), other than assets allocated to persons who are receiving a pension, must be distributed as allocated.
(a) persons who are receiving a pension from the defined benefit component, or
(b) active or deferred members or surviving spouses of deceased active or deferred members who elect to receive a pension from the defined benefit component with a pension commencement date that is the effective date of the termination of the plan,
must be paid from the defined benefit component until the solvency deficiency has been eliminated or the employer becomes insolvent, whichever comes first.
(5) If pensions are being paid under subsection (4), the participating employer must remit a monthly contribution to the administrator or fundholder, as required by section 56 (1) of the Act, the amount of which is sufficient to ensure that the payment of pensions does not materially impair the solvency of the defined benefit component.
(6) Promptly after the elimination of the solvency deficiency of the defined benefit component, the balance of the commuted value of the benefit from the defined benefit component to which a person is entitled, calculated as at the effective date of the termination of the plan, plus interest calculated under section 69 (5), must be paid to the person.
(7) Subject to section 134 (b) (ii), promptly after the elimination of the solvency deficiency of the defined benefit component, if the plan text document requires that, on wind-up of the plan, annuities are to be purchased for persons who are receiving a pension, the administrator must purchase for each of the persons referred to in subsection (4) (a) and (b) an annuity that provides payments to the person in the same amount and form as the pension that the person is receiving from the plan.
(a) some but not all of the special payments required under section 132 (2) are made as a result of a participating employer's insolvency after the effective date of the termination of the plan, and
(b) on the date of the participating employer's insolvency the assets of the defined benefit component are not sufficient to pay all the benefits of that component,
the amount of the special payments that have been made must be allocated proportionately to each person entitled to benefits from the defined benefit component and distributed as allocated.
(9) The assets of a defined benefit component must be allocated to each person who is entitled to receive benefits from the defined benefit component in accordance with the following:
(a) in the case of a defined benefit component of a pension plan, other than a jointly sponsored plan, for which a payment is required to be made under section 132 (1) (a), there must be allocated to each of those persons whichever of the following benefits to which the person is entitled:
(i) any benefit formula member-required contributions balance;
(ii) the balance of any transferred contributions account;
(iii) the balance of any additional voluntary contributions account;
(iv) the balance of any optional ancillary contributions account;
(b) in the case of a defined benefit component of a jointly sponsored plan, there must be allocated to each of those persons whichever of the following benefits to which the person is entitled:
(i) the balance of any transferred contributions account;
(ii) the balance of any additional voluntary contributions account;
(iii) the balance of any optional ancillary contributions account;
(c) if the defined benefit component has no unfunded liability as at the effective date of the termination of the plan, assets unallocated under paragraph (a) or (b) must be allocated to each of those persons;
(d) if the defined benefit component has an unfunded liability as at the effective date of the termination of the plan, assets unallocated under paragraph (a) or (b) must be allocated to each of those persons;
(e) if under paragraph (c) or (d) there are insufficient unallocated assets to fully provide for the benefits referred to in paragraph (a) or (b), the unallocated assets must be allocated proportionately among the persons referred to in that paragraph.
(10) For the purposes of subsection (9) (d), if all or part of the unfunded liability is the result of a benefit improvement, the benefits that led to the establishment of the unfunded liability must be reduced in proportion to the extent to which those benefits remain unfunded on a going concern basis on the effective date of the termination of the plan.
(11) Promptly after the allocation under subsection (9) is completed, the assets must be distributed as allocated.
(12) Assets of the target benefit component must be allocated to each person who is entitled to receive benefits out of the target benefit component in accordance with the following:
(a) there must be allocated to each of those persons whichever of the following benefits to which the person is entitled:
(i) the balance of any transferred contributions account;
(ii) the balance of any additional voluntary contributions account;
(b) after an allocation under paragraph (a), the balance of the assets in the target benefit component must be allocated so that each person entitled to a benefit other than a benefit under paragraph (a) from that target benefit component is allocated the product of
(i) the commuted value of that benefit, and
(ii) the target benefit funded ratio, as set out in the termination report.
(13) Promptly after the allocation under subsection (12) is completed, the assets must be distributed as allocated.
[am. B.C. Regs. 264/2019, s. 19; 196/2022, s. 19.]
Part 11 — Monitoring and Enforcement
136 (1) The provisions of the Act set out in Column 1 of Table 1 of Schedule 4 are prescribed for the purposes of section 116 (1) (a) of the Act.
(2) The provisions of this regulation set out in Column 1 of Table 2 of Schedule 4 are prescribed for the purposes of section 116 (1) (b) of the Act.
(3) A person who contravenes a provision set out in Column 1 of Table 1 or Table 2 of Schedule 4 is liable to an administrative penalty not exceeding the monetary amount in Column 2 of Table 1 or 2 set out opposite that provision, as applicable to the person.
(4) A person who commits a contravention of the Act set out in Column 1 of Table 3 of Schedule 4 is liable to an administrative penalty not exceeding the monetary amount in Column 2 set out opposite that contravention, as applicable to the person.
137 (1) Subject to subsection (3), for the purposes of section 118 (3) of the Act, the matters referred to in subsection (2) of this section are prescribed.
(2) Subject to subsection (3), the maximum amounts that the superintendent may order as expenses for the following matters are as follows:
(a) $150 per hour for each employee or officer engaged in ancillary, administrative matters related to an inspection, comprising remuneration for the employee or officer and overhead expenses;
(b) $500 per hour for each authorized person carrying out an inspection;
(c) $250 per hour for legal services provided to the superintendent in respect of an inspection or reconsideration;
(d) the amount of the disbursements, for disbursements billed to the superintendent and paid for by the superintendent in connection with the provision of legal services referred to in paragraph (c);
(e) $250 per hour for the time spent by the superintendent conducting a reconsideration hearing, comprising remuneration for the superintendent and overhead expenses.
(3) The matters prescribed in subsection (2) are prescribed only in respect of the following circumstances:
(a) an inspection is performed and, as a result of the inspection, an action is taken under section 113 (1), (2) or (3) of the Act or an administrative penalty is imposed, and no notice of objection is served on the superintendent within the time required by section 126 (1) of the Act;
(b) an inspection is performed and, as a result of the inspection, an action is taken under section 113 (1), (2) or (3) of the Act or an administrative penalty is imposed, a notice of objection is served on the superintendent within the time required by section 126 (1) of the Act and on reconsideration, the superintendent does not rescind the decision to take the action or impose the penalty.
138 (1) Subject to subsection (2), the following fees are payable for the filing of an application for registration of a pension plan or for the filing of a return:
(a) for the filing of an application for registration of a pension plan under section 13 of the Act,
(i) $8.35 for each person who is an active member of the plan at the time of filing, and
(ii) $7.30 for each deferred or retired member of the plan at the time of filing;
(b) for the filing of a return under section 38 (1) (a) of the Act,
(i) $8.35 for each person who was an active member of the plan at the end of the fiscal year of the plan, and
(ii) $7.30 for each deferred or retired member of the plan at the end of the fiscal year of the plan.
(2) Despite the number of active members, deferred members and retired members in a plan, the fee payable under each of subsection (1) (a) and (b) must be no less than $250 and no more than $85 000.
(a) under subsection (1) (a) must be paid within the period for the filing of an application for registration of a pension plan, as set out in section 16, or
(b) under subsection (1) (b) must be paid within the period for the filing of an annual information return, as set out in section 44 (2), (4) and (7).
[am. B.C. Reg. 260/2019, App. 2.]
139 (1) Any statement, information or notice that must or may be provided to a person under the Act may, without limiting any other effective mode of service or delivery, be sent by ordinary mail to the last known postal address of the person.
(2) If a statement, information or a notice is returned because the intended recipient is not at the intended recipient's last known postal address, the requirement under the Act that an administrator provide the statement, information or notice does not apply to that intended recipient unless a subsequent written request is received for the statement, information or notice.
[am. B.C. Reg. 64/2021, s. 3.]
140 (1) In this section, "existing pension plan" means a pension plan that is registered under the Pension Benefits Standards Act, R.S.B.C. 1996, c. 352, immediately before the date on which this subsection comes into force.
(2) This section applies in respect of an existing pension plan despite the coming into force of sections 34, 36, 41, 42, 44 and 48 of the Act and those sections are disapplied for the purposes and the period and to the extent contemplated by this section.
(3) Section 34 of the Act does not apply to a person referred to in that section in respect of records relating to an existing pension plan until the first day of the fiscal year of the plan immediately following the fiscal year of the plan during which section 34 of the Act comes into force.
(4) On or before the first day of the fiscal year of an existing pension plan immediately following the fiscal year of the plan during which sections 36 and 48 of the Act come into force,
(a) the administrator of a non-collectively bargained multi-employer plan must enter into a written participation agreement in accordance with section 36 (1) of the Act, and
(b) a participating employer in a non-collectively bargained multi-employer plan must enter into a written participation agreement with the administrator that complies with section 36 (1) of the Act.
(5) For the purposes of section 41 of the Act, the administrator of an existing pension plan must assess the administration of the plan as follows:
(a) for the first time under section 41 of the Act, on or before the last day of the fiscal year of the plan immediately following the fiscal year of the plan during which section 41 of the Act comes into force;
(b) after that, in accordance with section 49 (b) of this regulation.
(6) On or before the first day of the fiscal year of an existing pension plan immediately following the fiscal year of the plan during which section 42 of the Act comes into force, the administrator of the plan must ensure that the governance policy referred to in that section is established in accordance with section 42 (1) of the Act.
(7) On or before the first day of the fiscal year of an existing pension plan, the plan text document of which contains a benefit formula provision, immediately following the fiscal year of the plan during which section 44 of the Act comes into force, the administrator of the plan must ensure that a written funding policy is established in accordance with section 44 (a) of the Act.
141 (1) In this section and section 142, "former Act" means the Pension Benefits Standards Act, R.S.B.C. 1996, c. 352, as it read immediately before its repeal.
(2) Reports, returns and documents filed under sections 9 (3) (a) (i) to (iii) and (b) and (7), 14 (2) (a) (ii), (iii) and (v) and 15 (1) (b) and (2) of the former Act are deemed to have been filed under the Act.
(3) If, on the coming into force of this section, an application for registration of a pension plan or for an amendment to a plan text document of a pension plan has been filed under the former Act, but is not yet registered, the Act applies with respect to registration of the plan or amendment.
(4) If, on the coming into force of this section, a report in respect of a pension plan has been filed under section 54 (3) of the former Act and has been approved by the superintendent under section 55 (1) of the former Act, the former Act applies with respect to the termination and wind-up of the plan.
(5) For the purposes of subsection (4), sections 100, 101, 104, 105, 106 and 109 of the Act are disapplied in respect of a plan referred to in subsection (4).
"former regulation" means the Pension Benefits Standards Regulation, B.C. Reg. 433/93, as it read immediately before its repeal;
"MENC plan" means a defined benefit multi-employer negotiated cost plan;
"Schedule" means Schedule 1.1 to the former regulation.
(2) Despite the repeal of the Schedule, a consent given by the superintendent under section 2 of the Schedule to a suspension of payments in respect of a MENC plan and the Schedule in respect of that consent, continue to apply in accordance with the provisions of the Schedule and subsection (4) of this section as follows:
(a) if the suspension has not ended or been cancelled and the conditions and requirements of the Schedule have not been met before the date this section comes into force;
(b) subject to subsection (3), until the effective date of any amendment to the plan text document of the MENC plan under section 20 (2) (d) of the Act to convert the defined benefit provision of the plan to a target benefit provision.
(3) Subsection (2) (b) applies in respect of an amendment referred to in subsection (2) (b) only in the following circumstances:
(a) the effective date of the amendment is December 31, 2017 or earlier;
(b) the superintendent registers the amendment on or before December 31, 2017;
(c) the registration of the amendment is not revoked by the superintendent or, if revoked, the revocation is rescinded on reconsideration, appeal or judicial review.
(4) If the registration of an amendment referred to in subsection (2) (b) is revoked and
(a) a notice of objection concerning the revocation is served on the superintendent under section 126 of the Act, or
(b) an appeal of a reconsideration by the superintendent confirming the revocation is made to the tribunal under section 127 of the Act,
the suspension period referred to in the Schedule is extended until the date on which the revocation is rescinded or confirmed by the superintendent or the tribunal, as the case may be.
(5) For the purposes of subsection (2), on the coming into force of this section, a reference in the Schedule to
(a) section 41 of the former Act must be read as a reference to sections 45 and 52 of the Act,
(b) section 59 (3) of the former Act must be read as a reference to section 20 (2) of the Act,
(c) section 3.1 of the former regulation must be read as a reference to section 6 of the Act,
(d) section 35 of the former regulation must be read as a reference to section 57 of this regulation, and
(e) section 35 (3) (c) of the former regulation must be read as a reference to section 57 (2) (c) of this regulation.
(6) If the plan text document of a MENC plan is amended under section 20 (2) (d) of the Act in the circumstances referred to in subsection (3) of this section to convert the defined benefit provision of the MENC plan to a target benefit provision, and in accordance with this section, the Schedule no longer applies, a participating employer in respect of whom a consent to a suspension of the requirement to make payments was given by the superintendent under section 2 of the Schedule is exempt from the requirement to make the payments.
(7) For the purposes of subsection (6) as it applies to payments that are the subject of a suspension under the Schedule before the repeal of the former Act, section 133 (2) (p) of the Act is varied to refer to "the Pension Benefits Standards Act, R.S.B.C. 1996, c. 352 or the regulations under that Act" instead of "this Act or the regulations".
[am. B.C. Reg. 264/2019, s. 20.]
143 (1) The following provisions, as they read on December 30, 2019, apply in respect of a pension plan until the end of the day before the first review date of the plan on or after December 31, 2019:
(a) in section 1 (1), the definitions of "actuarial gain", "participating employer's accessible going concern excess", "PfAD", "plan's accessible going concern excess" and "solvency asset adjustment";
(f) section 57 (2) to (9) and (12);
(j) section 135 (9) (d) and (10).
(2) Sections 1.1 and 58 (0.1) do not apply in respect of a pension plan until the first review date of the plan on or after December 31, 2019.
[en. B.C. Reg. 264/2019, s. 21.]
144 (1) The following provisions, as they read on December 30, 2022, apply in respect of a pension plan until the end of the day before the first review date of the plan on or after December 31, 2022:
(2) The following provisions do not apply in respect of a pension plan until the first review date of the plan on or after December 31, 2022:
(a) in section 1 (1), the definition of "supplementary percentage";
[en. B.C. Reg. 196/2022, s. 20.]
[am. B.C. Regs. 9/2016, s. 8; 64/2021, s. 2.]
(section 99)
Pension Benefits Standards Regulation Locked-In Retirement Account Addendum
Part 1 — Definitions and Interpretation
1 (1) Subject to subsection (3), the following terms, used in this addendum, have the meanings given to them below, except where the context otherwise requires:
"Act" means the Pension Benefits Standards Act, S.B.C. 2012, c. 30;
"annuity" means a non-commutable life annuity contract that is issued or issuable by an insurance company to provide, on a deferred or immediate basis, a series of periodic payments for the life of the annuity holder or for the lives jointly of the annuity holder and the annuity holder's spouse;
"designated beneficiary" has the same meaning as in the Wills, Estates and Succession Act;
"locked-in money" means
(a) money the withdrawal, surrender or receipt of which is restricted under section 68 of the Act,
(b) money to which paragraph (a) applies that has been transferred out of a pension plan
(i) to this locked-in retirement account or any other locked-in retirement account or life income fund, and any interest on that money, or
(ii) to an insurance company to purchase an annuity that is permitted under the Act,
(c) money in this locked-in retirement account that was deposited into the locked-in retirement account under section 105 (1) of the Regulation or paid to the locked-in retirement account issuer under section 105 (2) or (3) (b) of the Regulation, and
(d) money in a life income fund that was deposited into the life income fund under section 124 (1) of the Regulation or paid to the life income fund issuer under section 124 (2) or (3) (b) of the Regulation;
"locked-in retirement account issuer" means the issuer of this locked-in retirement account;
"member owner" means the owner of this locked-in retirement account if
(a) the owner was a member of a pension plan, and
(b) this locked-in retirement account contains locked-in money from that plan;
"owner", in relation to this locked-in retirement account, means
(a) the member owner of this locked-in retirement account, or
(b) the spouse owner of this locked-in retirement account;
"Regulation" means the Pension Benefits Standards Regulation enacted under the Pension Benefits Standards Act, S.B.C. 2012, c. 30;
"spouse" means a person who is a spouse within the meaning of subsection (2);
"spouse owner" means the owner of this locked-in retirement account if this locked-in retirement account contains locked-in money from a pension plan and the owner is
(a) the spouse or former spouse of a member of the pension plan or member owner whose entitlement to the locked-in money in this locked-in retirement account arose by virtue of a breakdown of the marriage or marriage-like relationship between the owner and the member or member owner, or
(b) the surviving spouse of a deceased member of the pension plan or member owner whose entitlement to the locked-in money in this locked-in retirement account arose by virtue of the death of the member or member owner;
"this locked-in retirement account" means the locked-in retirement account to which this addendum applies.
(2) Persons are spouses for the purposes of this addendum on any date on which one of the following applies:
(i) are married to each other, and
(ii) have not been living separate and apart from each other for a continuous period longer than 2 years;
(b) they have been living with each other in a marriage-like relationship for a period of at least 2 years immediately preceding the date.
(3) Terms used in this addendum that are not defined in subsection (1) but are defined in the Act or the Regulation have the meanings given to them in the Act or the Regulation.
Part 2 — Transfers in and Transfers and Payments out of Locked-In Retirement Account
2 The only money that may be deposited in this locked-in retirement account is
(a) locked-in money transferred from a pension plan if
(i) this locked-in retirement account is owned by a member owner, or
(ii) this locked-in retirement account is owned by a spouse owner, or
(b) money deposited by the locked-in retirement account issuer under section 105 (1) of the Regulation or paid to the locked-in retirement account issuer for deposit to this locked-in retirement account under section 105 (2) or (3) (b) of the Regulation.
3 (1) Money in this locked-in retirement account, including investment earnings, is for use in the provision of retirement income.
(2) Despite subsection (1), money may be paid or transferred from this locked-in retirement account in the following circumstances:
(a) by way of a transfer to another locked-in retirement account on the applicable conditions set out in this addendum;
(b) by way of a transfer to purchase an annuity in accordance with section 6 (3);
(c) by way of a transfer to a pension plan if the plan text document of the plan allows the transfer;
(d) by way of a transfer to a life income fund in accordance with Division 3 of Part 9 of the Regulation;
(e) in accordance with Part 4 of this addendum.
(3) Without limiting subsections (1) and (2) of this section and in accordance with section 70 of the Act, money in this locked-in retirement account must not be assigned, charged, alienated or anticipated and is exempt from execution, seizure or attachment.
(4) The locked-in retirement account issuer must comply with any applicable requirements of the Act and the Regulation before allowing a payment or transfer of any of the money in this locked-in retirement account.
4 If the locked-in retirement account issuer pays or transfers money from this locked-in retirement account contrary to the Act or the Regulation,
(a) subject to paragraph (b), the locked-in retirement account issuer must,
(i) if less than all of the money in this locked-in retirement account is improperly paid or transferred, deposit into this locked-in retirement account an amount of money equal to the amount of money that was improperly paid or transferred, or
(ii) if all of the money in this locked-in retirement account is improperly paid or transferred, establish a new locked-in retirement account for the owner and deposit into that new locked-in retirement account an amount of money equal to the amount of money that was improperly paid or transferred, or
(i) the money is transferred out of this locked-in retirement account to an issuer (the "transferee issuer") that is authorized under the Regulation to issue locked-in retirement accounts,
(ii) the transfer is contrary to the Act or the Regulation in that the locked-in retirement account issuer failed to advise the transferee issuer that the money is locked-in money, and
(iii) the transferee issuer deals with the money in a manner that is contrary to the manner in which locked-in money must be dealt with under the Act or the Regulation,
the locked-in retirement account issuer must pay to the transferee issuer, in accordance with the requirements of the Act and the Regulation relating to transfers of locked-in money, an amount equal to the amount dealt with in the manner referred to in subparagraph (iii).
5 (1) If this locked-in retirement account holds identifiable and transferable securities, the transfers referred to in this Part may, unless otherwise stipulated in the contract to which this is an addendum, be made, at the option of the locked-in retirement account issuer and with the consent of the owner, by the transfer of those securities.
(2) There may be transferred to this locked-in retirement account identifiable and transferable securities, unless otherwise stipulated in the contract to which this is an addendum, if that transfer is approved by the locked-in retirement account issuer and consented to by the owner.
6 (1) Subject to subsections (2) and (3), this locked-in retirement account may be converted to a life income fund or annuity any time after the owner of the locked-in retirement account reaches 50 years of age, and must be converted to retirement income on or before the last date on which a person is allowed under the Income Tax Act (Canada) to start receiving a pension from a registered pension plan.
(2) The money in this locked-in retirement account must not be transferred to a life income fund unless
(a) the member owner or spouse owner, within the meaning of paragraph (a) of the definition of "spouse owner", as the case may be, is at least 50 years of age, and
(b) if the owner is a member owner and the member owner has a spouse, one of the following has been provided to the locked-in retirement account issuer:
(i) a consent in Form 3 of Schedule 3 of the Regulation signed by the spouse in the presence of a witness and outside the presence of the member owner not more than 90 days before the date of the transfer;
(ii) confirmation, in a form and manner satisfactory to the locked-in retirement account issuer, that section 145 of the Family Law Act applies.
(3) The money in this locked-in retirement account must not be transferred to an insurance company to purchase an annuity unless
(a) payments under the annuity do not begin until the member owner or spouse owner, within the meaning of paragraph (a) of the definition of "spouse owner", as the case may be, has reached 50 years of age,
(b) payments under the annuity begin on or before the last date on which a person is allowed under the Income Tax Act (Canada) to start receiving a pension from a registered pension plan,
(c) there is no differentiation among the annuitants on the basis of gender, and
(d) if the owner is a member owner who has a spouse,
(i) the annuity is in the form of a joint and survivor pension referred to in section 80 (2) of the Act, or
(ii) one of the following has been provided to the locked-in retirement account issuer:
(A) a waiver in Form 2 (Waiver A) of Schedule 3 of the Regulation signed by the spouse in the presence of a witness and outside the presence of the member not more than 90 days before the date that payments are to begin;
(B) confirmation, in a form and manner satisfactory to the locked-in retirement account issuer, that section 145 of the Family Law Act applies.
(4) A transfer under subsection (2) or (3) must be made within 60 days after the receipt by the locked-in retirement account issuer of all records that are necessary for the issuer to make the transfer.
Part 3 — Death of Owner
7 (1) Subject to subsection (2), if this locked-in retirement account is owned by a member owner who has died and the member owner is survived by a spouse, the locked-in retirement account issuer must transfer the money in the locked-in retirement account to whichever of the following the surviving spouse elects:
(a) a pension plan, if the plan text document of the plan allows the transfer;
(b) another locked-in retirement account;
(d) an insurance company to purchase an annuity in accordance with section 6 (3) of this addendum.
(2) If this locked-in retirement account is owned by a member owner who has died and
(a) the member owner is not survived by a spouse, or
(b) the member owner is survived by a spouse and one of the following has been provided to the locked-in retirement account issuer:
(i) a waiver in Form 4 of Schedule 3 of the Regulation signed by the spouse before the member owner's death in the presence of a witness and outside the presence of the member owner;
(ii) confirmation, in a form and manner satisfactory to the locked-in retirement account issuer, that section 145 of the Family Law Act applies,
the locked-in retirement account issuer must pay the money in this locked-in retirement account to the member owner's designated beneficiary or, if there is no living designated beneficiary, to the personal representative of the member owner's estate.
(3) If a waiver or confirmation has been provided under subsection (2) (b) to the locked-in retirement account issuer, the surviving spouse is not entitled to receive money from this locked-in retirement account under subsection (2) (b) (i) as the member owner's designated beneficiary.
(4) A transfer under subsection (1) or a payment under subsection (2) must be made within 60 days after the receipt by the locked-in retirement account issuer of all records that are necessary for the issuer to make the transfer or payment.
8 (1) If this locked-in retirement account is owned by a spouse owner who has died, the locked-in retirement account issuer must pay the money in this locked-in retirement account to the spouse owner's designated beneficiary or, if there is no living designated beneficiary, to the personal representative of the spouse owner's estate.
(2) A payment under subsection (1) must be made within 60 days after the receipt by the locked-in retirement account issuer of all records that are necessary for the issuer to make the payment.
Part 4 — Applications to Unlock All or Part of Locked-In Retirement Account
9 (1) On application by the owner of this locked-in retirement account, the locked-in retirement account issuer will pay to the owner the lump-sum amount referred to in section 69 (2) of the Act and section 107 of the Regulation if, on the date of the application,
(a) the balance of the locked-in retirement account does not exceed 20% of the Year's Maximum Pensionable Earnings (YMPE) under the Canada Pension Plan for the calendar year in which the application is made, or
(b) the owner is at least 65 years of age and the balance of this locked-in retirement account does not exceed 40% of the YMPE for the calendar year in which the application is made.
(2) A payment under subsection (1) must be made within 60 days after the receipt by the locked-in retirement account issuer of all records that are necessary for the issuer to make the payment.
10 If this locked-in retirement account is not eligible for the lump-sum payment option referred to in section 9 of this addendum, money in this locked-in retirement account must not be divided and transferred to 2 or more locked-in retirement accounts, life income funds, pension plans or annuities or any combination of them if that transfer would make the money in any one or more of them eligible for a lump-sum payment option under section 9 of this addendum or section 69 (1) or (2) of the Act.
11 (1) On application by the owner of this locked-in retirement account, the locked-in retirement account issuer will pay to the owner the payment, or series of payments for a fixed term, referred to in section 69 (4) (a) of the Act of all or part of the money held in this locked-in retirement account if
(a) a medical practitioner certifies that the owner has an illness or a disability that is terminal or likely to shorten the owner's life considerably, and
(b) this locked-in retirement account is owned by a member owner and the member owner does not have a spouse, or, if the member owner does have a spouse, one of the following has been provided to the locked-in retirement account issuer:
(i) a waiver in Form 1 of Schedule 3 of the Regulation signed by the spouse in the presence of a witness and outside the presence of the member owner not more than 90 days before the date of the application;
(ii) confirmation, in a form and manner satisfactory to the locked-in retirement account issuer, that section 145 of the Family Law Act applies.
(2) A payment under subsection (1) must be made, or a series of payments under subsection (1) must begin, within 60 days after the receipt by the locked-in retirement account issuer of all records that are necessary for the issuer to make the payment or begin the series of payments.
12 (1) On application by the owner of this locked-in retirement account, the locked-in retirement account issuer will pay to the owner the lump-sum amount referred to in section 69 (4) (b) of the Act and section 109 of the Regulation if
(a) the owner includes in the application
(i) a statement signed by the owner that the owner has been absent from Canada for 2 or more years, and
(ii) written evidence that the Canada Revenue Agency has confirmed that the owner is a non-resident for the purposes of the Income Tax Act (Canada), and
(b) this locked-in retirement account is owned by a member owner and the member owner does not have a spouse, or, if the member owner does have a spouse, one of the following has been provided to the locked-in retirement account issuer:
(i) a waiver in Form 1 of Schedule 3 of the Regulation signed by the spouse in the presence of a witness and outside the presence of the member owner not more than 90 days before the date of the application;
(ii) confirmation, in a form and manner satisfactory to the locked-in retirement account issuer, that section 145 of the Family Law Act applies.
(2) A payment under subsection (1) must be made within 60 days after the receipt by the locked-in retirement account issuer of all records that are necessary for the issuer to make the payment.
13 (1) On application by the owner of this locked-in retirement account in accordance with section 110 of the Regulation, the locked-in retirement account issuer will pay to the owner the lump-sum amount referred to in section 69 (4) (c) of the Act, up to the amount prescribed under section 110 (5) of the Regulation, if
(a) the owner meets the requirements of the financial hardship exception set out in section 110 (4) of the Regulation, and
(b) this locked-in retirement account is owned by a member owner and the member owner does not have a spouse, or, if the member owner does have a spouse, one of the following has been provided to the locked-in retirement account issuer:
(i) a waiver in Form 1 of Schedule 3 of the Regulation signed by the spouse in the presence of a witness and outside the presence of the member owner not more than 90 days before the date of the application;
(ii) confirmation, in a form and manner satisfactory to the locked-in retirement account issuer, that section 145 of the Family Law Act applies.
(2) A payment under subsection (1) must be made within 60 days after the receipt by the locked-in retirement account issuer of all records that are necessary for the issuer to make the payment.
[am. B.C. Regs. 9/2016, s. 9; 64/2021, s. 2.]
(section 116)
Pension Benefits Standards Regulation Life Income Fund Addendum
Part 1 — Definitions and Interpretation
1 (1) Subject to subsection (3), the following terms, used in this addendum, have the meanings given to them below, except where the context otherwise requires:
"Act" means the Pension Benefits Standards Act, S.B.C. 2012, c. 30;
"annuity" means a non-commutable life annuity contract that is issued or issuable by an insurance company to provide, on a deferred or immediate basis, a series of periodic payments for the life of the annuity holder or for the lives jointly of the annuity holder and the annuity holder's spouse;
"designated beneficiary" has the same meaning as in the Wills, Estates and Succession Act;
"life income fund issuer" means the issuer of this life income fund;
"life income fund maximum amount", in relation to the income that may be paid out of a life income fund to an owner in a calendar year, means the greatest of
(a) the investment returns for the most recently completed calendar year for the owner's life income fund,
(b) the minimum amount of income that, under the Income Tax Act (Canada) or the Income Tax Regulations (Canada), is required to be paid out of the owner's life income fund that year, and
(c) the amount determined by dividing the life income fund balance by the withdrawal factor
where
"CANSIM rate", in relation to a period of not more than 12 months for which interest is payable, means the rate of interest on long-term bonds issued by the government of Canada for the month of November preceding the calendar year in relation to which the withdrawal factor is being calculated, determined by reference to the Canadian Socio-Economic Information Management System (CANSIM) Series V122487 compiled by Statistics Canada and available on the website maintained by the Bank of Canada;
"life income fund balance", in relation to a life income fund, means
(a) in the calendar year in which the fund is established, the balance of the owner's life income fund as at the date on which the fund is established, and
(b) in every subsequent calendar year, the balance of the owner's life income fund as at January 1 of the calendar year in which the calculation is made;
"withdrawal factor" means the actuarial present value on January 1 of the calendar year in which the calculation is made of an annuity of $1, payable at the beginning of each calendar year between that date and December 31 of the calendar year during which the owner reaches the age of 90 years, and calculated by using,
(a) for the first 15 calendar years in relation to which the actuarial present value is determined, the greater of the following:
(b) for each calendar year after the first 15 calendar years, 6% per year;
"locked-in money" means
(a) money the withdrawal, surrender or receipt of which is restricted under section 68 of the Act,
(b) money to which paragraph (a) applies that has been transferred out of a pension plan
(i) to one or more locked-in retirement accounts or life income funds, and any interest on that money, or
(ii) to an insurance company to purchase an annuity that is permitted under the Act,
(c) money in a locked-in retirement account that was deposited into the locked-in retirement account under section 105 (1) of the Regulation or paid to the locked-in retirement account issuer under section 105 (2) or (3) (b) of the Regulation, and
(d) money in a life income fund that was deposited into the life income fund under section 124 (1) of the Regulation or paid to the life income fund issuer under section 124 (2) or (3) (b) of the Regulation;
"member owner" means the owner of this life income fund if
(a) the owner was a member of a pension plan, and
(b) this life income fund contains locked-in money from that plan;
"owner", in relation to this life income fund, means
(a) the member owner of this life income fund, or
(b) the spouse owner of this life income fund;
"Regulation" means the Pension Benefits Standards Regulation enacted under the Pension Benefits Standards Act, S.B.C. 2012, c. 30;
"spouse" means a person who is a spouse within the meaning of subsection (2);
"spouse owner" means the owner of this life income fund if this life income fund contains locked-in money from a pension plan and the owner is
(a) the spouse or former spouse of a member of the pension plan or member owner whose entitlement to the locked-in money in this life income fund arose by virtue of a breakdown of the marriage or marriage-like relationship between the owner and the member or member owner, or
(b) the surviving spouse of a deceased member of the pension plan or member owner whose entitlement to the locked-in money in this life income fund arose by virtue of the death of the member or member owner;
"this life income fund" means the life income fund to which this addendum applies.
(2) Persons are spouses for the purposes of this addendum on any date on which one of the following applies:
(i) are married to each other, and
(ii) have not been living separate and apart from each other for a continuous period longer than 2 years;
(b) they have been living with each other in a marriage-like relationship for a period of at least 2 years immediately preceding the date.
(3) Terms used in this addendum that are not defined in subsection (1) but are defined in the Act or the Regulation have the meanings given to them in the Act or the Regulation.
Part 2 — Transfers in and Transfers and Payments out of Life Income Fund
2 (1) Subject to subsection (2), the only money that may be deposited in this life income fund is
(a) locked-in money transferred from a pension plan if
(i) this life income fund is owned by a member owner, or
(ii) this life income fund is owned by a spouse owner, or
(b) money deposited by the life income fund issuer under section 124 (1) of the Regulation or paid to the life income fund issuer for deposit to this life income fund under section 124 (2) or (3) (b) of the Regulation.
(2) The life income fund issuer must not accept a transfer of locked-in money to this life income fund unless
(a) a copy of the consent required by section 103 (2) (c) or confirmation required by section 121 (1) (b) (ii) of the Regulation has been provided to the issuer, and
(b) if the locked-in money is coming from a pension plan by way of a transfer by a member of the plan or from a locked-in retirement account by way of a transfer by the owner of the account, the member or member owner or spouse owner, within the meaning of paragraph (a) of the definition of "spouse owner", is at least 50 years of age.
(3) For the purpose of subsection (2) (a), the spouse's consent or confirmation is valid for each successive transfer of money in this life income fund to another life income fund or a life income type benefits account in a pension plan.
3 (1) The owner of this life income fund must, at the beginning of each calendar year, notify the life income fund issuer in writing of the amount of income that is to be paid out of the life income fund during that year, which amount must accord with subsection (5).
(2) If the owner of this life income fund fails to notify the life income fund issuer in accordance with subsection (1) in any calendar year, the life income fund issuer must, subject to subsection (4), pay to the owner, in that year, the minimum amount of income that, under the Income Tax Act (Canada) or the Income Tax Regulations (Canada), is required to be paid out of the owner's life income fund in that year.
(3) The owner of this life income fund must, at any time that money is transferred to this life income fund, other than from another life income fund or a life income type benefits account in a pension plan, notify the life income fund issuer in writing of the amount of income that is to be paid out of the life income fund during that year, which amount must accord with subsection (5).
(4) The owner of this life income fund may, at any time during a calendar year, change the amount of income that is to be paid out of this life income fund during that year to a different amount that accords with subsection (5).
(5) There must be paid from a life income fund in each calendar year an amount of income that is
(a) not less than the minimum amount of income that, under the Income Tax Act (Canada) or the Income Tax Regulations (Canada), is required to be paid out of the owner's life income fund in that year, and
(b) not more than the life income fund maximum amount applicable to the owner's life income fund for that year.
4 (1) Money in this life income fund, including investment earnings, is for use in the provision of retirement income.
(2) Despite subsection (1), money may be paid or transferred from this life income fund in the following circumstances:
(a) by way of a transfer to another life income fund on the applicable conditions set out in this addendum;
(b) by way of a transfer to a locked-in retirement account;
(c) by way of a transfer to an insurance company to purchase an annuity in accordance with section 7;
(d) by way of a transfer to a pension plan if the plan text document of the plan allows the transfer;
(e) in accordance with Part 4 of this addendum.
(3) Without limiting subsections (1) and (2) of this section and in accordance with section 70 of the Act, money in this life income fund must not be assigned, charged, alienated or anticipated and is exempt from execution, seizure or attachment.
(4) The life income fund issuer must comply with any applicable requirements of the Act and the Regulation before allowing a payment or transfer of any of the money in this life income fund.
5 If the life income fund issuer pays or transfers money from this life income fund contrary to the Act or the Regulation,
(a) subject to paragraph (b), the life income fund issuer must,
(i) if less than all of the money in this life income fund is improperly paid or transferred, deposit into this life income fund an amount of money equal to the amount of money that was improperly paid or transferred, or
(ii) if all of the money in this life income fund is improperly paid or transferred, establish a new life income fund for the owner and deposit into that new life income fund an amount of money equal to the amount of money that was improperly paid or transferred, or
(i) the money is transferred out of this life income fund to an issuer (the "transferee issuer") that is authorized under the Regulation to issue life income funds,
(ii) the transfer is contrary to the Act or the Regulation in that the life income fund issuer failed to advise the transferee issuer that the money is locked-in money, and
(iii) the life income fund issuer deals with the money in a manner that is contrary to the manner in which locked-in money must be dealt with under the Act or the Regulation,
the life income fund issuer must pay to the transferee issuer, in accordance with the requirements of the Act and the Regulation relating to transfers of locked-in money, an amount equal to the amount dealt with in the manner referred to in subparagraph (iii).
6 (1) If this life income fund holds identifiable and transferable securities, the transfers referred to in this Part may, unless otherwise stipulated in the contract to which this is an addendum, be made, at the option of the life income fund issuer and with the consent of the owner, by the transfer of those securities.
(2) There may be transferred to this life income fund identifiable and transferable securities, unless otherwise stipulated in the contract to which this is an addendum, if that transfer is approved by the life income fund issuer and consented to by the owner.
7 (1) The money in this life income fund must not be transferred to an insurance company to purchase an annuity unless
(a) payments under the annuity do not begin until the member owner or spouse owner, within the meaning of paragraph (a) of the definition of "spouse owner", as the case may be, has reached 50 years of age,
(b) payments under the annuity begin on or before the last date on which a person is allowed under the Income Tax Act (Canada) to begin receiving a pension from a registered pension plan,
(c) there is no differentiation among the annuitants on the basis of gender, and
(d) if the owner is a member owner who has a spouse,
(i) the annuity is in the form of a joint and survivor pension referred to in section 80 (2) of the Act, or
(ii) one of the following has been provided to the life income fund issuer:
(A) a waiver in Form 2 (Waiver A) of Schedule 3 of the Regulation signed by the spouse in the presence of a witness and outside the presence of the member not more than 90 days before the date that payments are to begin;
(B) confirmation, in a form and manner satisfactory to the life income fund issuer, that section 145 of the Family Law Act applies.
(2) A transfer under subsection (1) must be made within 60 days after the receipt by the life income fund issuer of all records that are necessary for the issuer to make the transfer.
Part 3 — Death of Owner
8 (1) Subject to subsection (2), if this life income fund is owned by a member owner who has died and the member owner is survived by a spouse, the life income fund issuer must pay the money in this life income fund to the surviving spouse.
(2) If this life income fund is owned by a member owner who has died and
(a) the member owner is not survived by a spouse, or
(b) the member owner is survived by a spouse and one of the following has been provided to the life income fund issuer:
(i) a waiver in Form 4 of Schedule 3 of the Regulation signed by the spouse before the member owner's death in the presence of a witness and outside the presence of the member owner;
(ii) confirmation, in a form and manner satisfactory to the life income fund issuer, that section 145 of the Family Law Act applies,
the life income fund issuer must pay the money in this life income fund to the member owner's designated beneficiary or, if there is no living designated beneficiary, to the personal representative of the member owner's estate.
(3) A payment under subsection (1) or (2) must be made within 60 days after the receipt by the life income fund issuer of all records that are necessary for the issuer to make the payment.
9 (1) If this life income fund is owned by a spouse owner who has died, the life income fund issuer must pay the money in this life income fund to the spouse owner's designated beneficiary, or, if there is no living designated beneficiary, to the personal representative of the spouse owner's estate.
(2) A payment under subsection (1) must be made within 60 days after the receipt by the life income fund issuer of all records that are necessary for the issuer to make the payment.
Part 4 — Applications to Unlock All or Part of Life Income Fund
10 (1) On application by the owner of this life income fund, the life income fund issuer will pay to the owner the lump-sum amount referred to in section 69 (2) of the Act and section 126 of the Regulation if, on the date of the application,
(a) the balance of this life income fund does not exceed 20% of the Year's Maximum Pensionable Earnings (YMPE) under the Canada Pension Plan for the calendar year in which the application is made, or
(b) the owner is at least 65 years of age and the balance of this life income fund does not exceed 40% of the YMPE for the calendar year in which the application is made.
(2) A payment under subsection (1) must be made within 60 days after the receipt by the life income fund issuer of all records that are necessary for the issuer to make the payment.
11 If this life income fund is not eligible for the lump-sum payment option referred to in section 10 of this addendum, the money in this life income fund must not be divided and transferred to 2 or more locked-in retirement accounts, life income funds, pension plans or annuities or any combination of them if that transfer would make the money in any one or more of them eligible for a lump-sum payment option under section 10 of this addendum or section 69 (1) or (2) of the Act.
12 (1) On application by the owner of this life income fund, the life income fund issuer will pay to the owner the payment, or series of payments for a fixed term, referred to in section 69 (4) (a) of the Act of all or part of the money held in this life income fund if
(a) a medical practitioner certifies that the owner has an illness or a disability that is terminal or likely to shorten the owner's life considerably, and
(b) this life income fund is owned by a member owner and the member owner does not have a spouse, or, if the member owner does have a spouse, one of the following has been provided to the life income fund issuer:
(i) a waiver in Form 1 of Schedule 3 of the Regulation signed by the spouse in the presence of a witness and outside the presence of the member owner not more than 90 days before the date of the application;
(ii) confirmation, in a form and manner satisfactory to the life income fund issuer, that section 145 of the Family Law Act applies.
(2) A payment under subsection (1) must be made, or a series of payments under subsection (1) must begin, within 60 days after the receipt by the life income fund issuer of all records that are necessary for the issuer to make the payment or begin the series of payments.
13 (1) On application by the owner of this life income fund, the life income fund issuer will pay to the owner the lump-sum amount referred to in section 69 (4) (b) of the Act and section 128 of the Regulation if
(a) the owner includes in the application
(i) a statement signed by the owner that the owner has been absent from Canada for 2 or more years, and
(ii) written evidence that the Canada Revenue Agency has confirmed that the owner is a non-resident for the purposes of the Income Tax Act (Canada), and
(b) this life income fund is owned by a member owner and the member owner does not have a spouse, or, if the member owner does have a spouse, one of the following has been provided to the life income fund issuer:
(i) a waiver in Form 1 of Schedule 3 of the Regulation signed by the spouse in the presence of a witness and outside the presence of the member owner not more than 90 days before the date of the application;
(ii) confirmation, in a form and manner satisfactory to the life income fund issuer, that section 145 of the Family Law Act applies.
(2) A payment under subsection (1) must be made within 60 days after the receipt by the life income fund issuer of all records that are necessary for the issuer to make the payment.
14 (1) On application by the owner of this life income fund in accordance with section 129 of the Regulation, the life income fund issuer will pay to the owner the lump-sum amount referred to in section 69 (4) (c) of the Act, up to the amount prescribed under section 129 (5) of the Regulation, if
(a) the owner meets the requirements of the financial hardship exception set out in section 129 (4) of the Regulation, and
(b) this life income fund is owned by a member owner and the member owner does not have a spouse, or, if the member owner does have a spouse, one of the following has been provided to the life income fund issuer:
(i) a waiver in Form 1 of Schedule 3 of the Regulation signed by the spouse in the presence of a witness and outside the presence of the member owner not more than 90 days before the date of the application;
(ii) confirmation, in a form and manner satisfactory to the life income fund issuer, that section 145 of the Family Law Act applies.
(2) A payment under subsection (1) must be made within 60 days after the receipt by the life income fund issuer of all records that are necessary for the issuer to make the payment.
[am. B.C. Regs. 9/2016, s. 10; 64/2021, s. 8.]
(sections 72 (4), 111 (a) and 130 (a))
Spouse's Waiver to Permit Benefits in a Pension Plan, Locked-In
Retirement Account or Life Income Fund to Be Unlocked




(sections 74 (11), 77, 81 (1) (b) (i) and (2) (a), 83 (3) (d) (i) and (e) (i) and (4) (a) (i), 103 (4) (d) (ii) (A) and 121 (3) (c) (ii) (A))
Spouse's Waiver of 60% Lifetime Survivor's Benefit and/or Beneficiary
Rights From a Pension Plan or Annuity After Payments Start




(sections 74 (3) (a) and (8) (a) (i), 103 (2) (c) (i) and 121 (1) (b) (ii) (A))
Spouse's Consent to a Transfer to a Life Income Fund or
Establishment of a Life Income Type Benefits Account



(sections 76, 83 (3) (b) (ii) (A), 106 (2) (b) (i) and 125 (2) (b) (i))
Spouse's Waiver of Beneficiary Right to Benefits in a Pension Plan, Locked-In Retirement Account,
Life Income Fund or Annuity Before Pension or Annuity Payments Start



(section 17)
Administrator Statement of Compliance — Plan Registration

(section 19)
Administrator Statement of Compliance — Amendment to Plan Text Document

(section 24)
Administrator Statement of Compliance — Amendment to Supporting Plan Document

Administrative Penalties
Table 1
(section 136)
| Item | Column 1 Prescribed Provision (Act) | Column 2 Administrative Penalty ($) | |
| Corporation or Administrator | Individual other than administrator | ||
| 1 | 12 (1) | 250 000 | 50 000 |
| 2 | 15 | 250 000 | 50 000 |
| 3 | 17 | 250 000 | 50 000 |
| 4 | 19 | 125 000 | 25 000 |
| 5 | 20 (2) (b) | 250 000 | 50 000 |
| 6 | 25 | 50 000 | 10 000 |
| 7 | 34 | 50 000 | 10 000 |
| 8 | 35 | 250 000 | 50 000 |
| 9 | 36 (1) | 50 000 | 10 000 |
| 10 | 36 (2) | 50 000 | 10 000 |
| 11 | 38 (2) | 50 000 | 10 000 |
| 12 | 38 (3) | 50 000 | 10 000 |
| 13 | 39 | 125 000 | 25 000 |
| 14 | 40 | 125 000 | 25 000 |
| 15 | 41 (1) | 50 000 | 10 000 |
| 16 | 41 (2) | 50 000 | 10 000 |
| 17 | 42 (1) | 50 000 | 10 000 |
| 18 | 42 (2) | 50 000 | 10 000 |
| 19 | 43 (1) | 50 000 | 10 000 |
| 20 | 43 (2) | 125 000 | 25 000 |
| 21 | 43 (3) | 50 000 | 10 000 |
| 22 | 44 | 50 000 | 10 000 |
| 23 | 45 (1) | 250 000 | 50 000 |
| 24 | 45 (2) | 250 000 | 50 000 |
| 25 | 46 (1) | 125 000 | 25 000 |
| 26 | 46 (3) | 125 000 | 25 000 |
| 27 | 48 | 50 000 | 10 000 |
| 28 | 51 | 125 000 | 25 000 |
| 29 | 53 | 125 000 | 25 000 |
| 30 | 54 (3) | 125 000 | 25 000 |
| 31 | 54 (4) | 125 000 | 25 000 |
| 32 | 54 (5) | 125 000 | 25 000 |
| 33 | 55 (1) | 125 000 | 25 000 |
| 34 | 55 (3) | 125 000 | 25 000 |
| 35 | 56 (2) | 125 000 | 25 000 |
| 36 | 56 (3) | 50 000 | 10 000 |
| 37 | 56 (5) | 50 000 | 10 000 |
| 38 | 60 (1) | 250 000 | 50 000 |
| 39 | 60 (2) | 250 000 | 50 000 |
| 40 | 61 | 250 000 | 50 000 |
| 41 | 62 (1) | 125 000 | 25 000 |
| 42 | 72 (3) | 125 000 | 25 000 |
| 43 | 79 (1) | 250 000 | 50 000 |
| 44 | 79 (2) | 250 000 | 50 000 |
| 45 | 79 (4) | 250 000 | 50 000 |
| 46 | 80 (3) | 250 000 | 50 000 |
| 47 | 88 (1) | 250 000 | 50 000 |
| 48 | 88 (2) | 250 000 | 50 000 |
| 49 | 88 (3) | 250 000 | 50 000 |
| 50 | 89.1 (2) | 250 000 | 50 000 |
| 51 | 97 (2) | 50 000 | 10 000 |
| 52 | 100 | 250 000 | 50 000 |
| 53 | 101 (a) | 250 000 | 50 000 |
| 54 | 104 (1) | 250 000 | 50 000 |
| 55 | 104 (4) | 250 000 | 50 000 |
| 56 | 104 (5) | 250 000 | 50 000 |
| 57 | 108 (4) | 50 000 | 10 000 |
| 58 | 110 (11) | 125 000 | 25 000 |
| 59 | 114 (9) | 50 000 | 10 000 |
| 60 | 115 (4) | 50 000 | 10 000 |
| 61 | 115 (6) | 50 000 | 10 000 |
| 62 | 115 (9) | 50 000 | 10 000 |
Table 2
(section 136)
| Item | Column 1 Prescribed Provision (Regulation) | Column 2 Administrative Penalty ($) | |
| Corporation or Administrator | Individual other than administrator | ||
| 1 | 20 (1) | 50 000 | 10 000 |
| 2 | 25 (1) | 50 000 | 10 000 |
| 3 | 57 (2) | 250 000 | 50 000 |
| 4 | 57 (13) | 250 000 | 50 000 |
| 5 | 57 (14) | 250 000 | 50 000 |
| 6 | 58 (2) | 250 000 | 50 000 |
| 7 | 58 (10) | 250 000 | 50 000 |
| 8 | 58 (11) | 250 000 | 50 000 |
| 9 | 59 | 250 000 | 50 000 |
| 10 | 60 | 250 000 | 50 000 |
| 11 | 68 (4) (a) | 50 000 | 10 000 |
| 12 | 68 (5) | 50 000 | 10 000 |
| 13 | 74 (3) | 250 000 | 50 000 |
| 14 | 74 (4) | 250 000 | 50 000 |
| 15 | 74 (8) | 250 000 | 50 000 |
| 16 | 74 (9) (b) | 250 000 | 50 000 |
| 17 | 74 (10) | 250 000 | 50 000 |
| 18 | 74 (12) | 250 000 | 50 000 |
| 19 | 74 (14) | 250 000 | 50 000 |
| 20 | 74 (16) | 250 000 | 50 000 |
| 21 | 75 (3) | 250 000 | 50 000 |
| 22 | 80 (2) | 250 000 | 50 000 |
| 23 | 80 (3) | 250 000 | 50 000 |
| 24 | 88 (1) | 250 000 | 50 000 |
| 25 | 89 | 50 000 | 10 000 |
| 26 | 90 (1) | 50 000 | 10 000 |
| 27 | 90 (2) | 50 000 | 10 000 |
| 28 | 98 (1) | 250 000 | 50 000 |
| 29 | 98 (2) | 250 000 | 50 000 |
| 30 | 98 (3) | 250 000 | 50 000 |
| 31 | 99 (4) | 250 000 | 50 000 |
| 32 | 100 | 250 000 | 50 000 |
| 33 | 102 (1) | 250 000 | 50 000 |
| 34 | 102 (2) | 250 000 | 50 000 |
| 35 | 103 (1) | 250 000 | 50 000 |
| 36 | 103 (2) | 250 000 | 50 000 |
| 37 | 103 (3) | 250 000 | 50 000 |
| 38 | 103 (4) | 250 000 | 50 000 |
| 39 | 103 (5) | 250 000 | 50 000 |
| 40 | 105 (1) | 250 000 | 50 000 |
| 41 | 105 (2) | 250 000 | 50 000 |
| 42 | 105 (3) (b) | 250 000 | 50 000 |
| 43 | 105 (4) | 250 000 | 50 000 |
| 44 | 106 (1) | 250 000 | 50 000 |
| 45 | 106 (2) | 250 000 | 50 000 |
| 46 | 106 (4) | 250 000 | 50 000 |
| 47 | 107 (2) | 250 000 | 50 000 |
| 48 | 115 (1) | 250 000 | 50 000 |
| 49 | 115 (2) | 250 000 | 50 000 |
| 50 | 115 (3) | 250 000 | 50 000 |
| 51 | 116 (4) | 250 000 | 50 000 |
| 52 | 117 | 250 000 | 50 000 |
| 53 | 118 (1) | 250 000 | 50 000 |
| 54 | 118 (2) | 250 000 | 50 000 |
| 55 | 118 (3) | 250 000 | 50 000 |
| 56 | 120 (1) | 250 000 | 50 000 |
| 57 | 120 (2) | 250 000 | 50 000 |
| 58 | 121 (1) | 250 000 | 50 000 |
| 59 | 121 (2) | 250 000 | 50 000 |
| 60 | 121 (3) | 250 000 | 50 000 |
| 61 | 121 (4) | 250 000 | 50 000 |
| 62 | 123 (1) | 250 000 | 50 000 |
| 63 | 123 (3) | 250 000 | 50 000 |
| 64 | 124 (1) | 250 000 | 50 000 |
| 65 | 124 (2) | 250 000 | 50 000 |
| 66 | 124 (3) (b) | 250 000 | 50 000 |
| 67 | 124 (4) | 250 000 | 50 000 |
| 68 | 125 (1) | 250 000 | 50 000 |
| 69 | 125 (2) | 250 000 | 50 000 |
| 70 | 125 (3) | 250 000 | 50 000 |
| 71 | 126 (2) | 250 000 | 250 000 |
| 72 | 138 (3) | 125 000 | 25 000 |
Table 3
(section 136)
| Item | Column 1 Contravention | Column 2 Administrative Penalty ($) | |
| Corporation or Administrator | Individual other than administrator | ||
| 1 | Failure to file, within the period required by the regulations for that filing, a record that is required to be filed under section 13, 18, 26, 38 (1), 101 (b) or 102 (a) or (b) of the Act | 50 000 | 10 000 |
| 2 | Failure to disclose information to persons within the period required by the regulations for that disclosure, under section 37 (1), (2), (4) or (5) of the Act | 125 000 | 25 000 |
| 3 | Failure to make contributions to a pension fund within the period required by the regulations under section 56 (1) of the Act for the making of those contributions | 250 000 | 50 000 |
Repealed. [B.C. Reg. 264/2019, s. 22.]
[en. B.C. Reg. 245/2016, s. 2; am. B.C. Regs. 12/2019; 264/2019, s. 23.]
(section 10 (15))
Extension of Solvency Deficiency Payment Period
"establishment date", in the case of a solvency deficiency of a defined benefit component of a pension plan, means
(a) the review date as at which the existence of the solvency deficiency was established, or
(b) if the solvency deficiency resulted from an amendment to the plan text document of the plan, the effective date of the amendment;
"exemption period",
(a) in relation to a defined benefit component for which an election is made under section 2 or 2.1 (1) (a), means the period beginning on the date the written notice of election is received by the superintendent and ending on the earlier of
(i) the date every solvency deficiency of the defined benefit component established on or before the specified review date is eliminated, and
(ii) the first review date on or after December 31, 2019, and
(b) in relation to a defined benefit component for which an election is made under section 2.1 (1) (b), means the period beginning on the date the written notice of election is received by the superintendent and ending on the earlier of
(i) the date the solvency deficiency of the defined benefit component established on the specified review date is eliminated, and
(ii) the first review date on or after December 31, 2019;
"plan contributor", in relation to a pension plan for which an election is made under section 2 or 2.1, means the plan contributor as defined in section 56 of this regulation that is required under the Act to make contributions to the plan;
"solvency asset adjustment", in relation to a defined benefit component, means the sum of the following:
(a) the actuarial present value of the special payments that are required to be paid under section 57 (2) (b) or (c) or (3) in relation to the component over the 5-year period that begins on the latest review date;
(b) the face amount of any prescribed letter of credit, as defined in section 63 (1), issued in relation to the component;
"solvency deficiency payment period", in relation to a solvency deficiency, means
(a) subject to paragraph (b), the 5-year period that begins on the establishment date of the solvency deficiency, or
(b) in the case of a solvency deficiency of a jointly sponsored plan, the 5-year period that begins on the first anniversary of the establishment date of the solvency deficiency;
"specified review date", in relation to a pension plan for which an election is made under section 2 or 2.1, means the review date specified in the written notice of election.
(2) This Schedule applies only to a pension plan of which the plan text document contains one or more defined benefit provisions.
(3) Any reference in this Schedule to a provision of this regulation is a reference to the provision as it read on December 30, 2019.
2 (1) Subject to this Schedule, the administrator of a pension plan may elect to have payments made into the plan in accordance with this Schedule, instead of section 57 (2) (c) of this regulation, in respect of every solvency deficiency of a defined benefit component of the plan established on or before the specified review date.
(2) The administrator may make an election under subsection (1) by
(a) providing to the superintendent a written notice of election in the form and manner required by the superintendent,
(b) specifying in the written notice of election a review date of the plan falling on or after December 31, 2015 and before January 1, 2018, and
(c) submitting, together with the written notice of election,
(i) an amortization schedule, prepared by a Fellow of the Canadian Institute of Actuaries, for the series of payments required under section 4 (a), and
(ii) any other information or records required by the superintendent.
(3) The administrator may make an election under this section only once in respect of a defined benefit component of the plan.
2.1 (1) Subject to this Schedule, the administrator of a pension plan may do one of the following, as applicable:
(a) if the administrator has not made an election under section 2, elect to have payments made into the plan in accordance with this Schedule, instead of section 57 (2) (c) of this regulation, in respect of every solvency deficiency of a defined benefit component of the plan established on or before the specified review date;
(b) if the administrator made an election under section 2, elect to have payments made into the plan in accordance with this Schedule, instead of section 57 (2) (c) of this regulation, in respect of the solvency deficiency of a defined benefit component of the plan established on the specified review date for which the election is made.
(2) The administrator may make an election under subsection (1) by
(a) providing to the superintendent a written notice of election in the form and manner required by the superintendent,
(b) specifying in the written notice of election a review date of the plan falling on or after December 31, 2018 and before January 1, 2021, and
(c) submitting, together with the written notice of election,
(i) an amortization schedule, prepared by a Fellow of the Canadian Institute of Actuaries, for the series of payments required under section 4 (a), and
(ii) any other information or records required by the superintendent.
(3) The administrator may make an election under this section only once in respect of a defined benefit component of the plan.
2.2 No election may be made under this Schedule on or after December 31, 2019.
3 (1) On the conditions set out in section 4 and subject to subsection (2), if the administrator of a pension plan makes an election under section 2 or 2.1, the plan and plan contributor are exempt from
(a) sections 45 and 52 (2) of the Act, and
(b) section 57 (2) (c) and (4) of this regulation.
(2) The exemptions under subsection (1) apply during the exemption period to any payments referred to in section 57 (2) (c) of this regulation that the plan contributor would otherwise be required to make in relation to any solvency deficiency of the defined benefit component for which an election is made under section 2 or 2.1 of this Schedule.
4 The exemptions under section 3 are made on all of the following conditions:
(a) the plan contributor makes a series of payments into the plan or, in the case of a divisional multi-employer plan, makes the plan contributor's share of a series of payments into the plan, that are made at least monthly, which series of payments must be sufficient, in the opinion of the actuary who prepared the amortization schedule referred to in section 2 (2) (c) (i) or 2.1 (2) (c) (i), as applicable, to amortize,
(i) in relation to an election made under section 2 or 2.1 (1) (a), the solvency deficiencies, established on or before the specified review date, of the defined benefit component for which the election is made over the 10-year period that begins on the specified review date, or, in the case of a jointly sponsored plan, on the first anniversary of that review date, or
(ii) in relation to an election made under section 2.1 (1) (b), the solvency deficiency, established on the specified review date, of the defined benefit component for which the election is made over the 10-year period that begins on the specified review date, or, in the case of a jointly sponsored plan, on the first anniversary of that review date;
(b) the administrator discloses to active members, in the annual statement required under section 30 of this regulation, for each fiscal year that includes any portion of the exemption period, the following:
(i) the fact of the exemption from the requirements under section 57 (2) (c) and (4) of this regulation;
(ii) the condition set out in paragraph (a) of this section;
(c) the administrator discloses to persons who are receiving pensions, in the annual statement required under section 31 of this regulation, for each fiscal year that includes any portion of the exemption period, the information referred to in paragraph (b) (i) and (ii) of this section;
(d) for the purposes of determining the solvency asset adjustment for the defined benefit component of the plan during the exemption period, the administrator of the plan includes in the calculation of the solvency asset adjustment the actuarial present value of the payments that are yet to be made under paragraph (a) of this section.
5 (1) Subject to this section, sections 46 (4) (d) (ii), 57 (9) and (12) and 63 of this regulation continue to apply during the exemption period in respect of
(a) the solvency deficiencies, established on or before the specified review date, of a defined benefit component for which an election is made under section 2 or 2.1 (1) (a) of this Schedule, and
(b) the solvency deficiency, established on the specified review date, of a defined benefit component for which an election is made under section 2.1 (1) (b) of this Schedule.
(2) For the purposes of subsection (1),
(a) the payments required to be made under section 4 (a) in respect of the solvency deficiencies referred to in subsection (1) of this section are deemed to be payments required to be made under section 57 (2) (c) of this regulation in respect of those solvency deficiencies, and
(b) the 10-year period referred to in section 4 (a) in respect of the solvency deficiencies referred to in subsection (1) of this section is deemed to be the applicable solvency deficiency payment period in relation to those solvency deficiencies.
[en. B.C. Reg. 287/2020, s. 5.]
(section 10 (16))
Provision for Adverse Deviation Exemption
for Target Benefit Components
1 In this Schedule:
"exemption period", in relation to a target benefit component for which an election is made under section 2, means the period
(a) beginning on the review date specified in the written notice of election, and
(b) ending on the day before the following review date;
"plan contributor", in relation to a pension plan for which an election is made under section 2, means the plan contributor as defined in section 56 of this regulation that is required under the Act to make contributions to the plan.
2 (1) Subject to this Schedule, the administrator of a pension plan may elect, in respect of a review date of the plan, to have a plan contributor exempted from the requirement to make the payments to the plan that are required under section 58 (2) (b) of this regulation in respect of the plan's target benefit component.
(2) The administrator may make an election under subsection (1) by
(a) providing to the superintendent a written notice of election in the form and manner required by the superintendent,
(b) specifying in the written notice of election a review date of the plan falling on or after December 31, 2019 and before December 31, 2022, and
(c) submitting, together with the written notice of election, any other information or records required by the superintendent.
3 (1) On the conditions set out in section 4 and subject to subsection (2) of this section, if the administrator of a pension plan makes an election under section 2, the plan and plan contributor are exempt from
(a) sections 45 and 52 (2) of the Act, and
(b) section 58 (2) (b) of this regulation.
(2) The exemptions under subsection (1) apply during the exemption period to any payments referred to in section 58 (2) (b) of this regulation that the plan contributor would otherwise be required to make in relation to the pension plan for which an election is made under section 2 of this Schedule.
4 The exemptions under section 3 are made on the following conditions:
(a) subject to paragraph (b), the administrator discloses the fact of the exemption from the requirements under section 58 (2) (b) of this regulation to
(i) active members, in the annual statement required under section 30 of this regulation, and
(ii) persons who are receiving pensions, in the annual statement required under section 31 of this regulation;
(b) the disclosure referred to in paragraph (a) must be made for each fiscal year that is after the fiscal year in which the election is made under section 2 and that includes any portion of the exemption period;
(c) despite section 58 (8) of this regulation, the participating employer does not amend the plan text document to improve benefits under the target benefit provision during the exemption period, unless the benefit improvement is required to comply with the Act or the Income Tax Act (Canada).
[Provisions relevant to the enactment of this regulation: Pension Benefits Standards Act, S.B.C. 2012, c. 30, ss. 45 (2), 52 (2) and 133.]
Copyright © King's Printer, Victoria, British Columbia, Canada